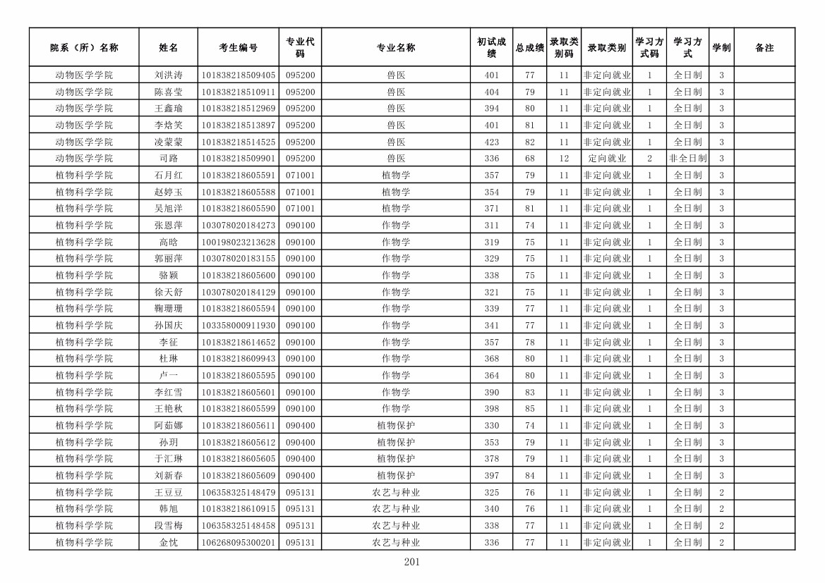
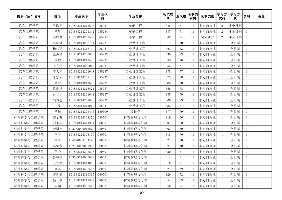
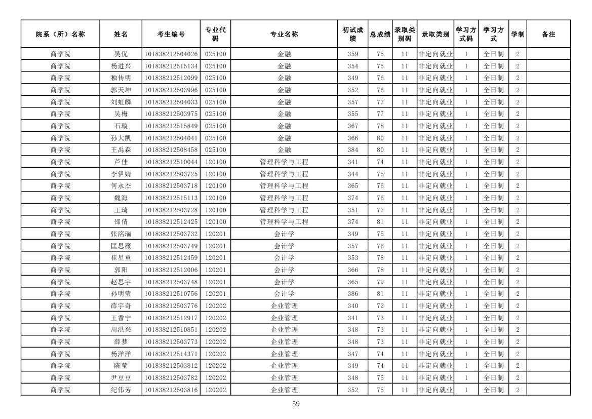
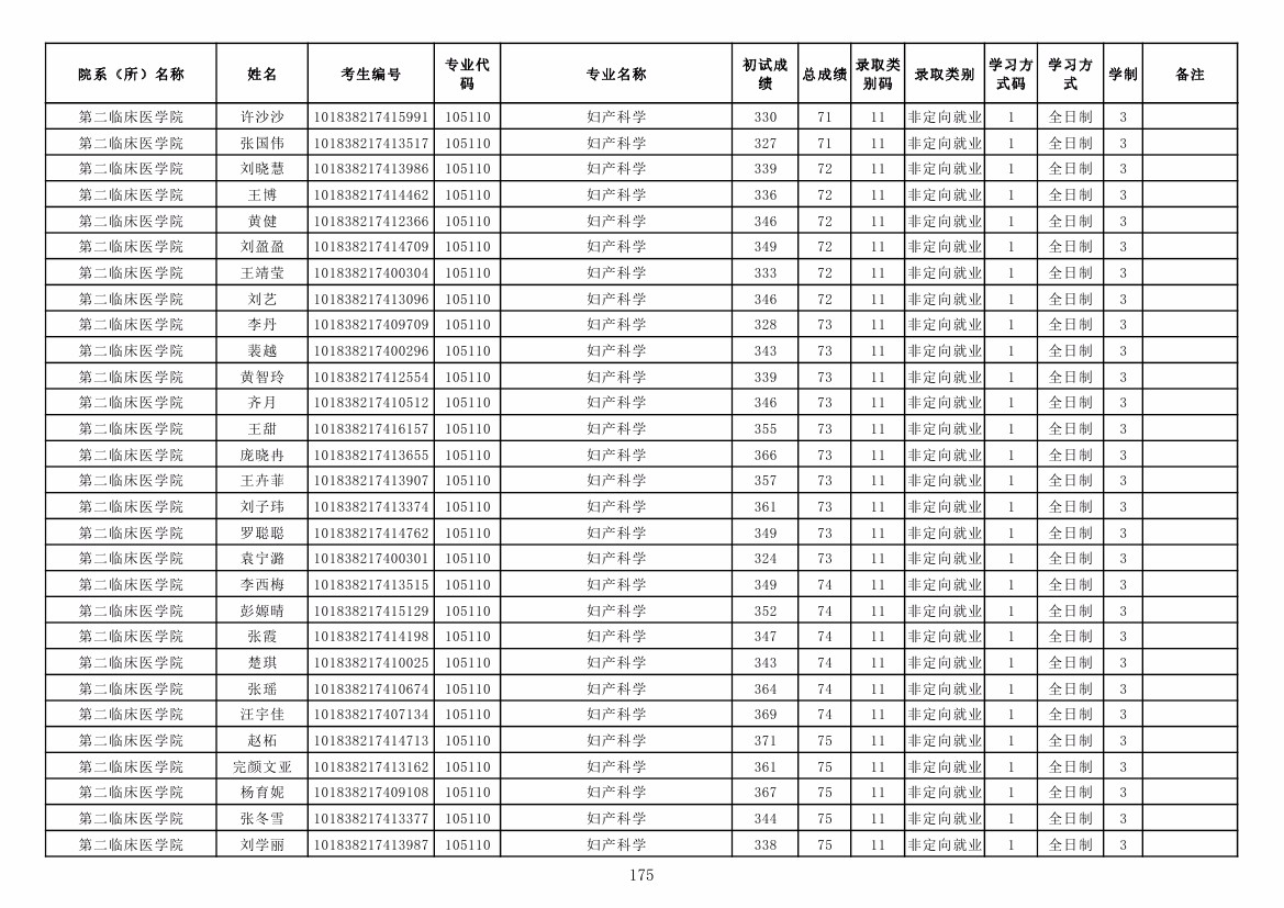
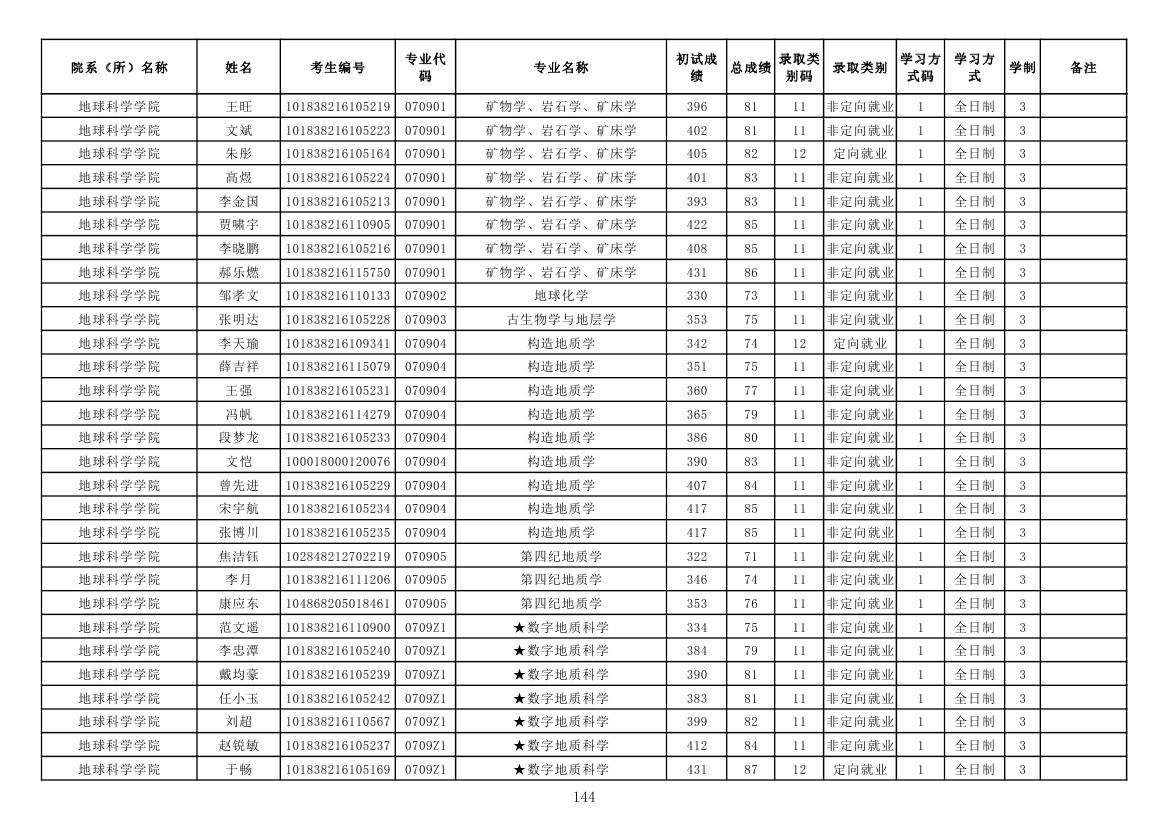
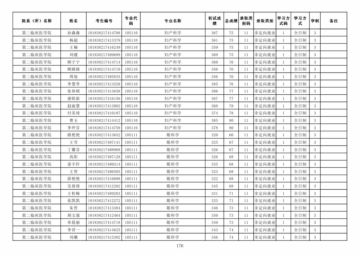
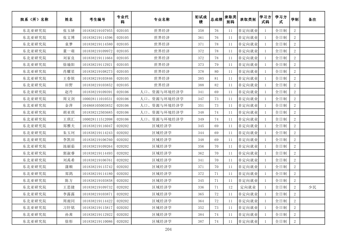
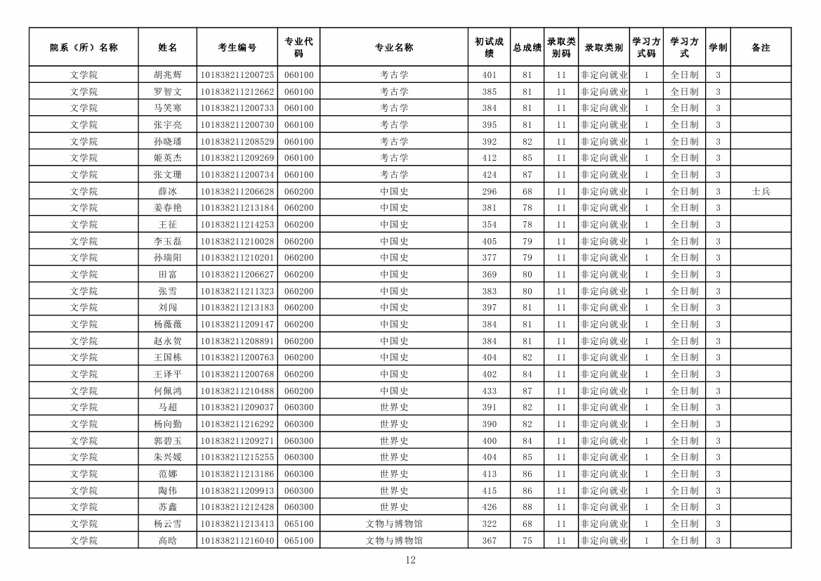
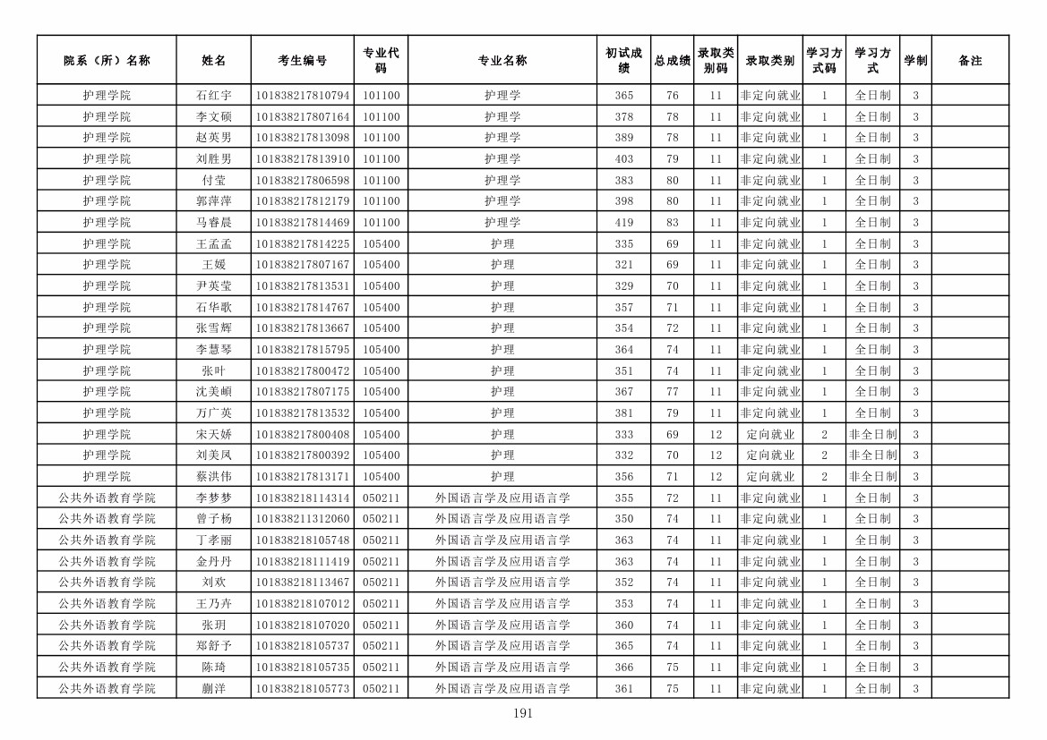
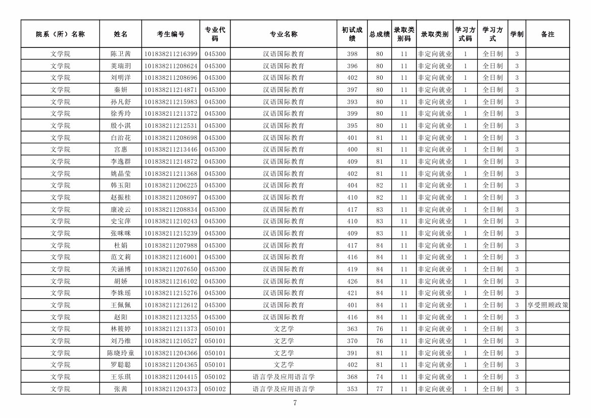
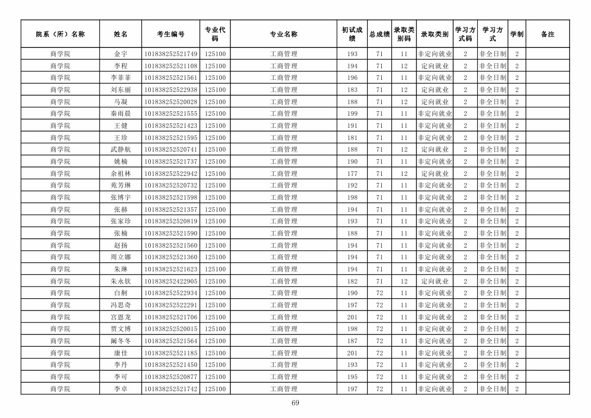
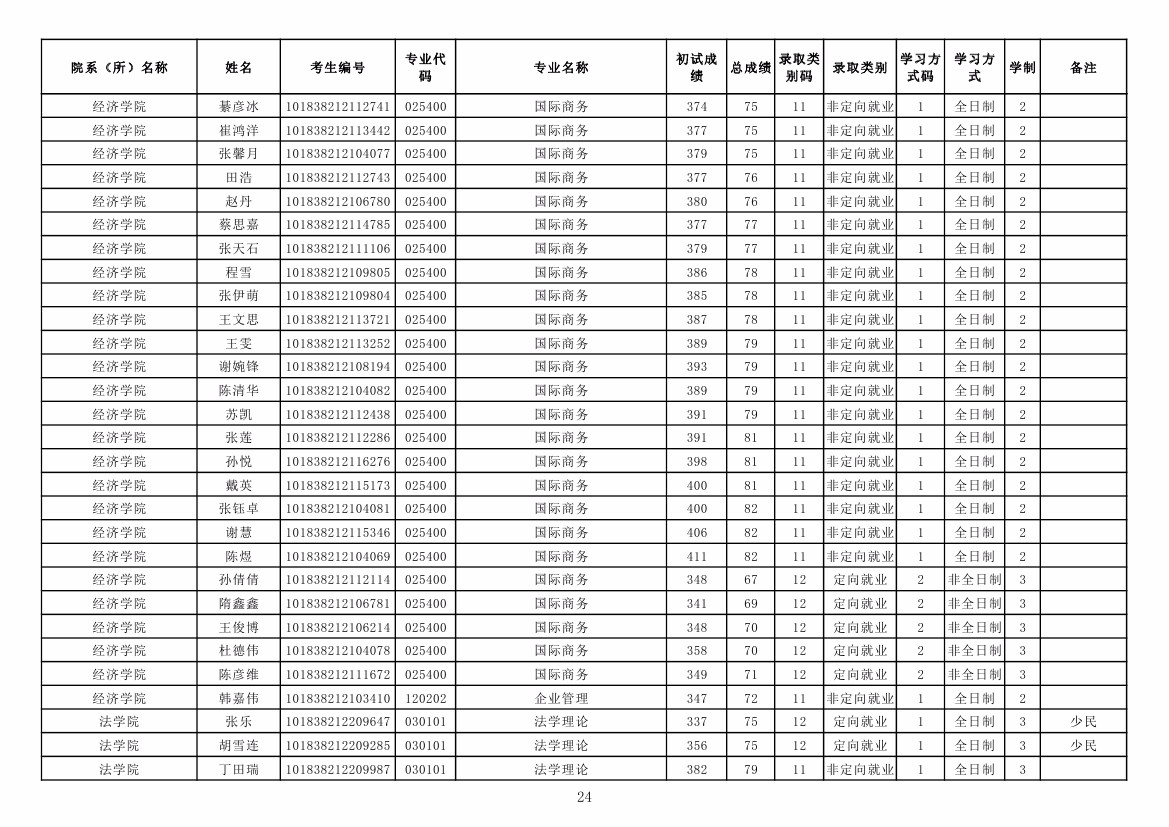
参加研究生复试的考生成绩

2018年硕士研究生拟录取名单公示

发布日期:2018-05-15 浏览量:

       吉林大学2018年硕士研究生招生工作已经基本结束,根据教育部、吉林省教育考试院及吉林大学相关规定,经学院(中心、所)考核合格,现将我校拟录取名单予以公示(见附件),公示期为2018年5月15日至2018年5月28日,如有异议请于公示期内向吉林大学招生办公室、纪委办公室反映。对弄虚作假者,一经查实,按有关规定取消录取资格。

       招生办公室:吉林大学鼎新楼A414室 电话:0431-85166371

       纪委办公室:吉林大学鼎新楼A341室 电话:0431-85167467


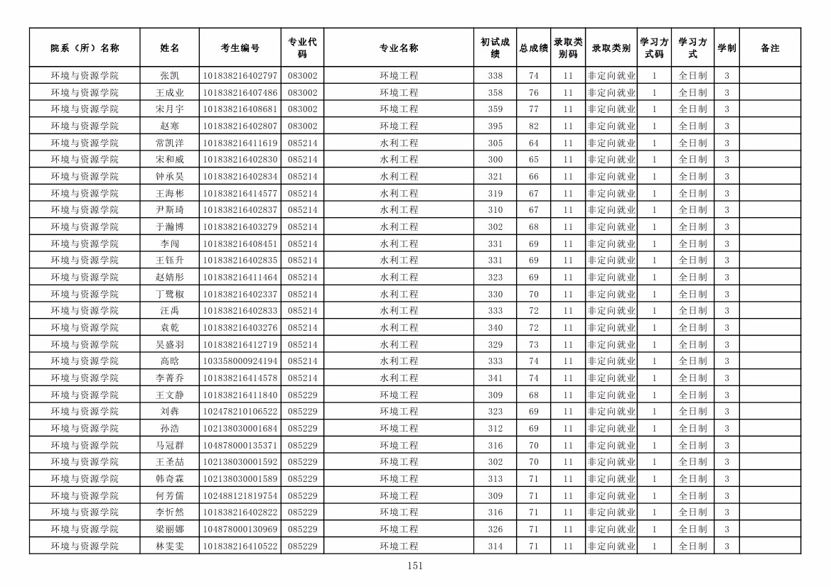
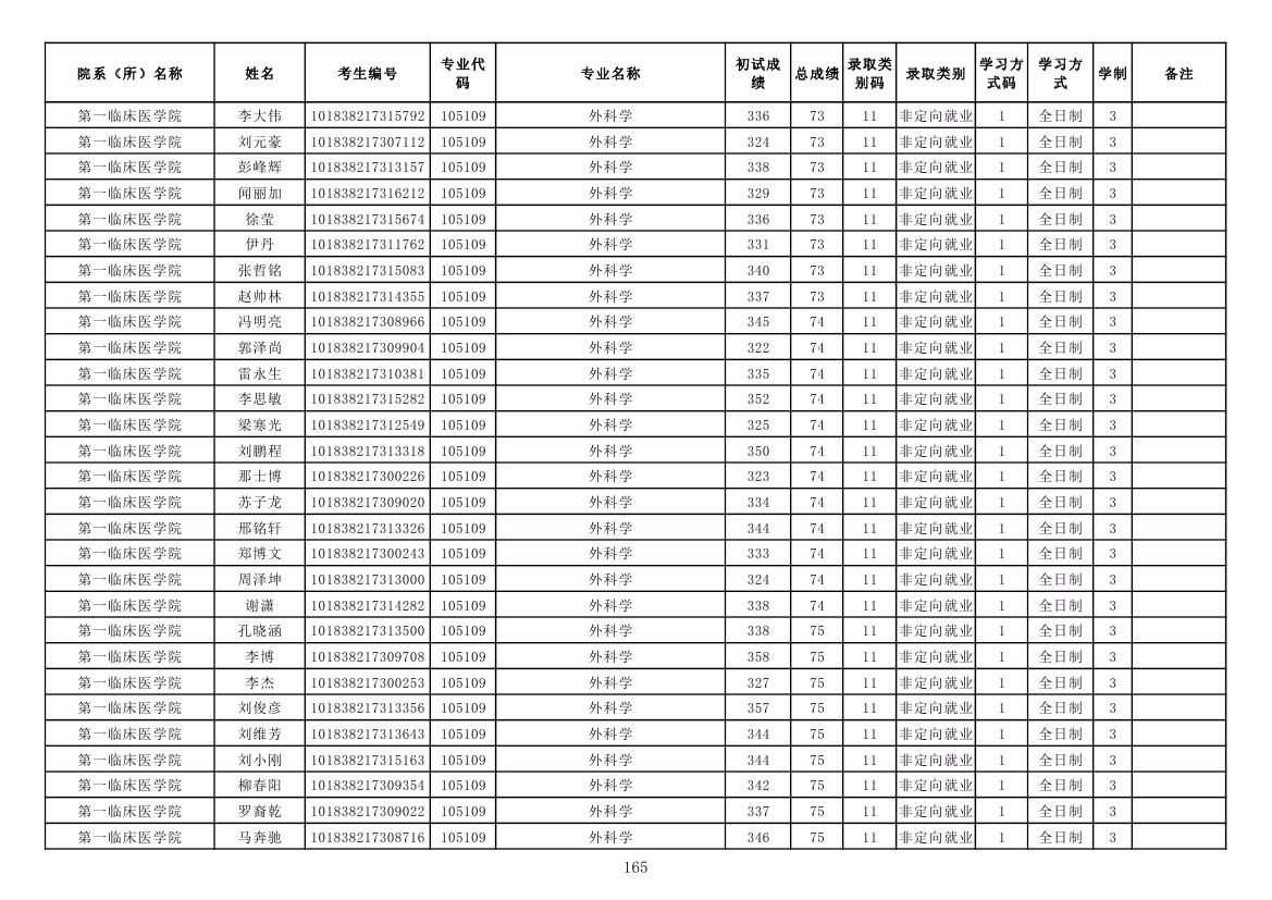
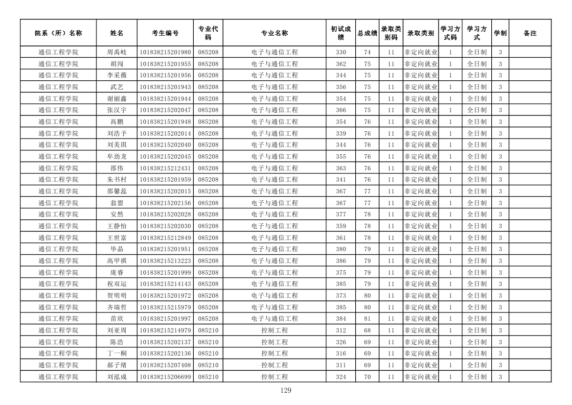
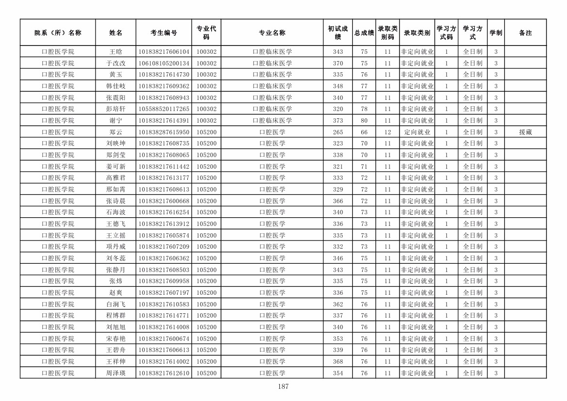
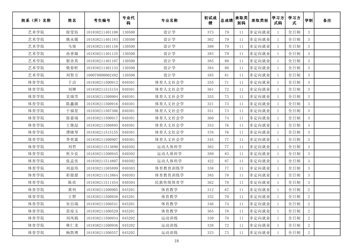
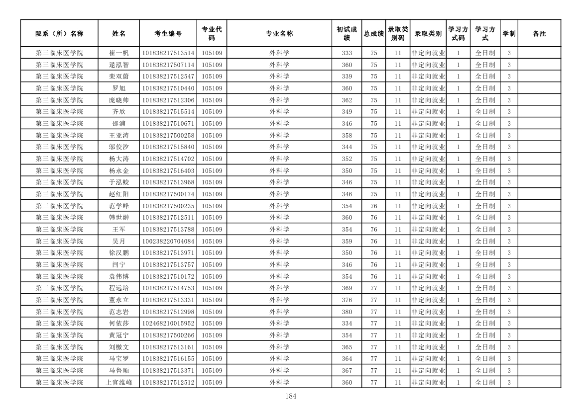
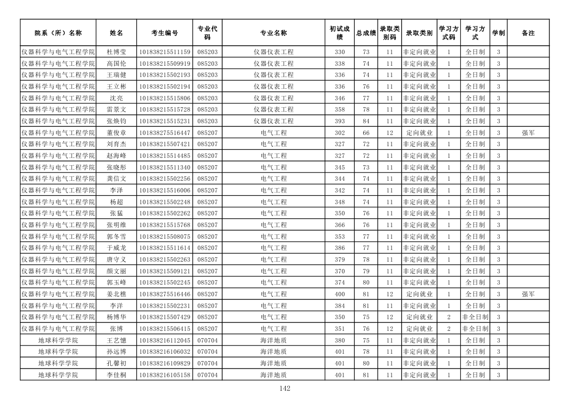
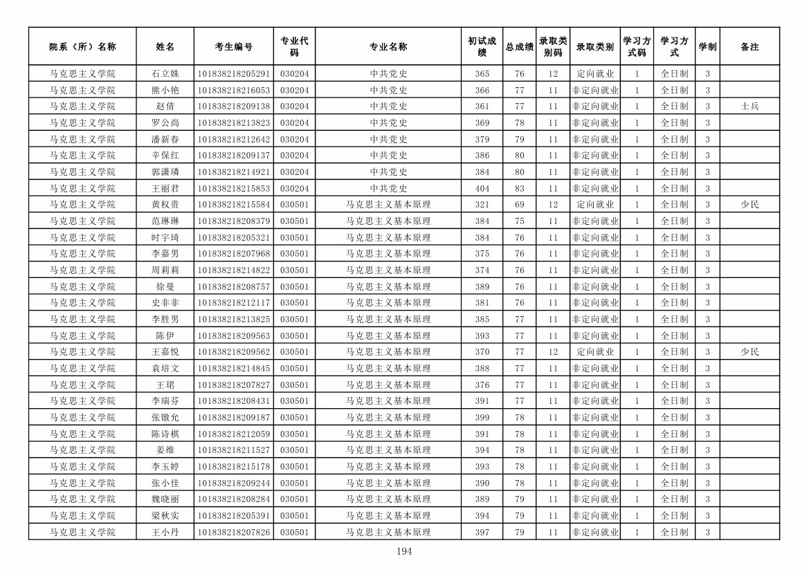
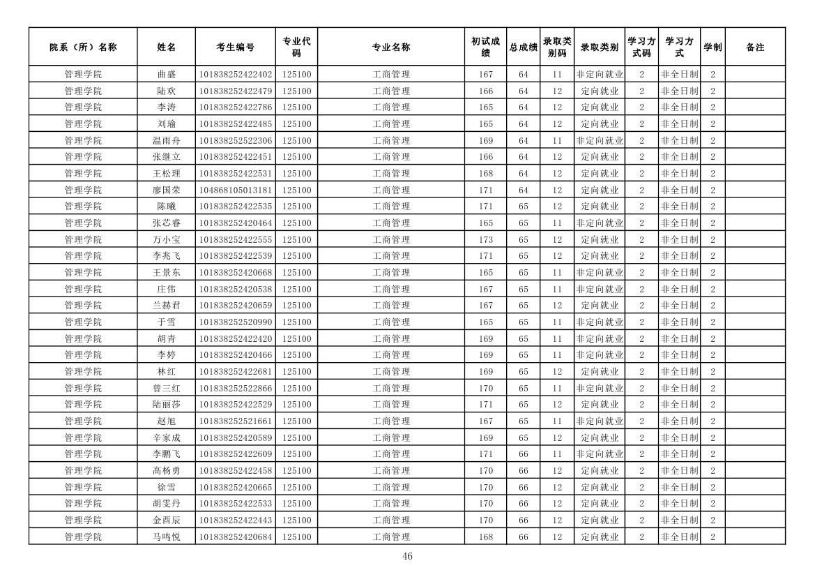
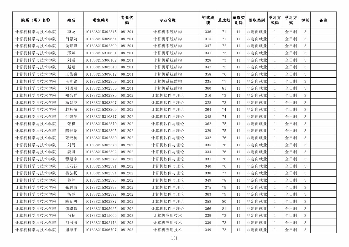
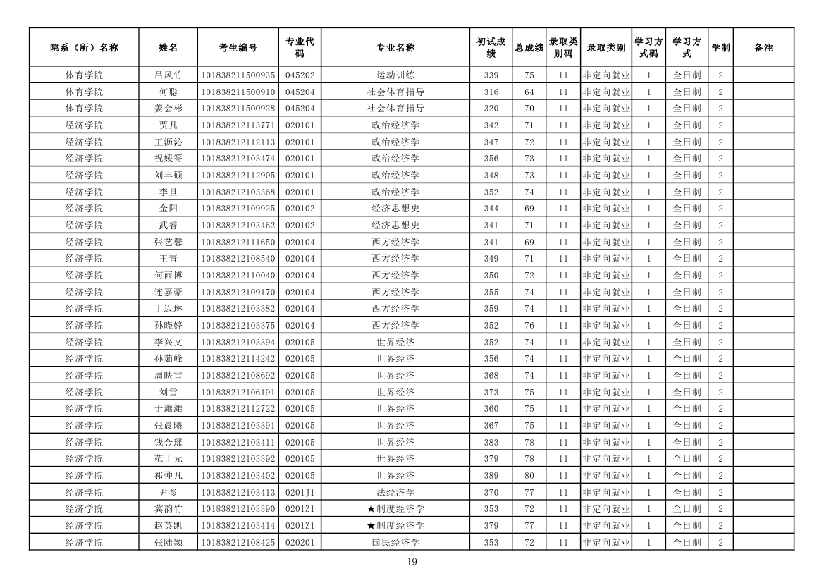
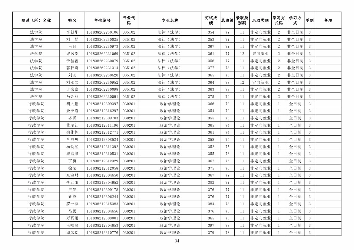
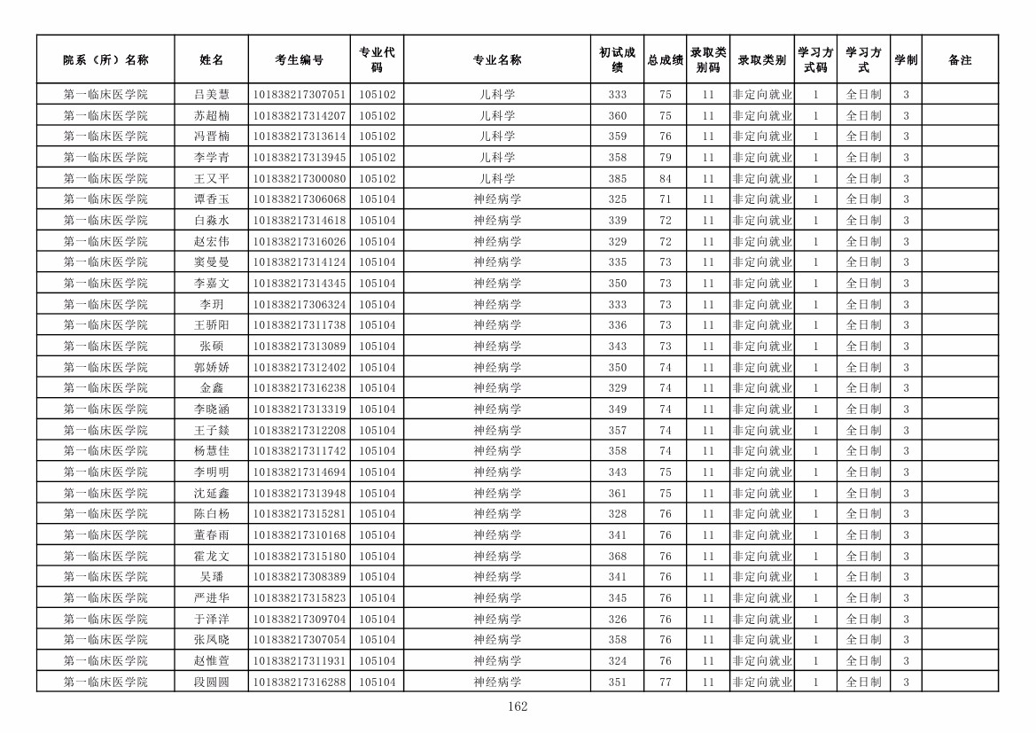
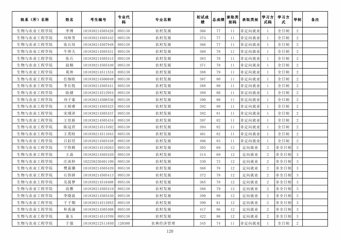
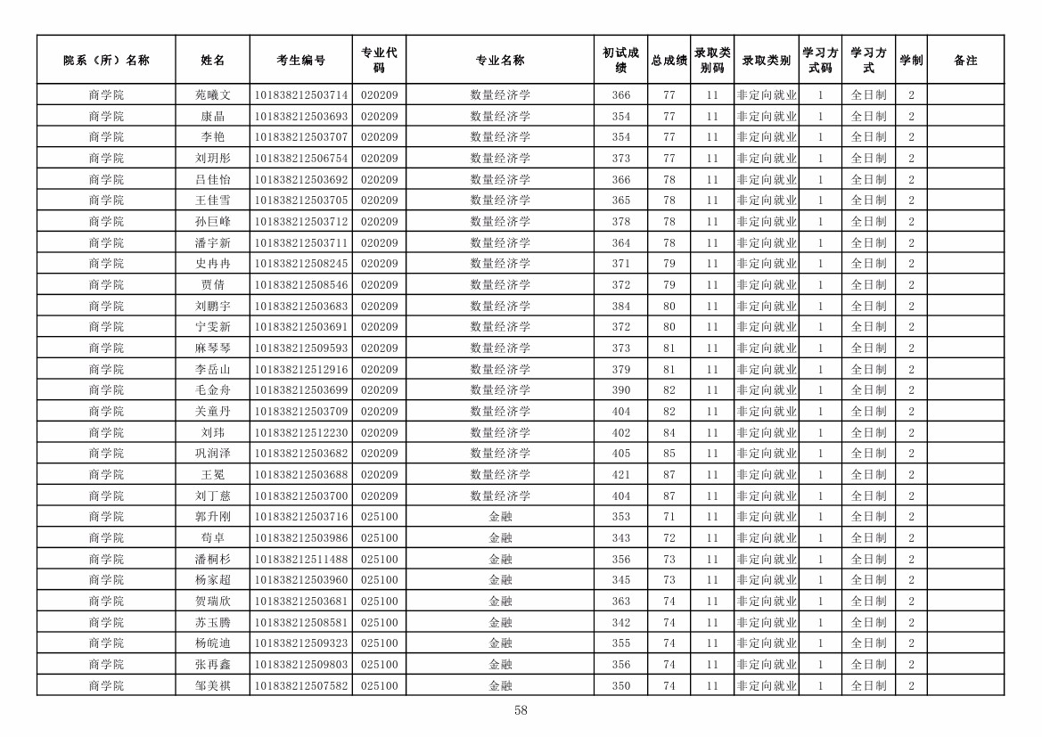
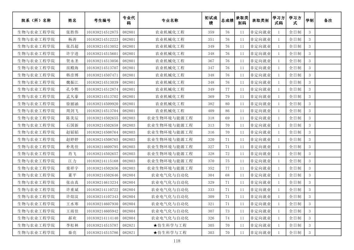
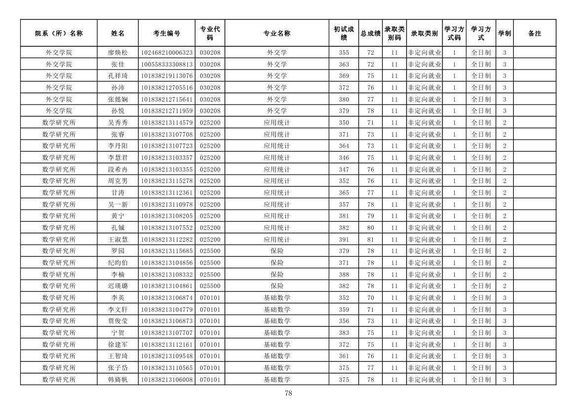
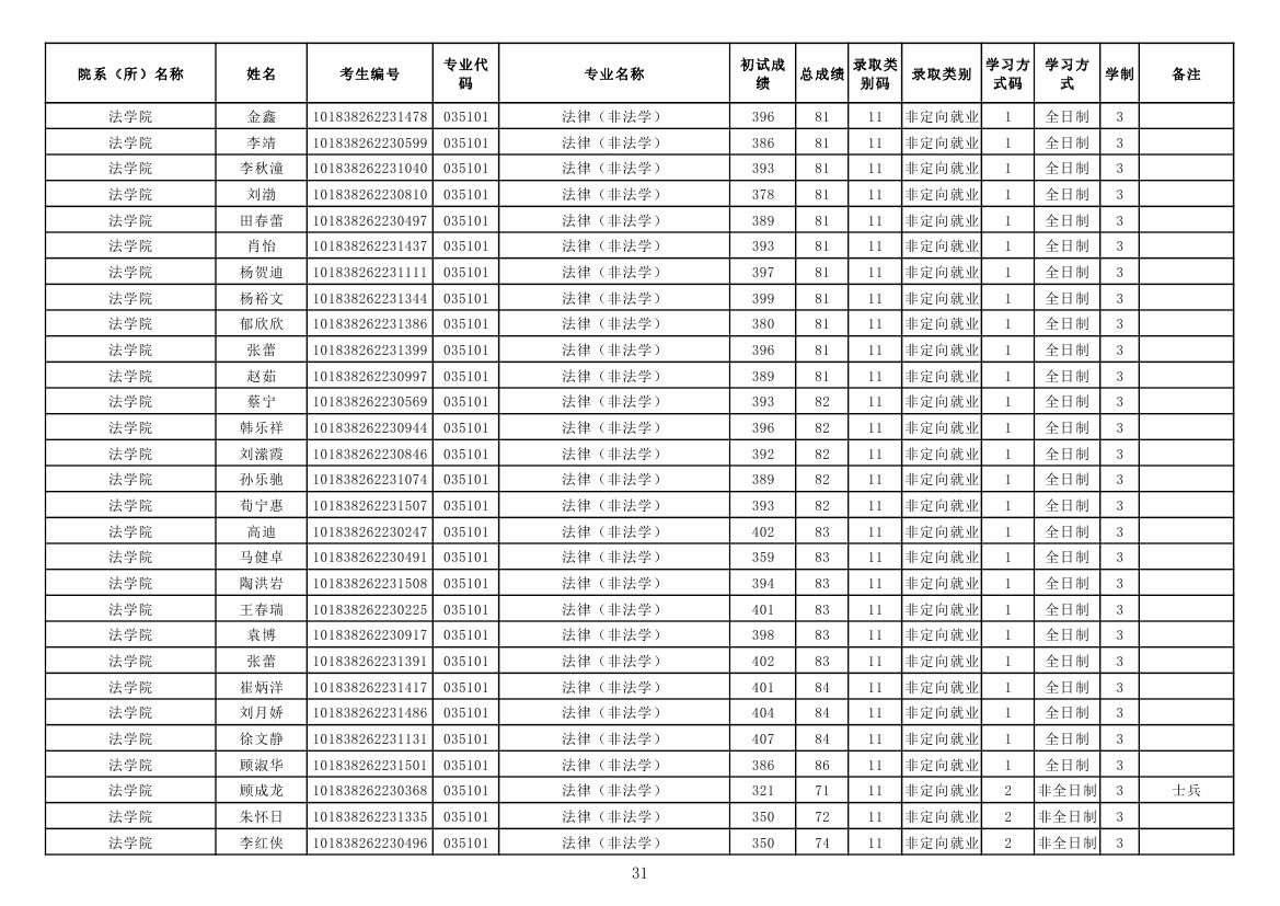
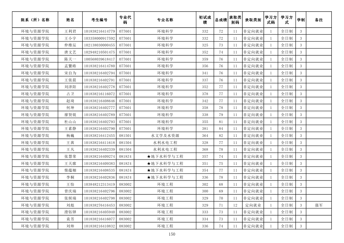
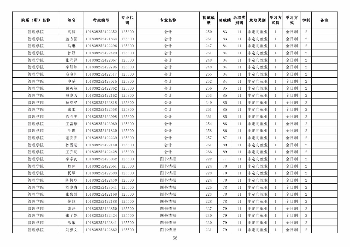
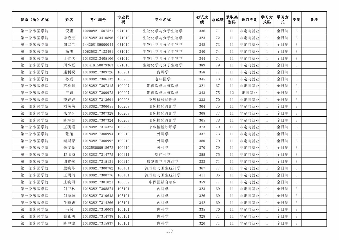
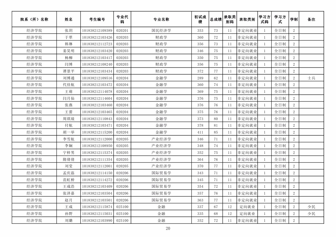
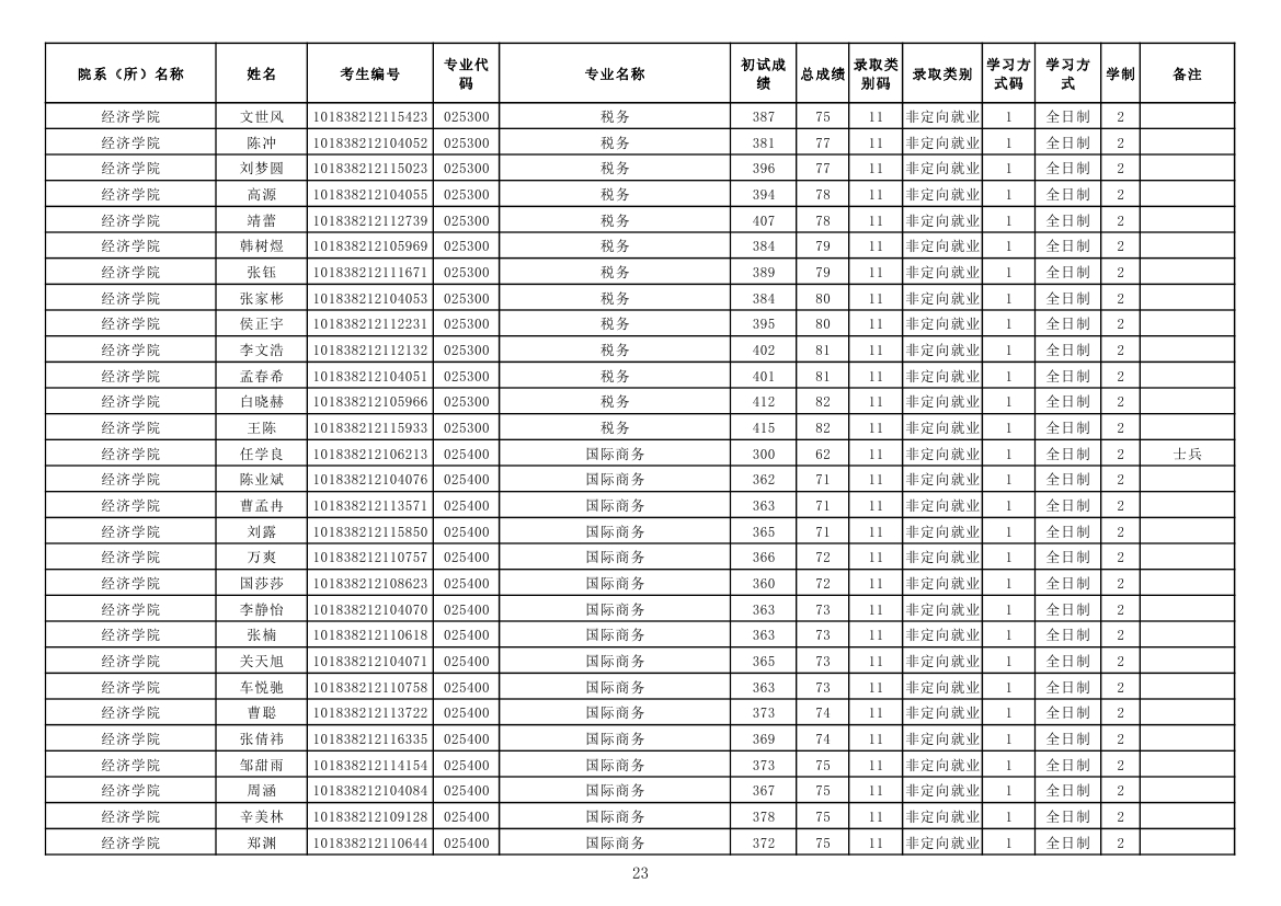
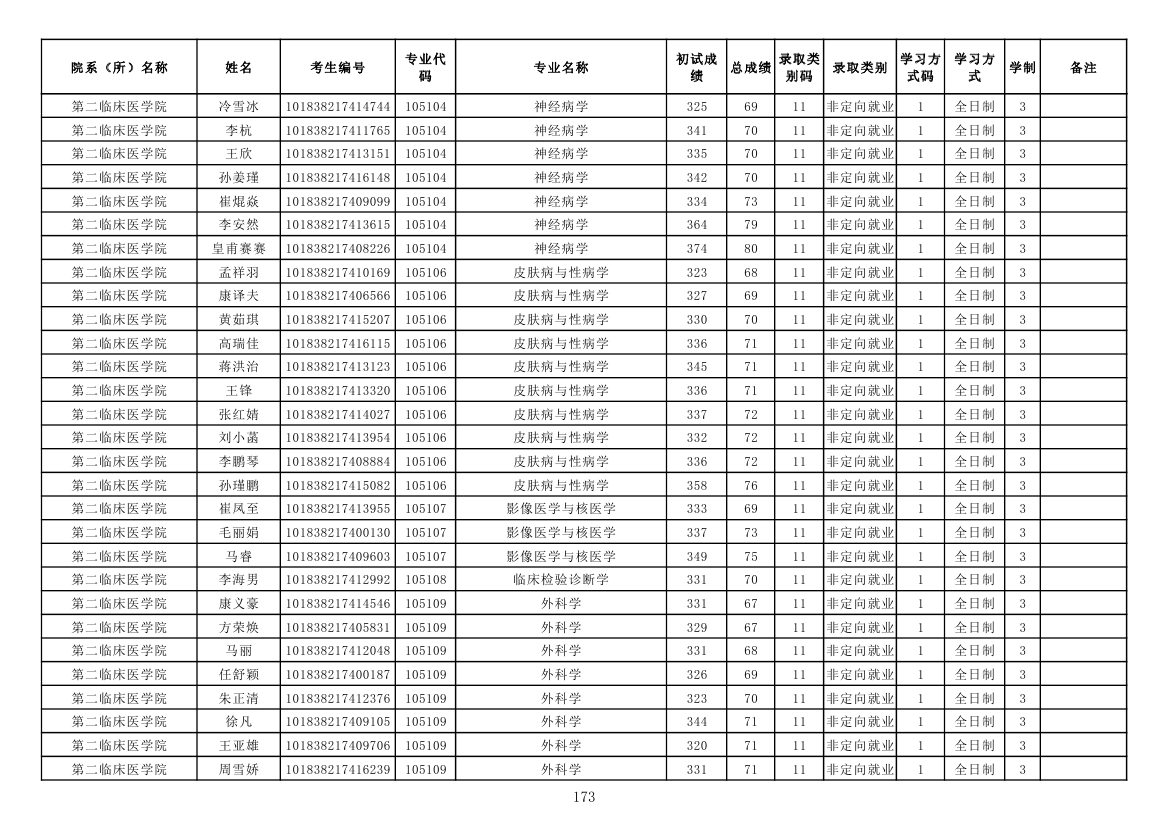
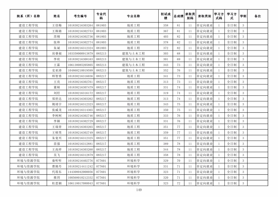
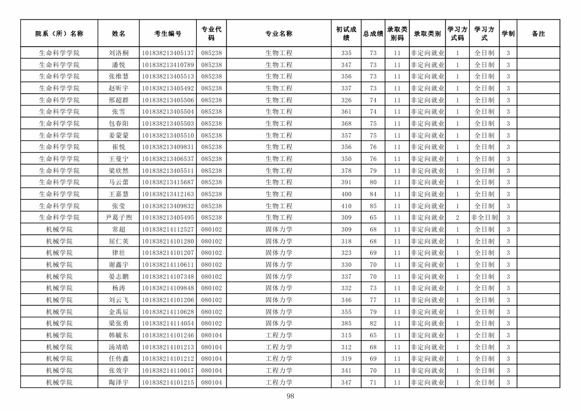
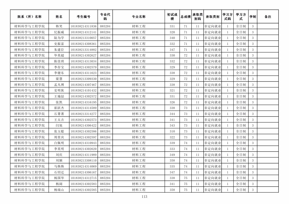
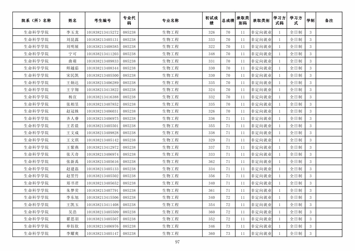
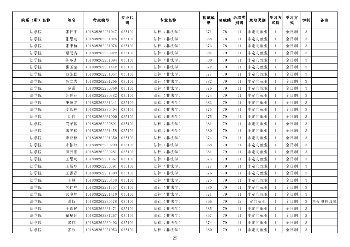
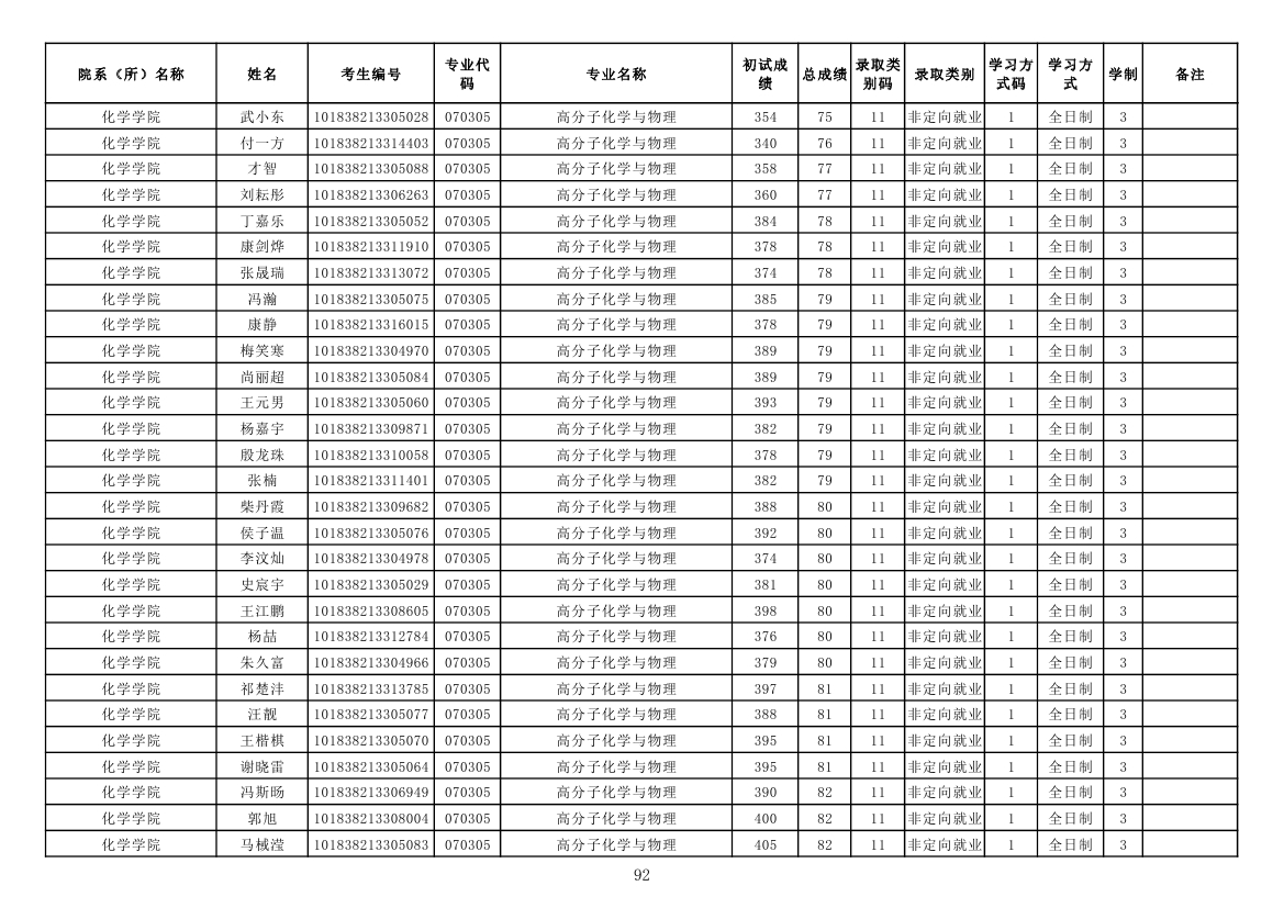
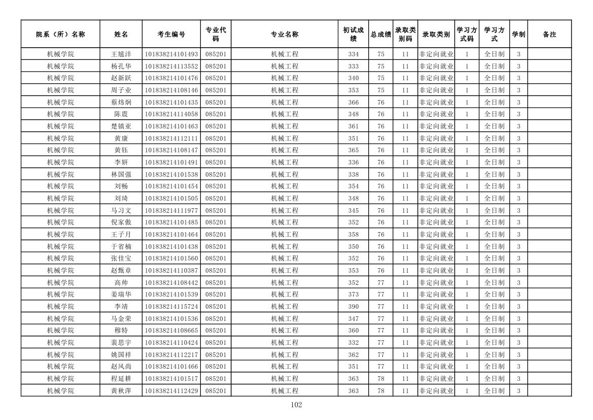
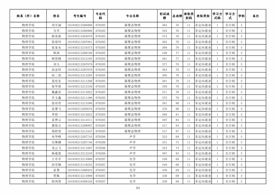
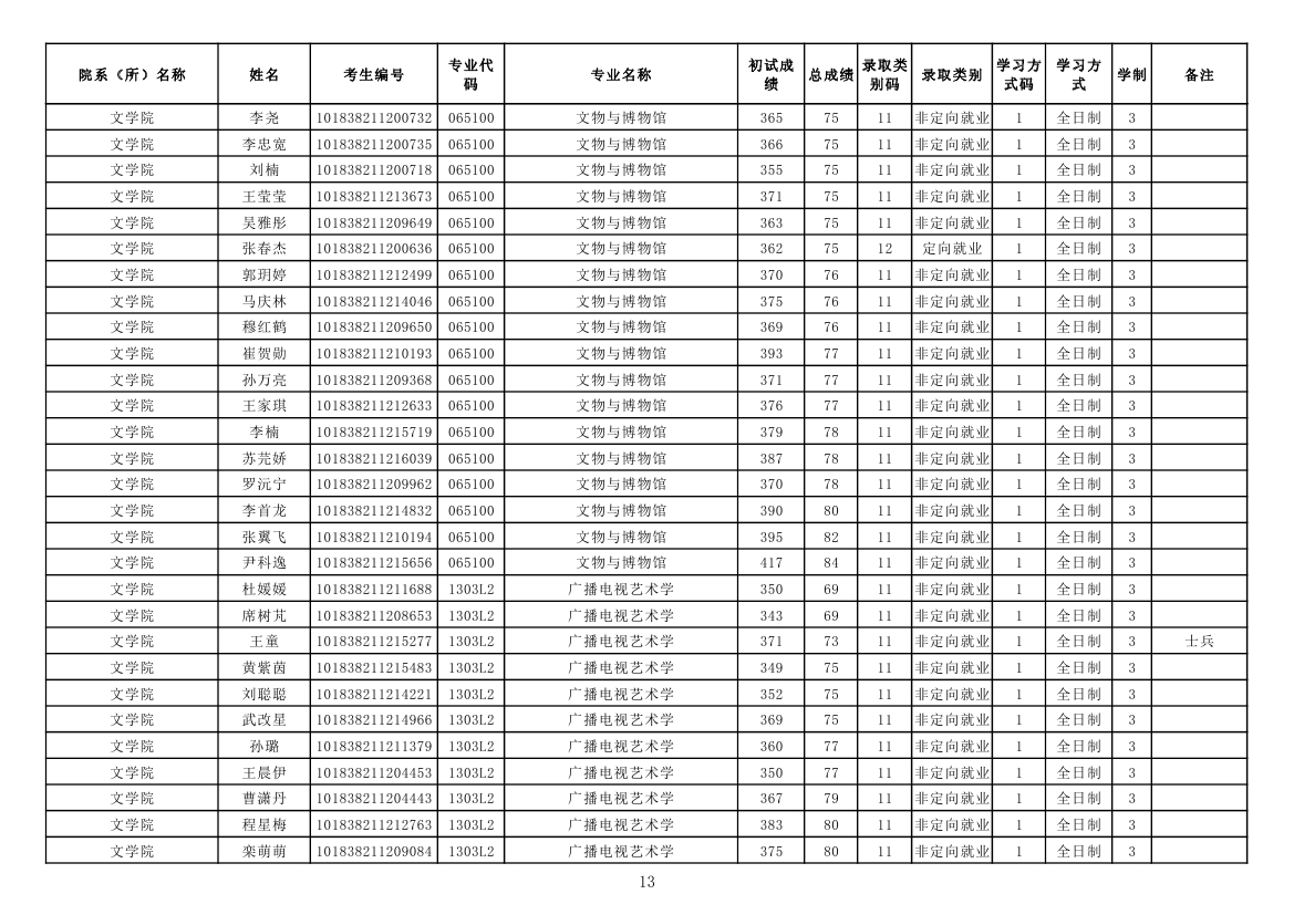
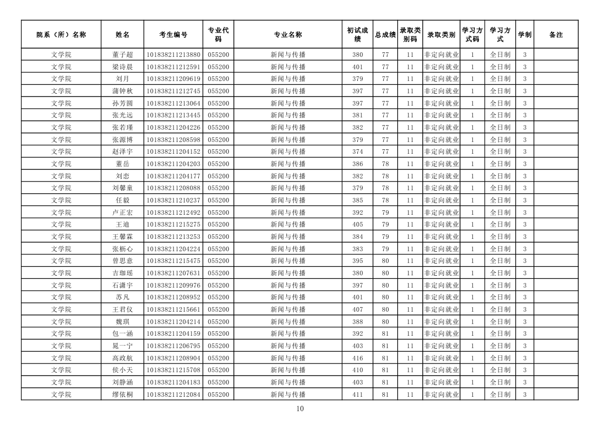
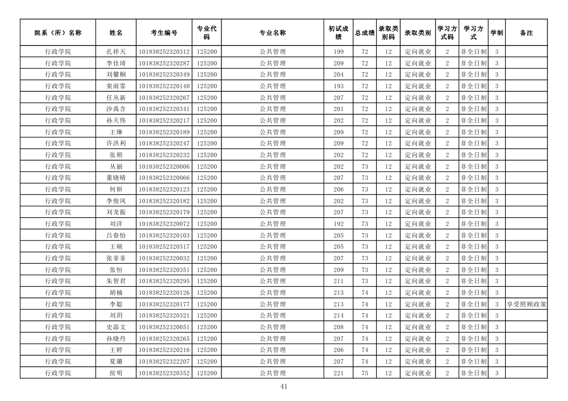
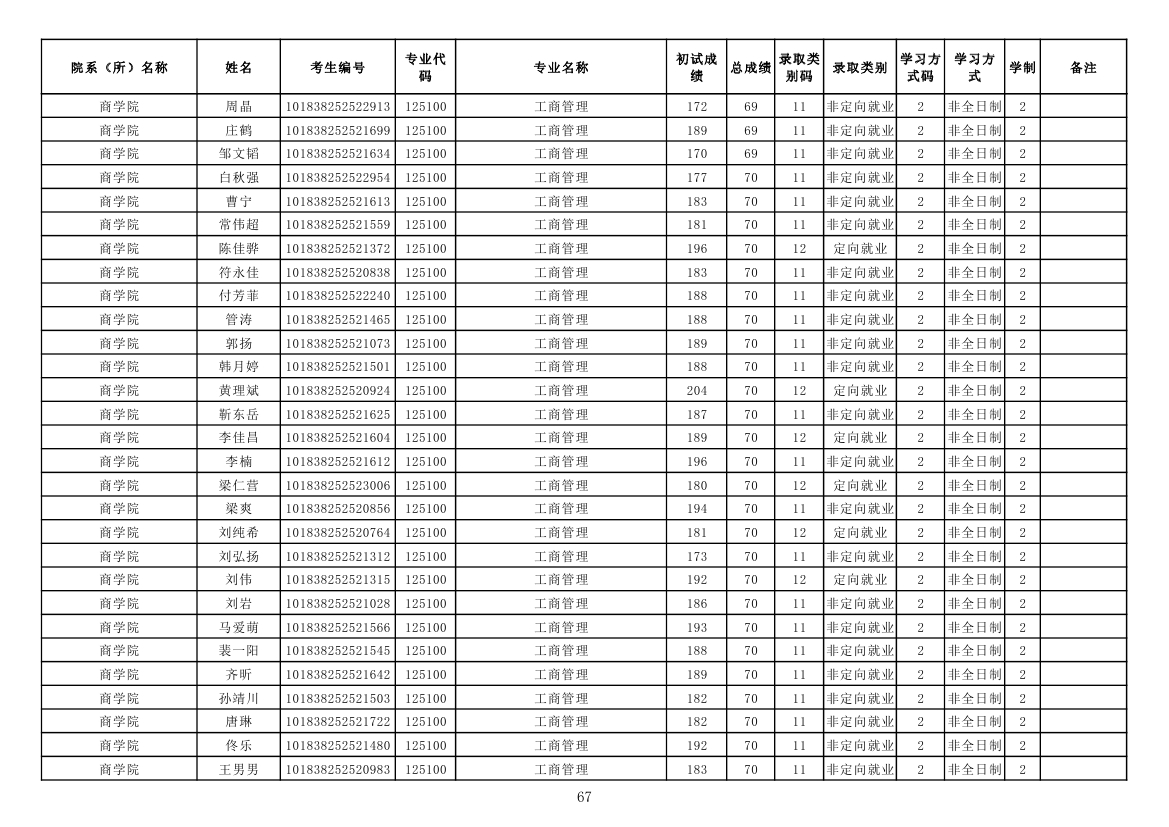
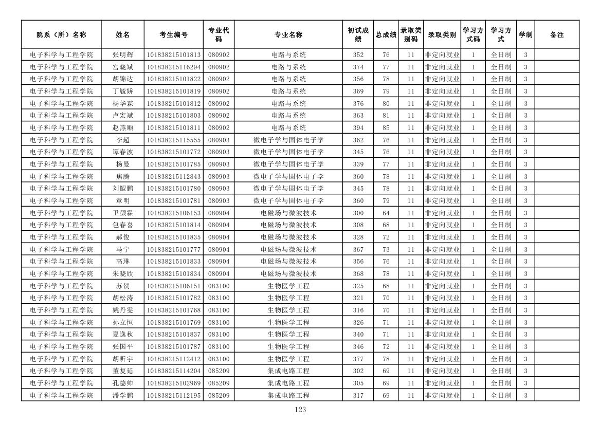
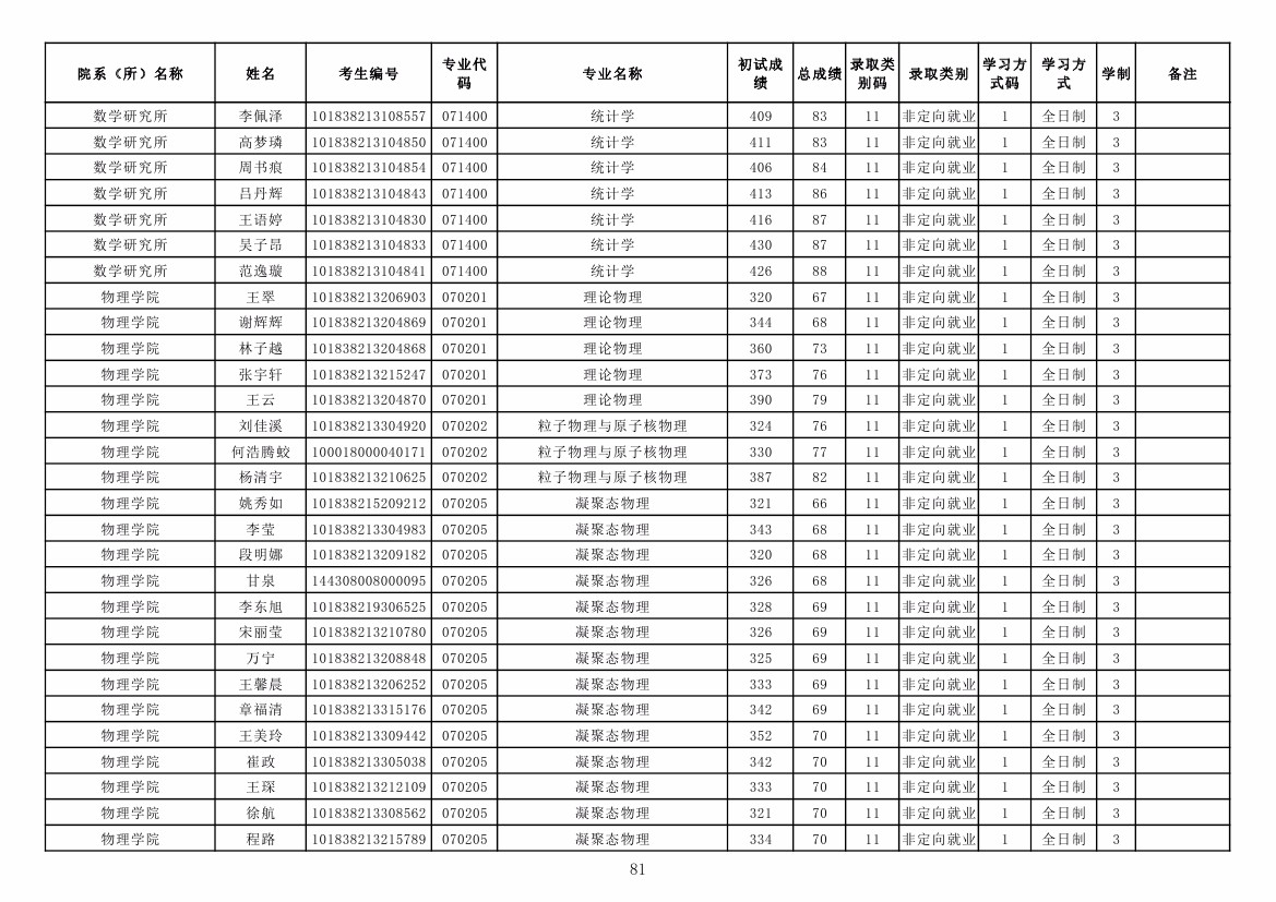
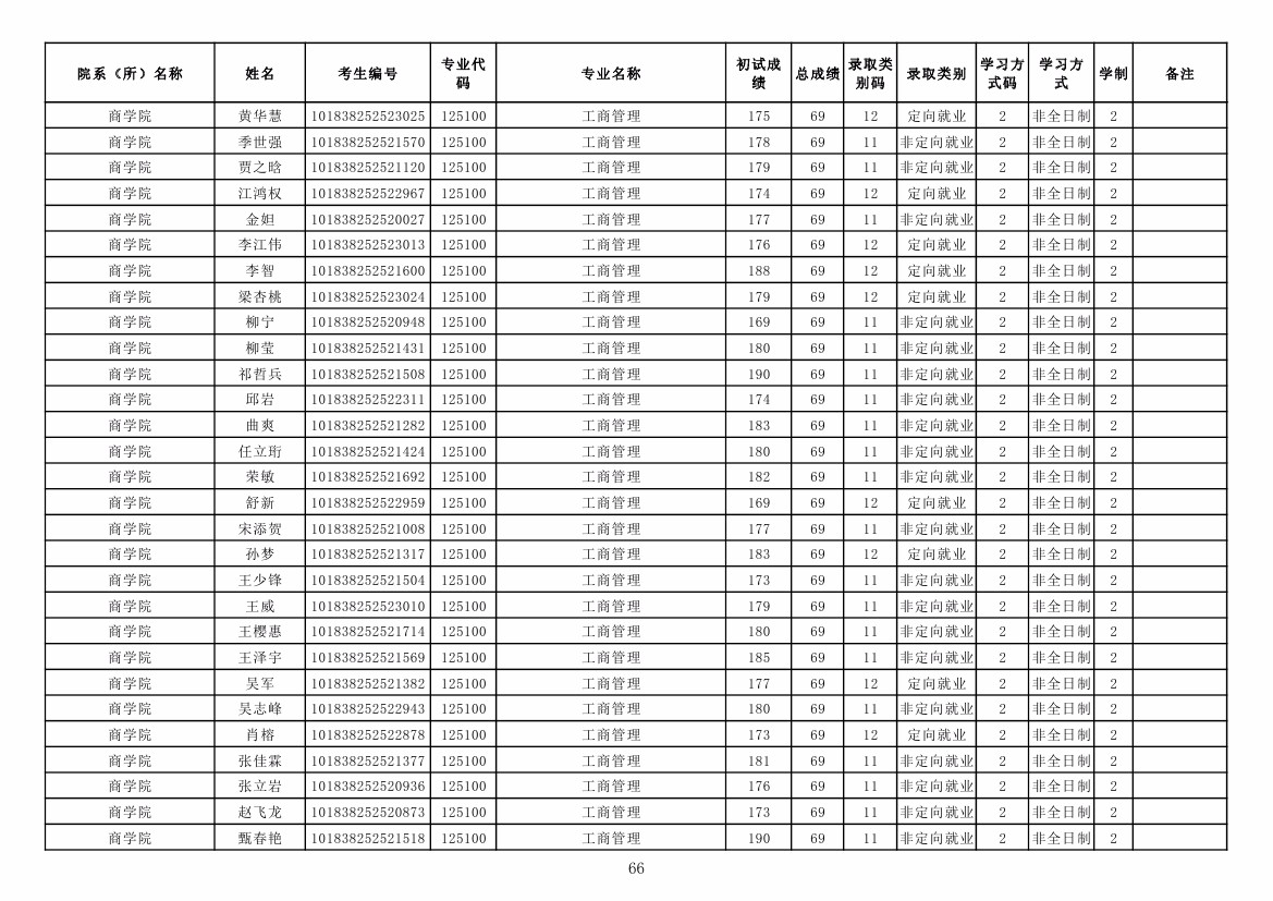
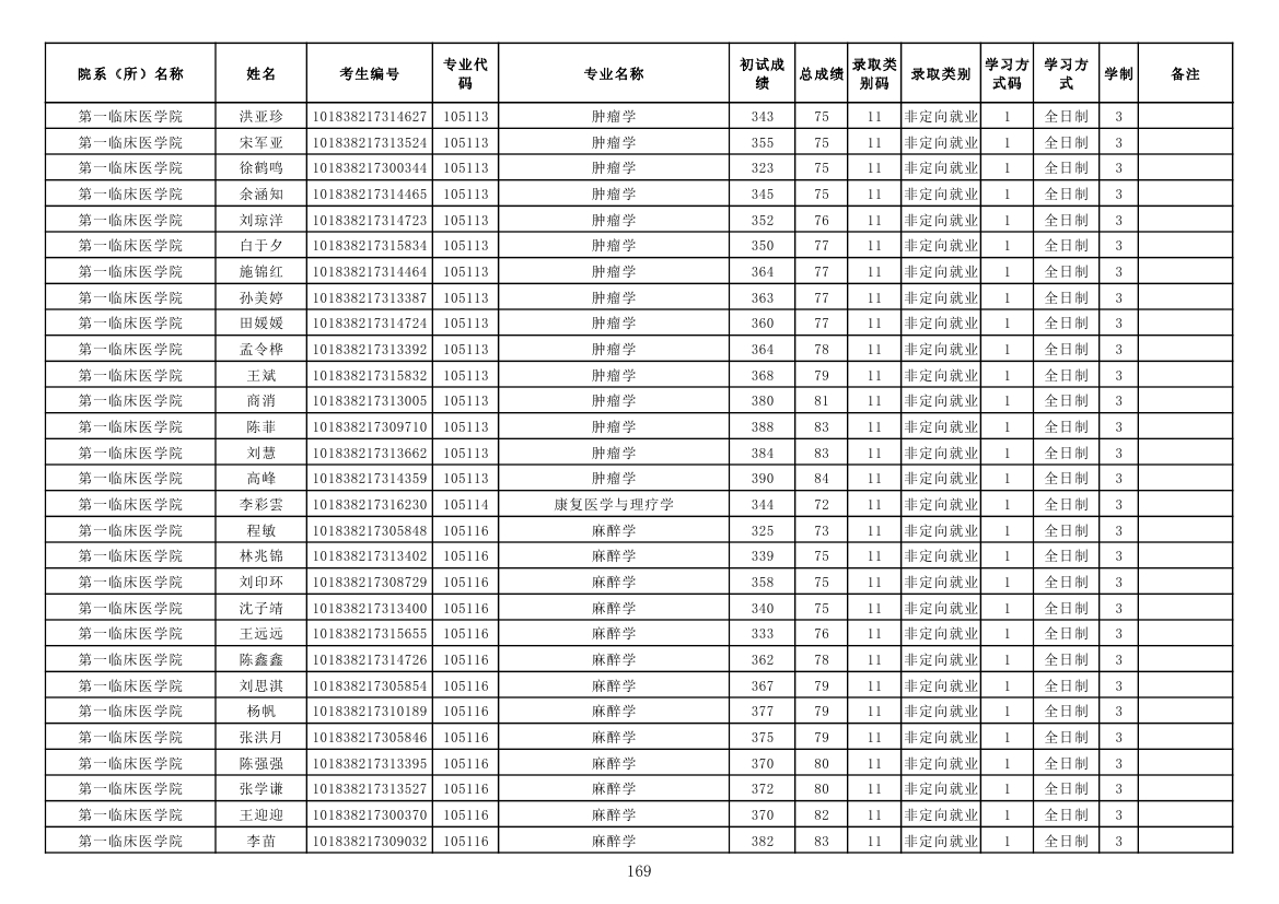
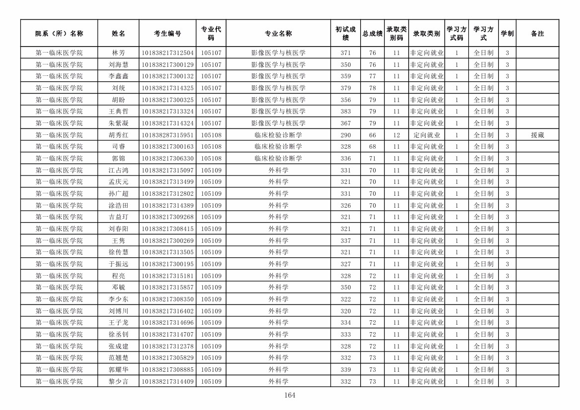
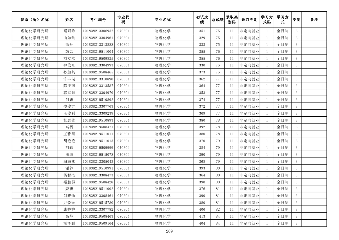
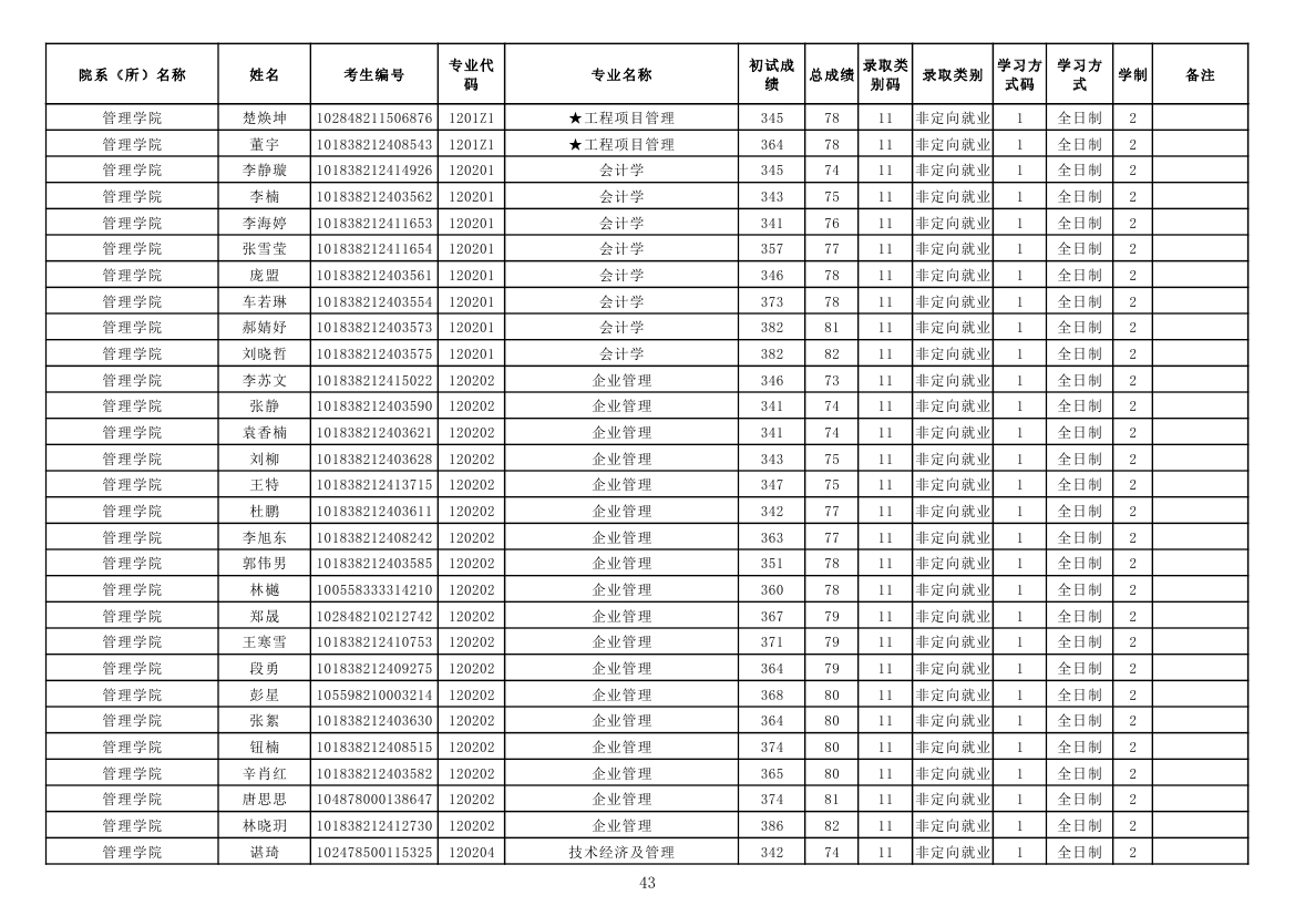
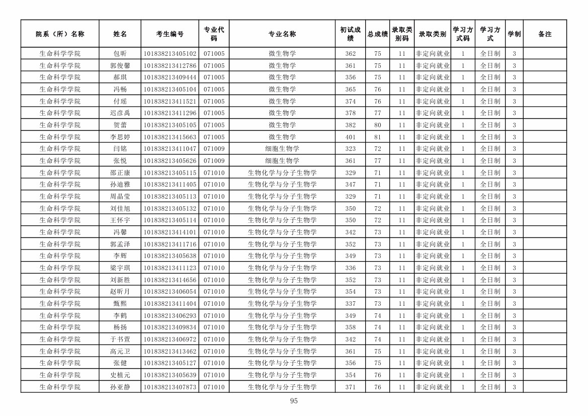
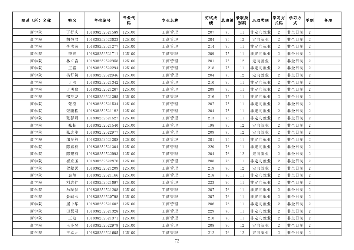
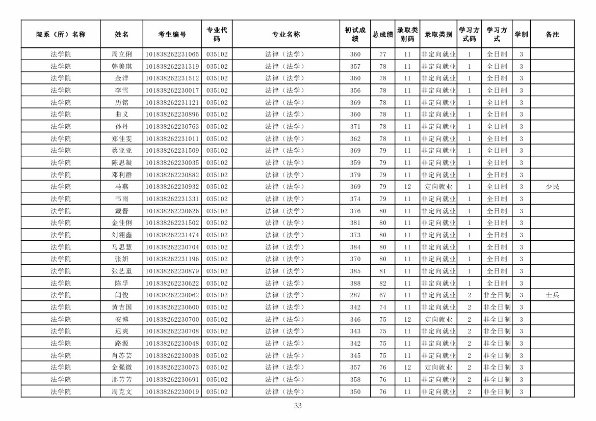
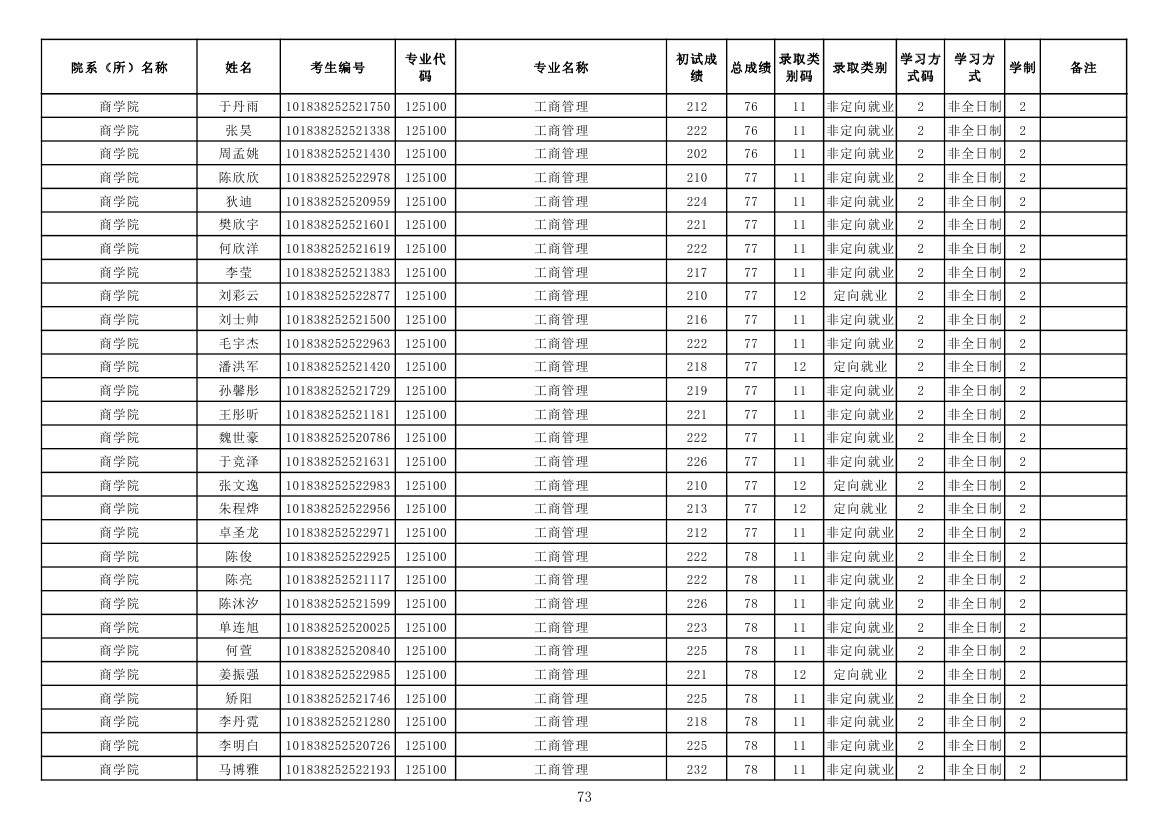
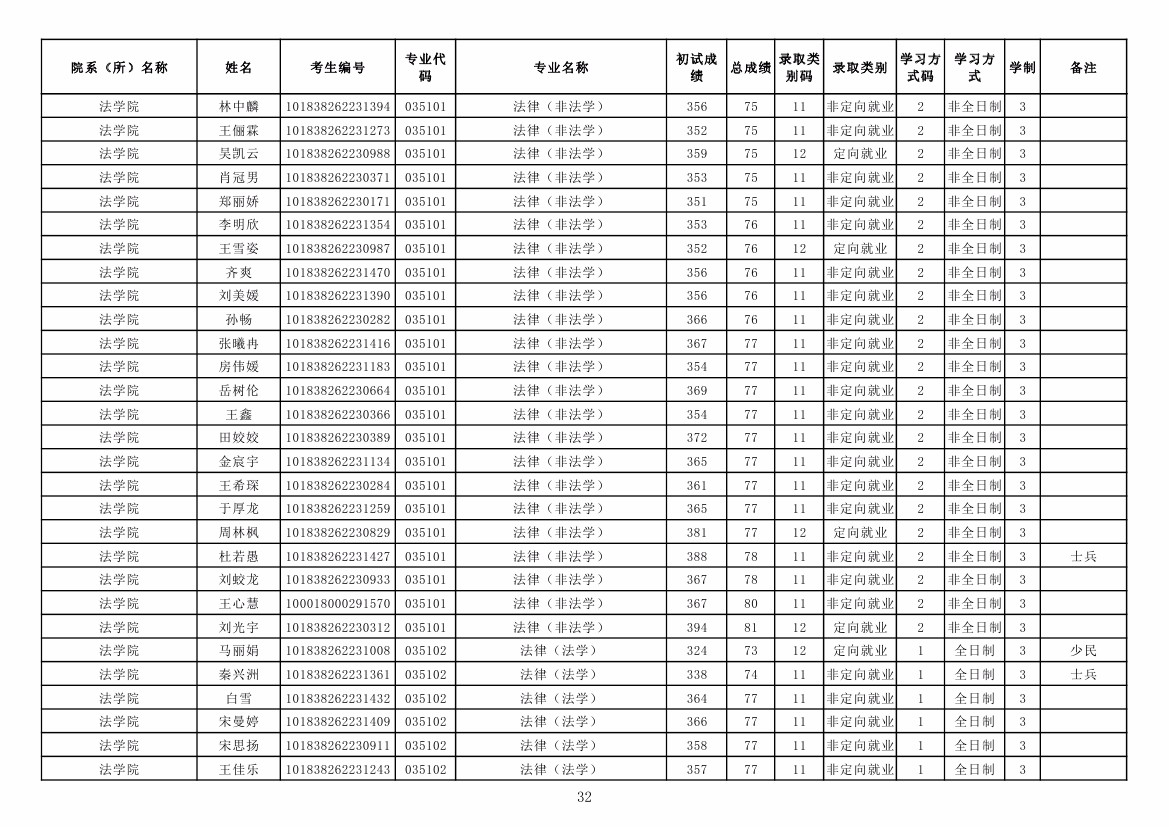
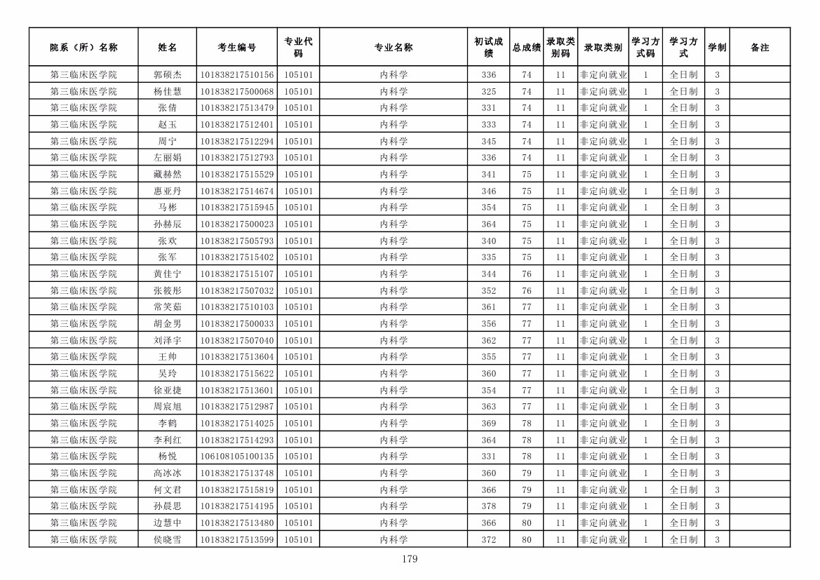
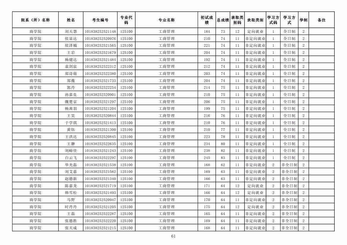
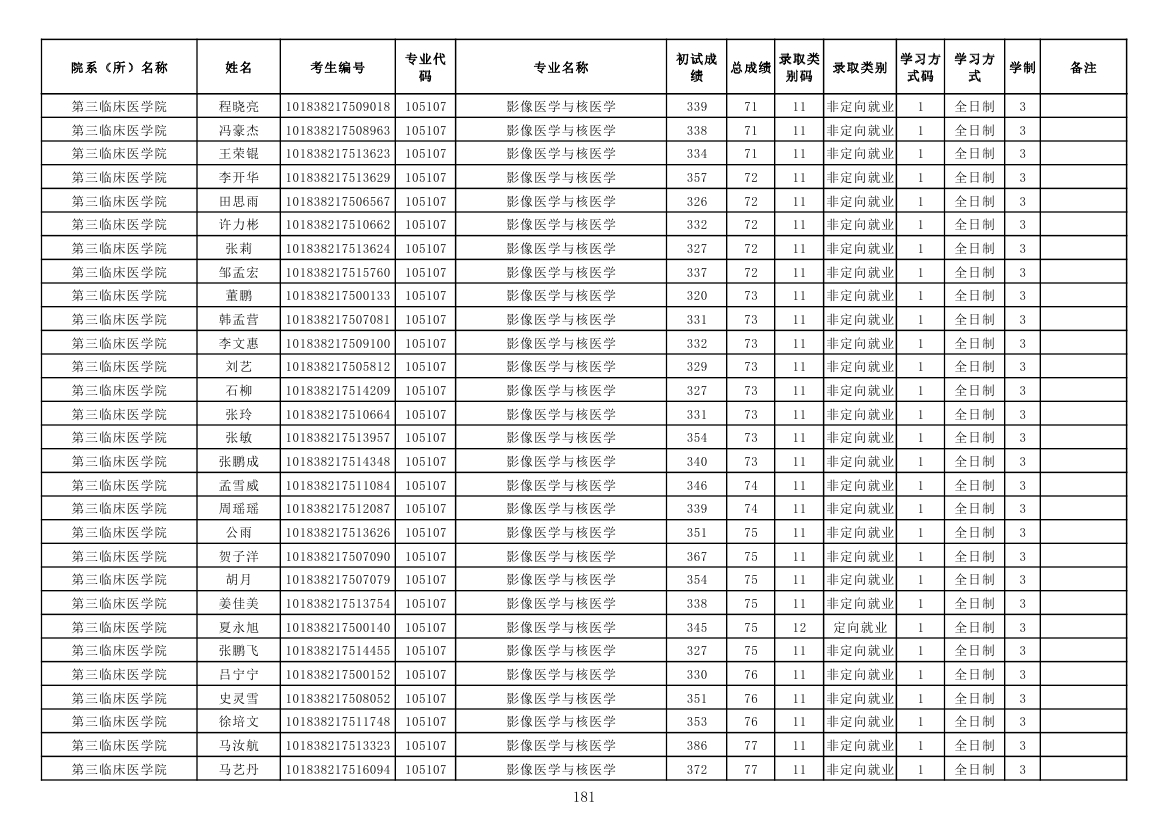
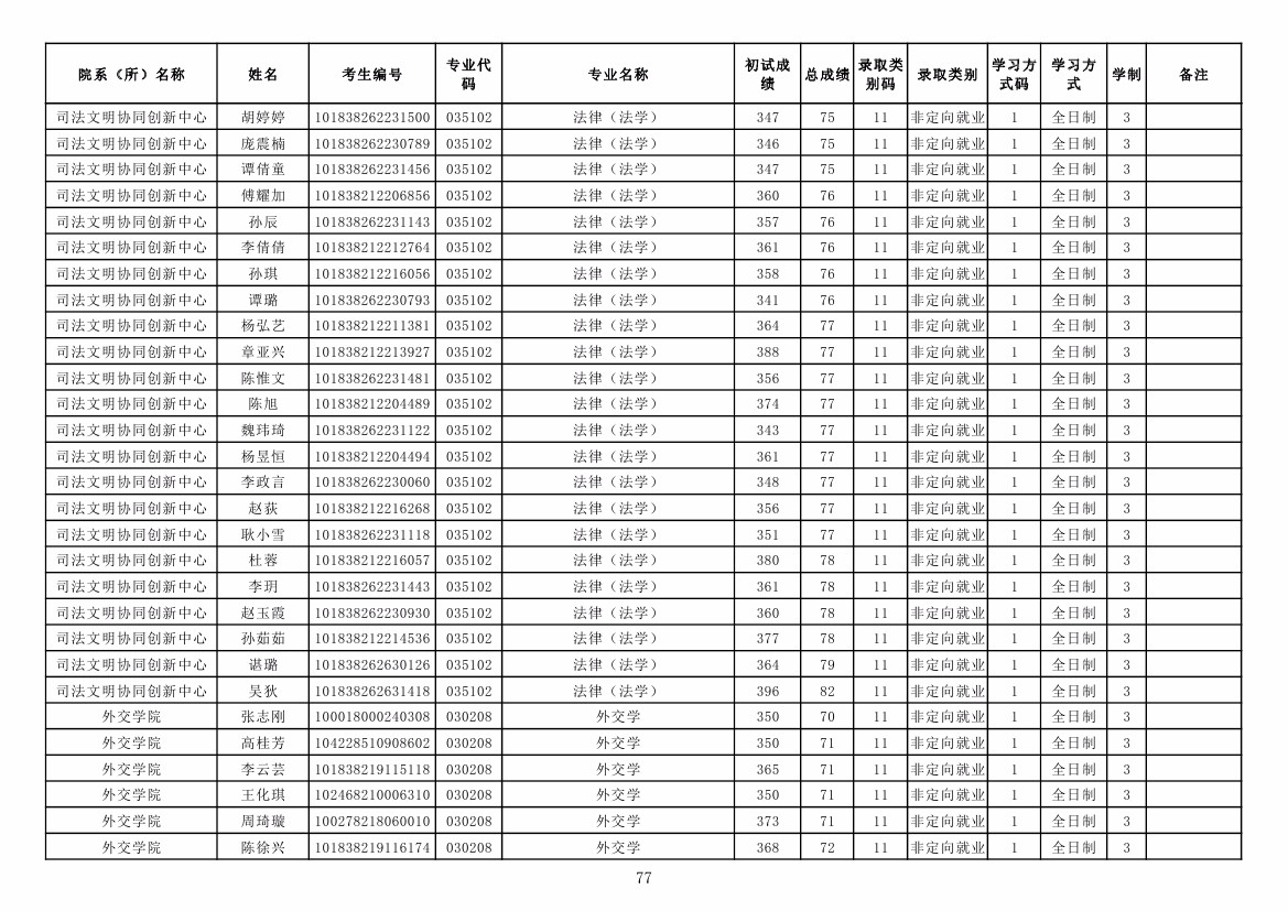
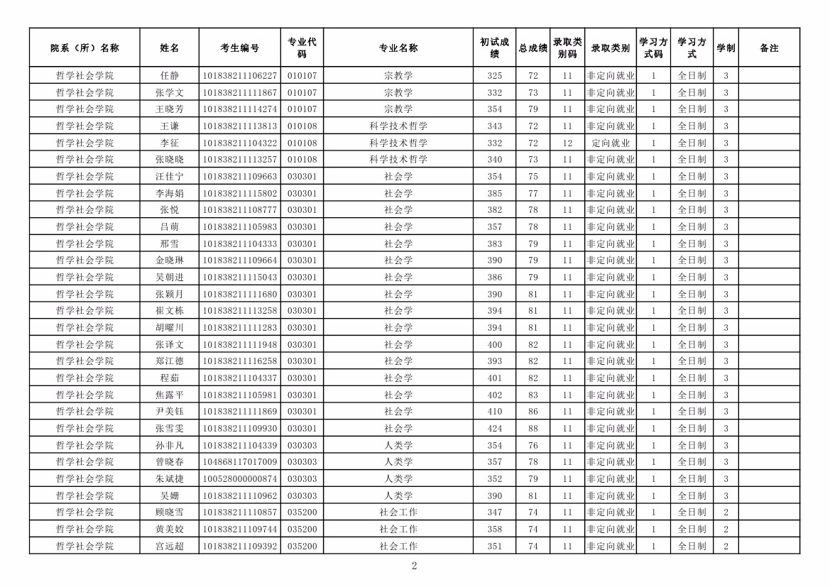
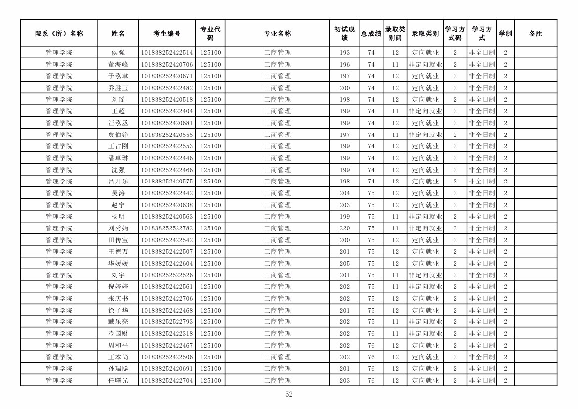
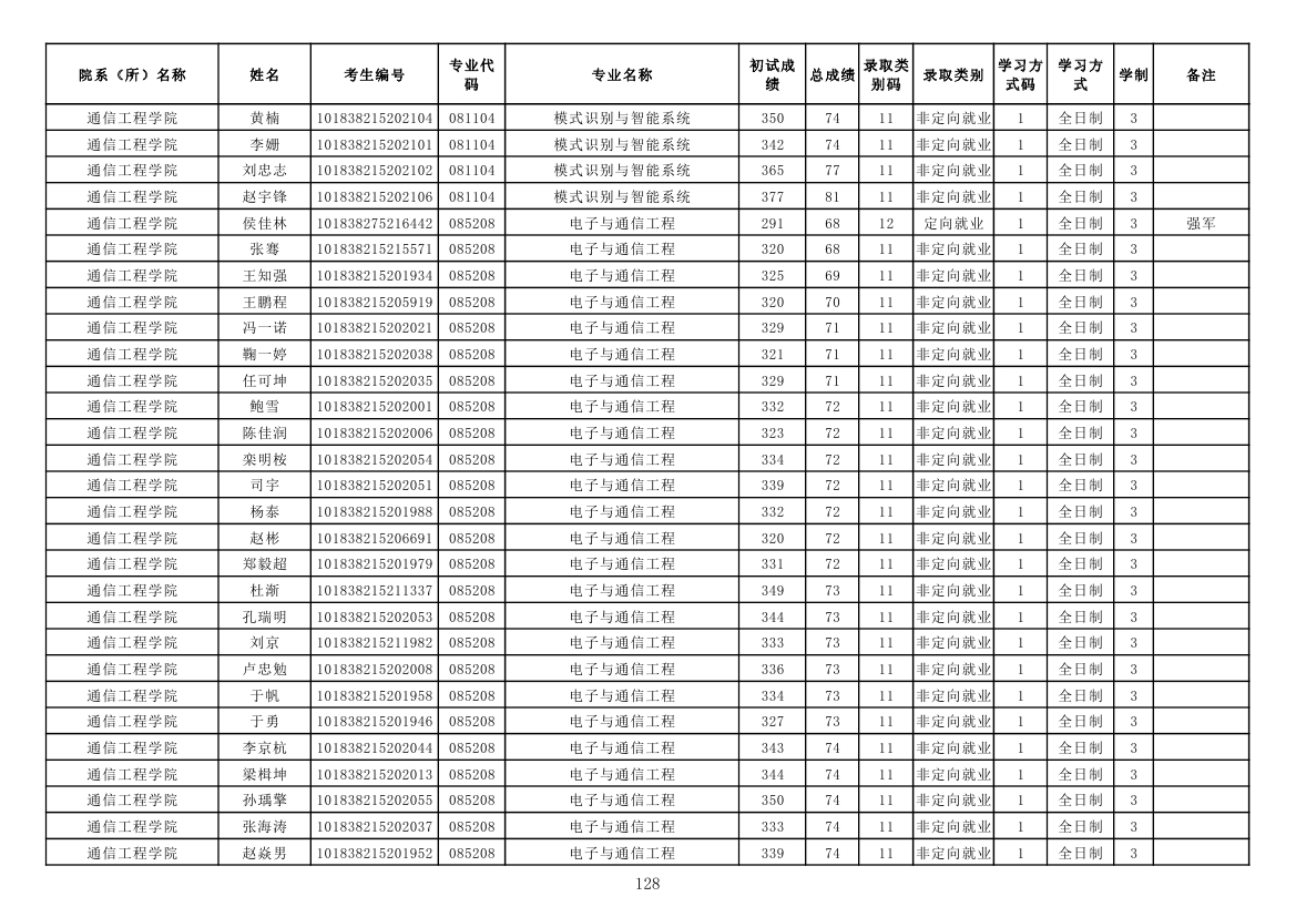
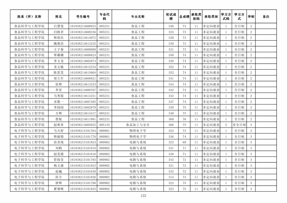
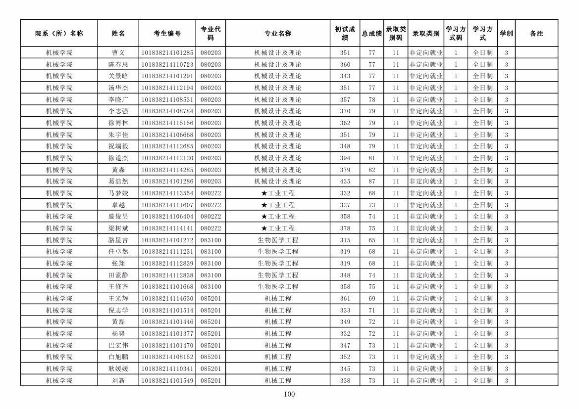
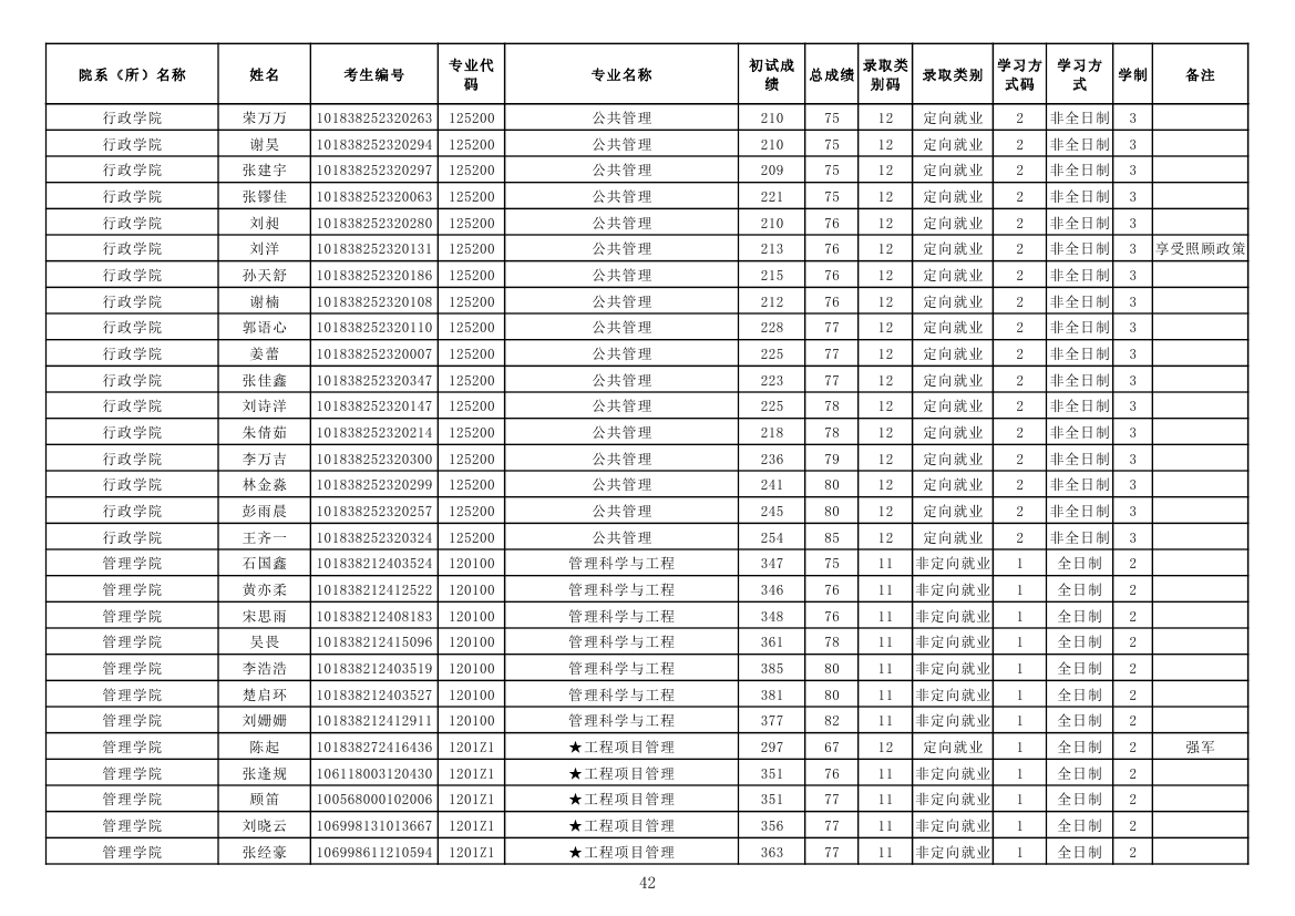
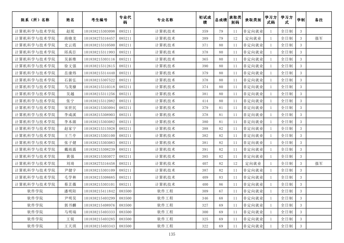
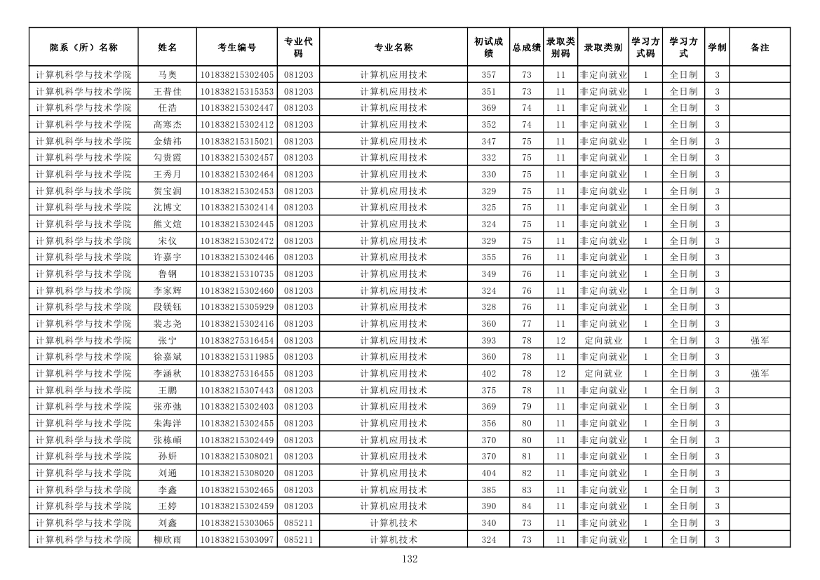
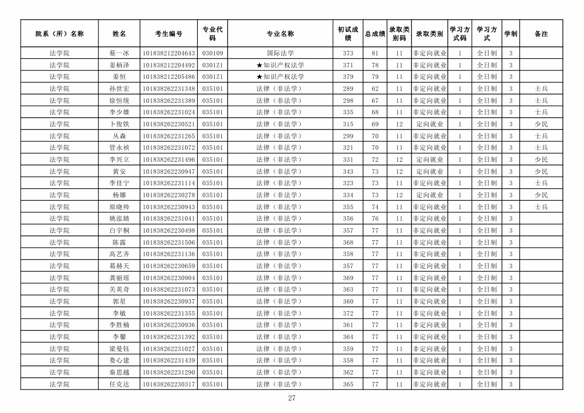
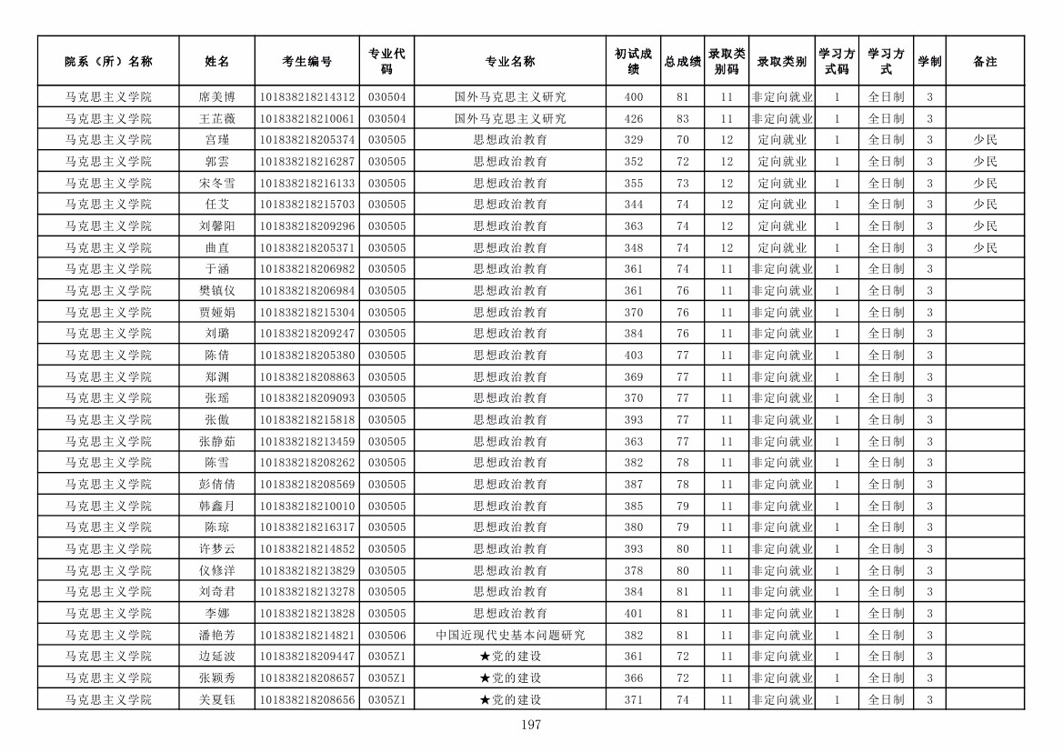
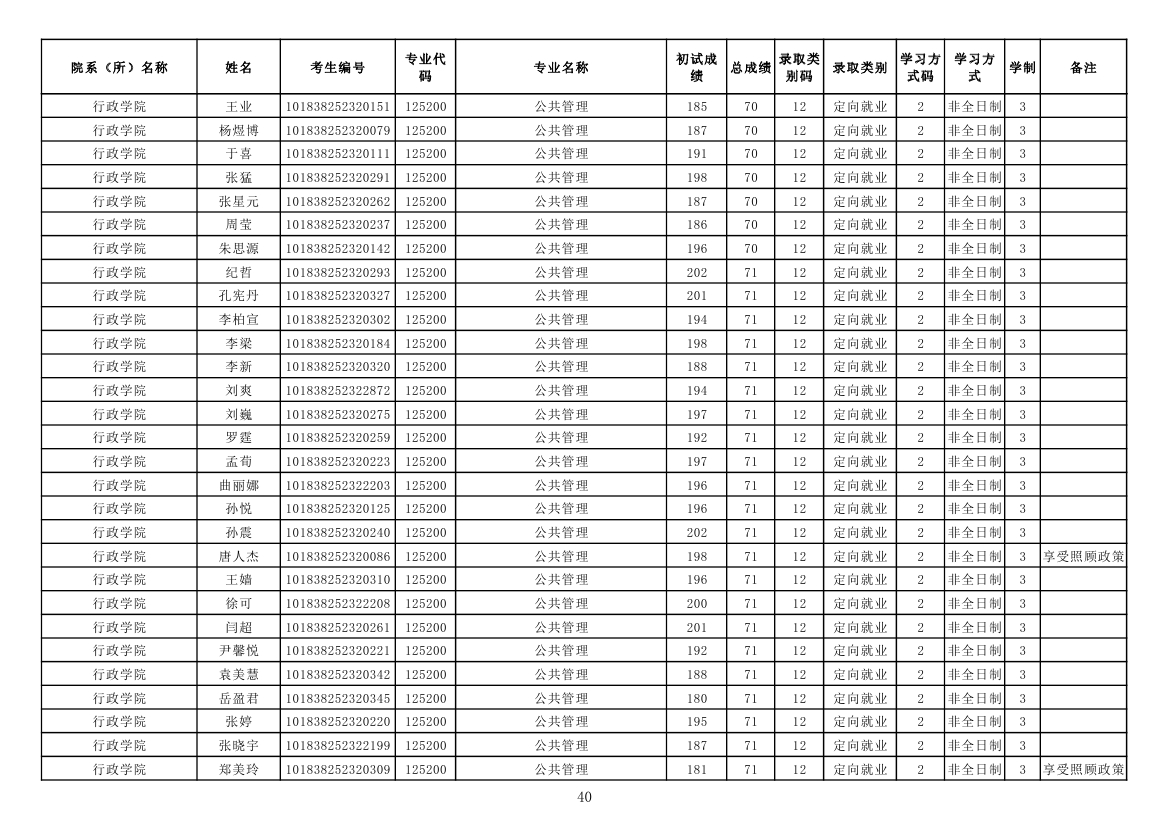
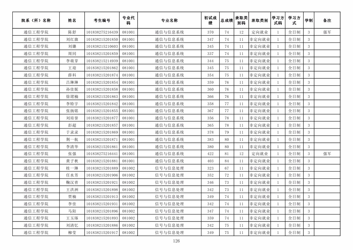
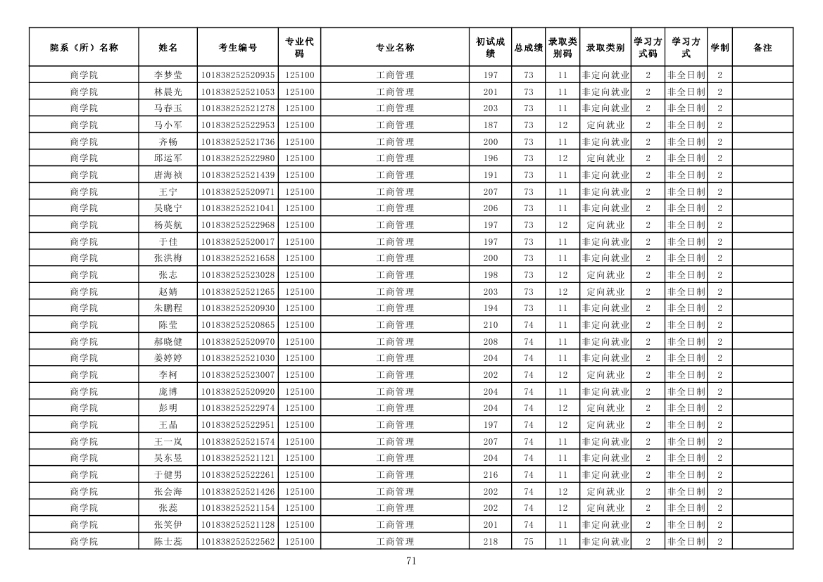
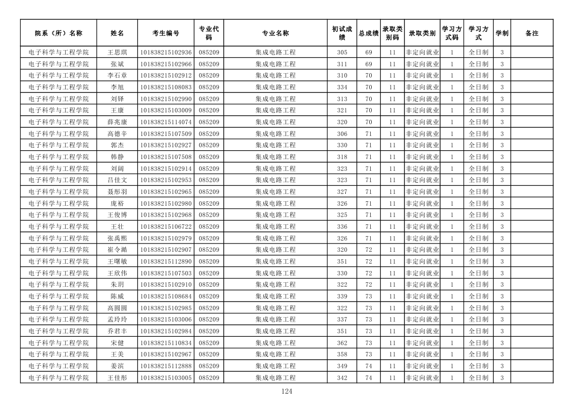
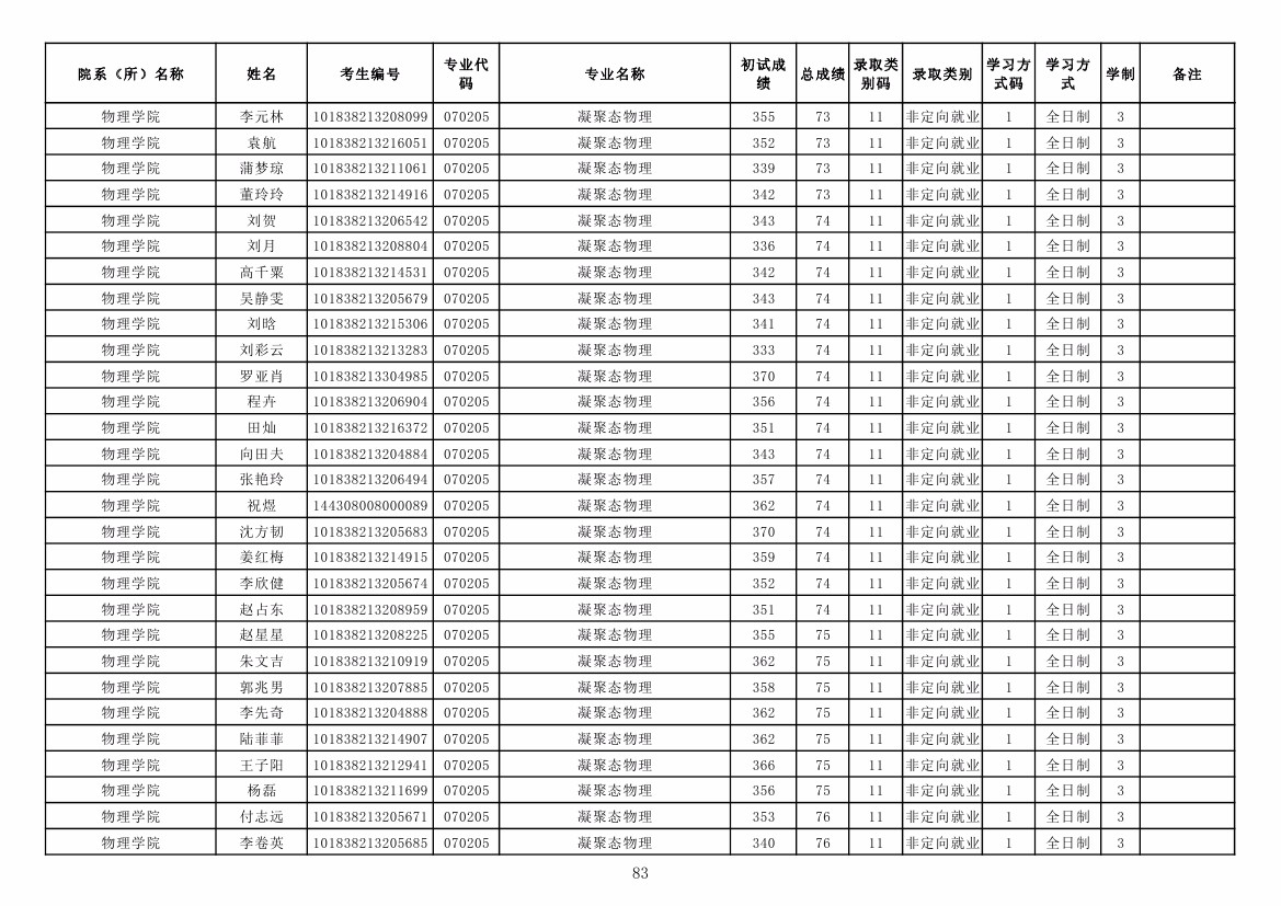
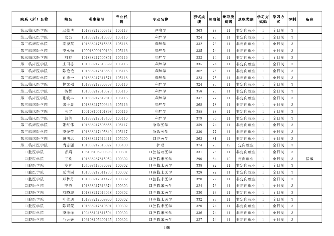
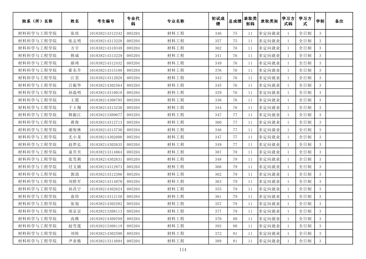
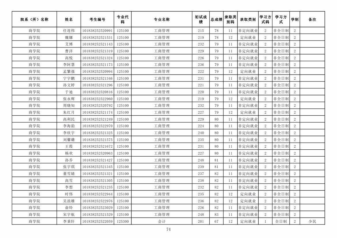
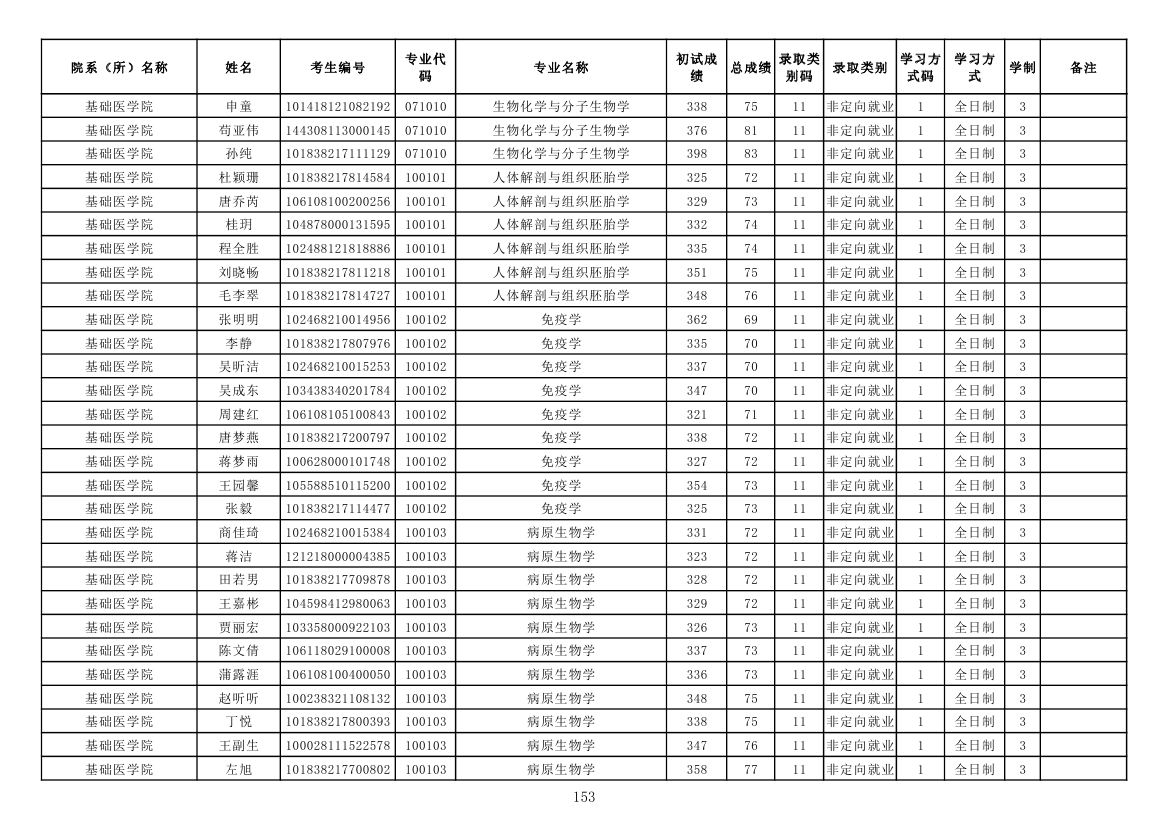
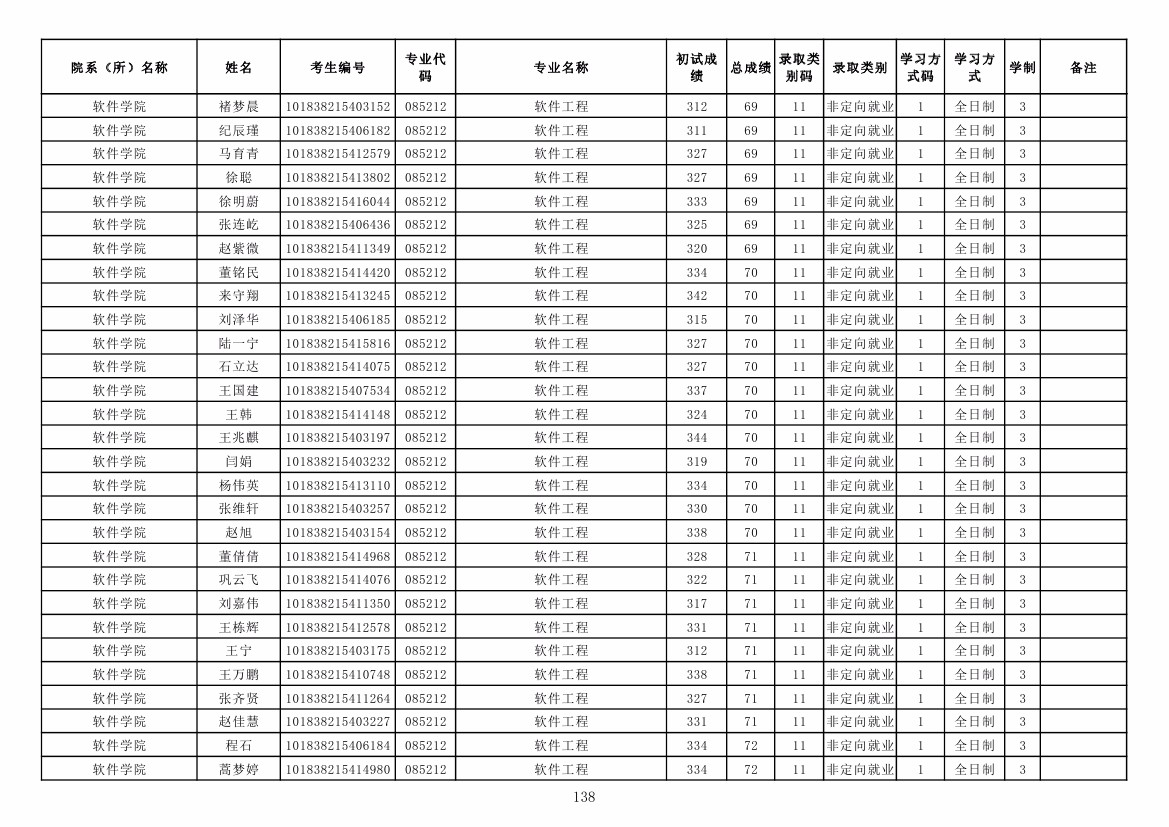
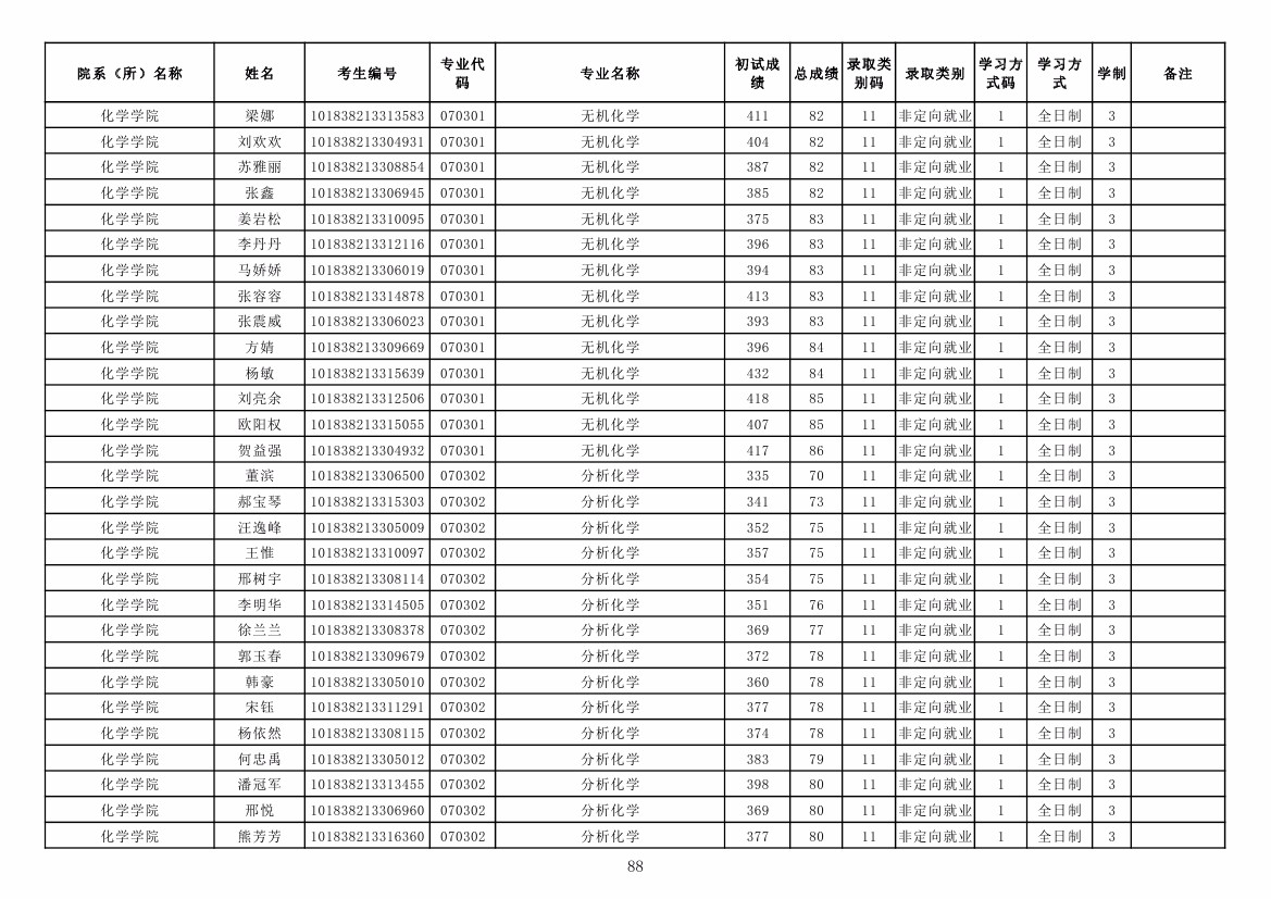
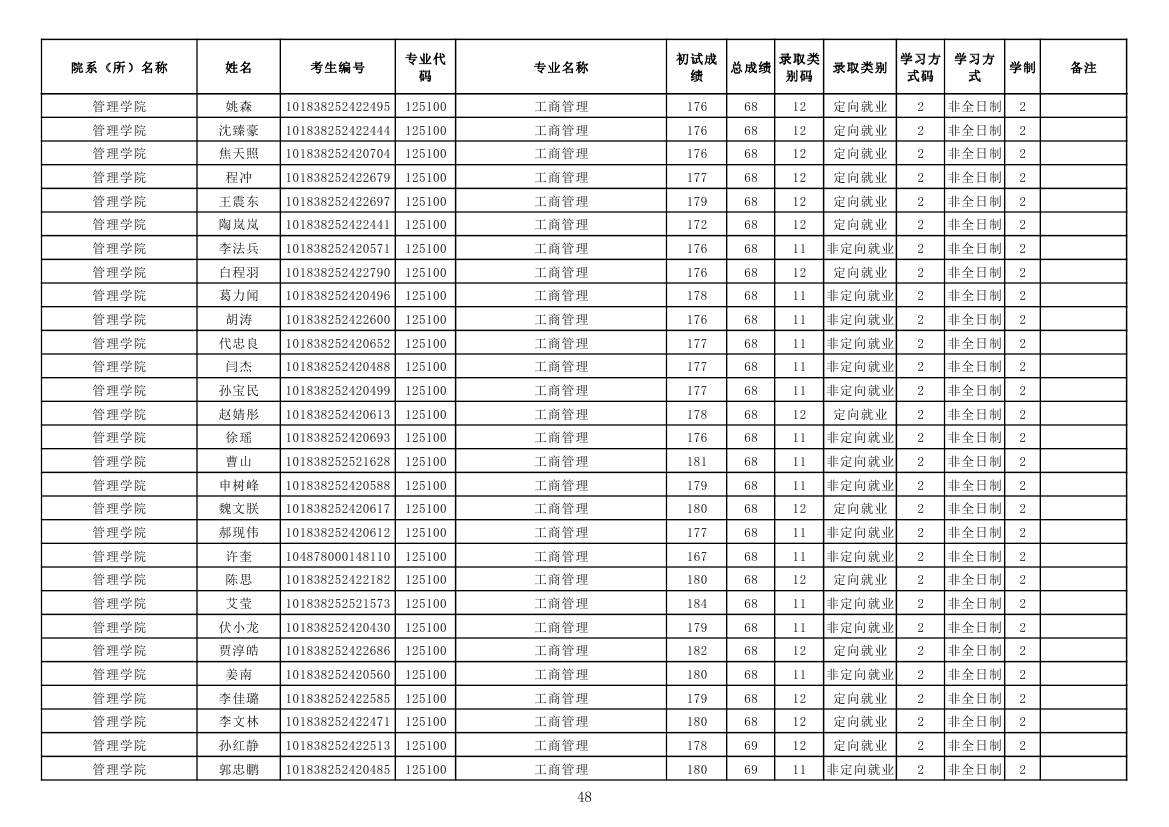
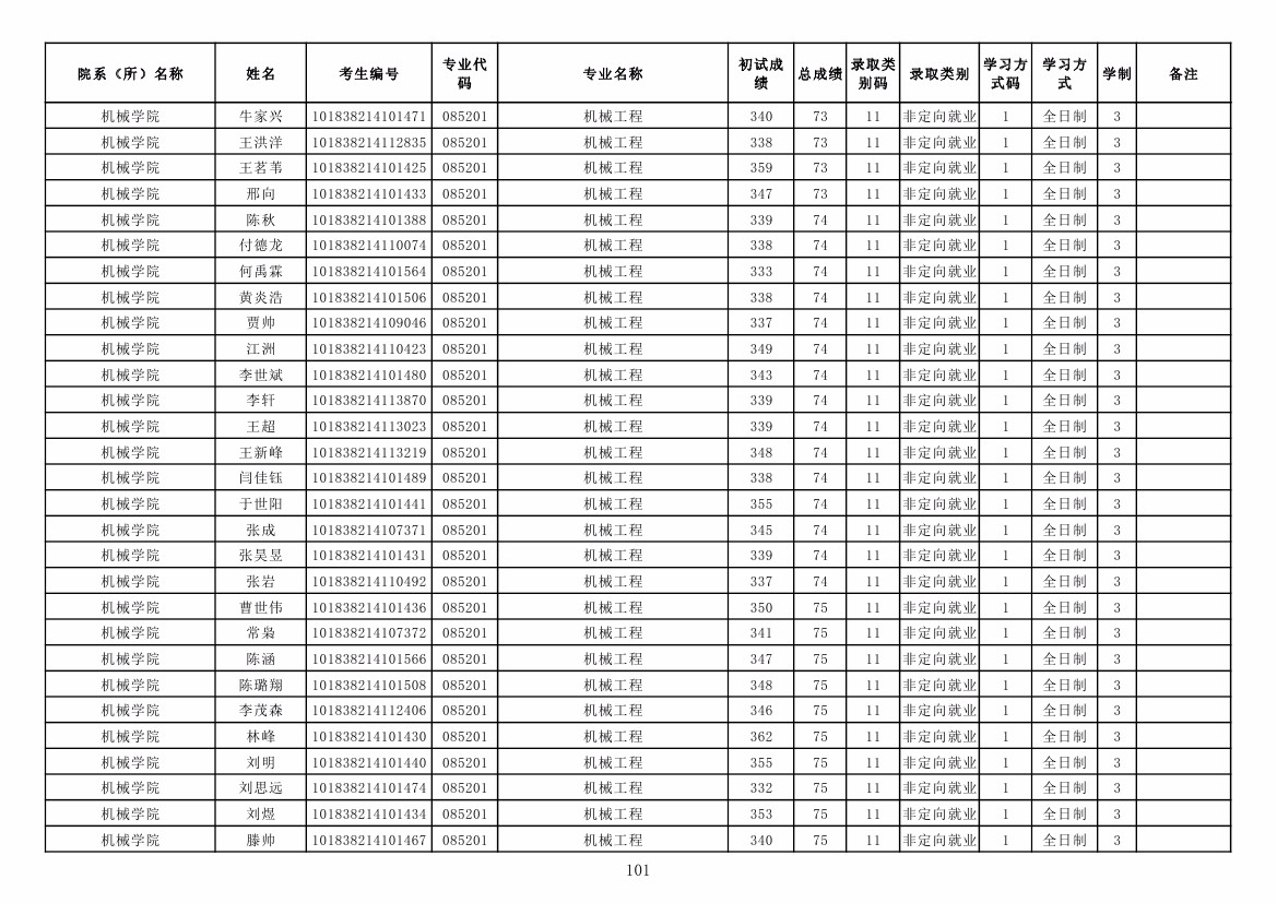
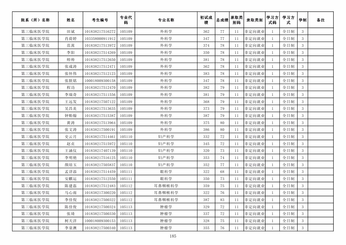
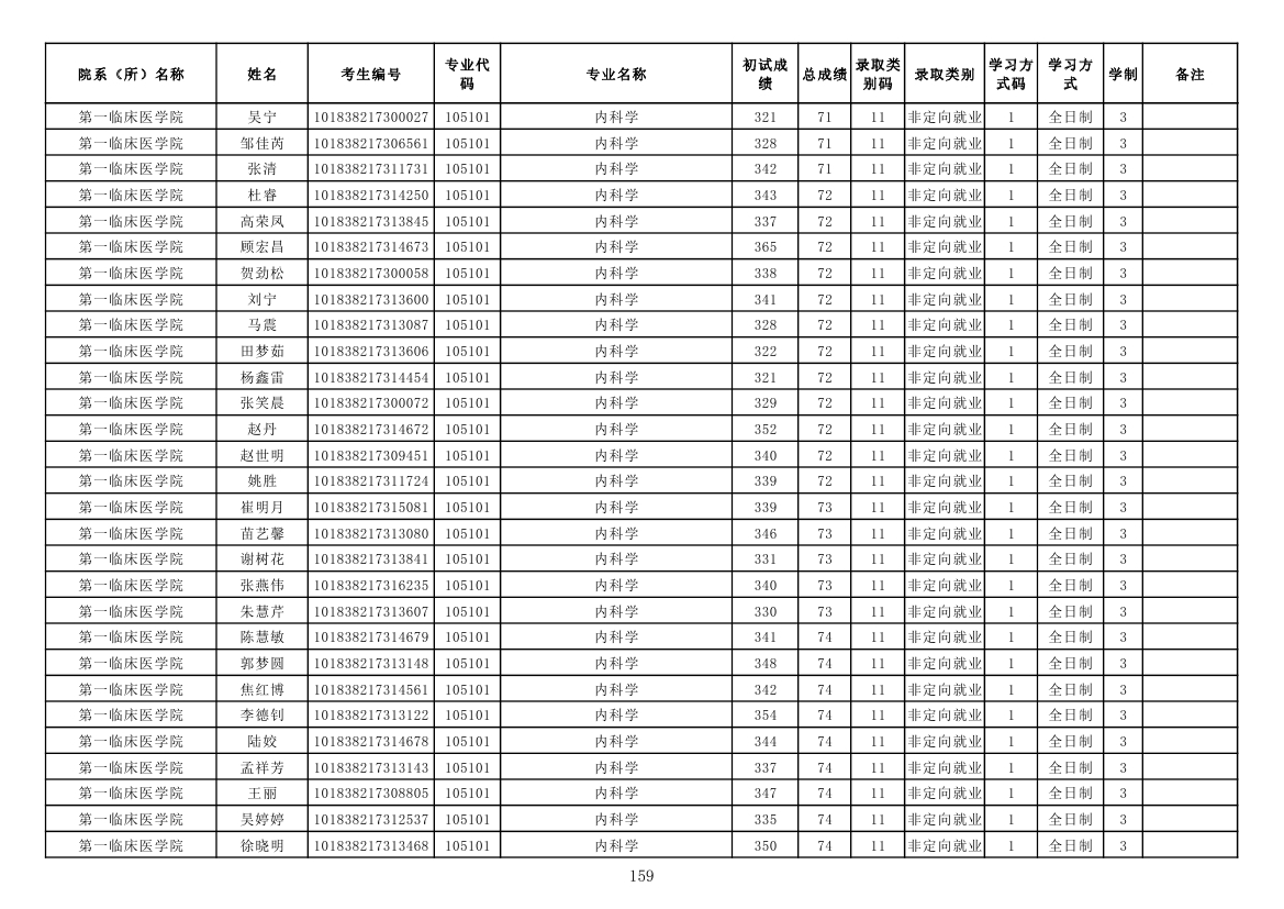
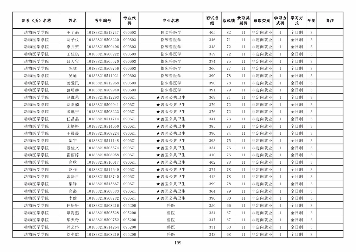
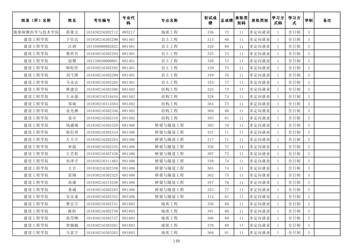
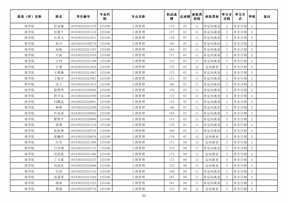
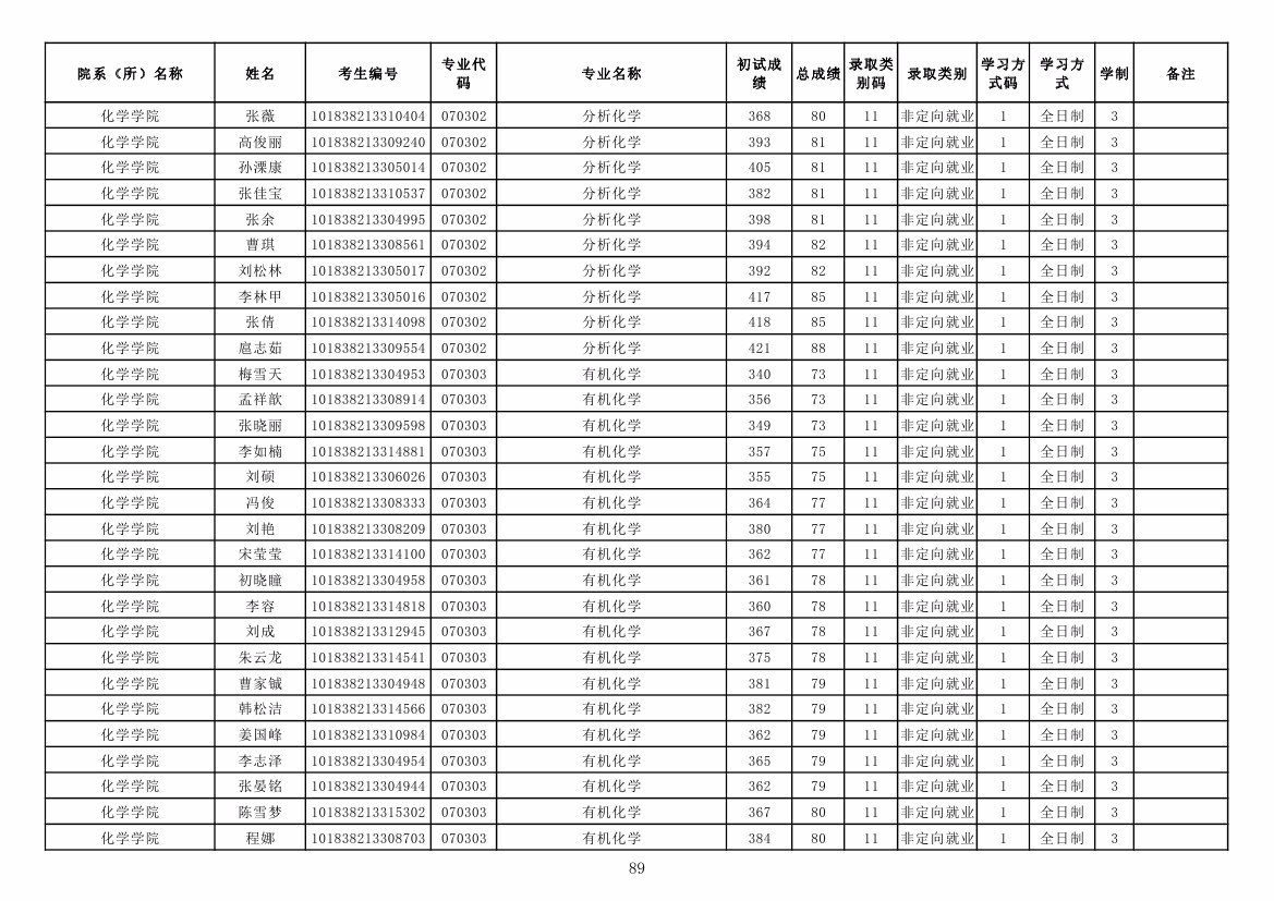
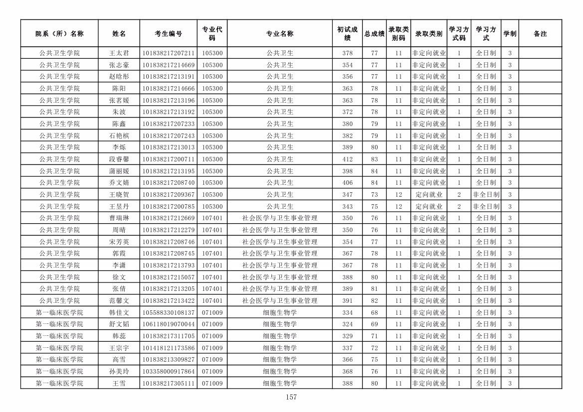
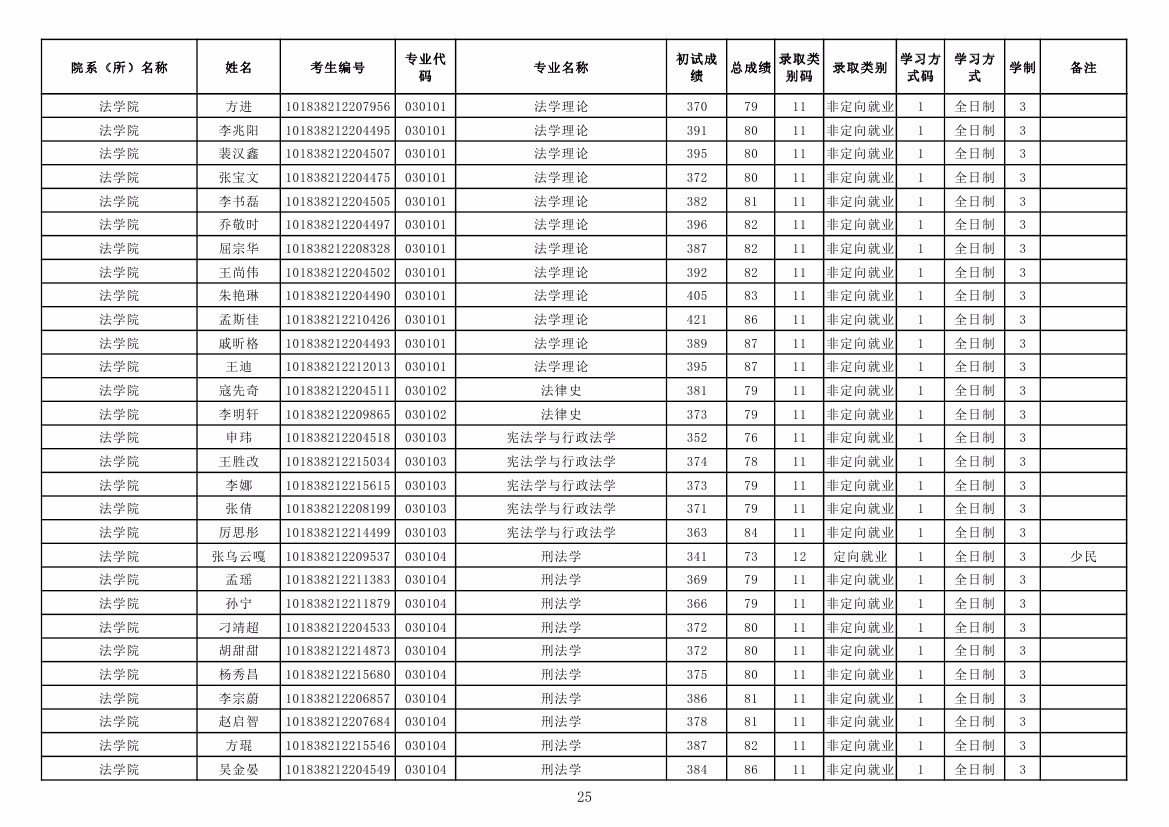
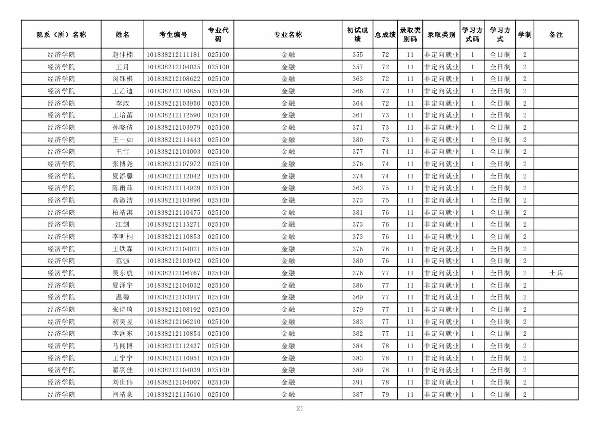
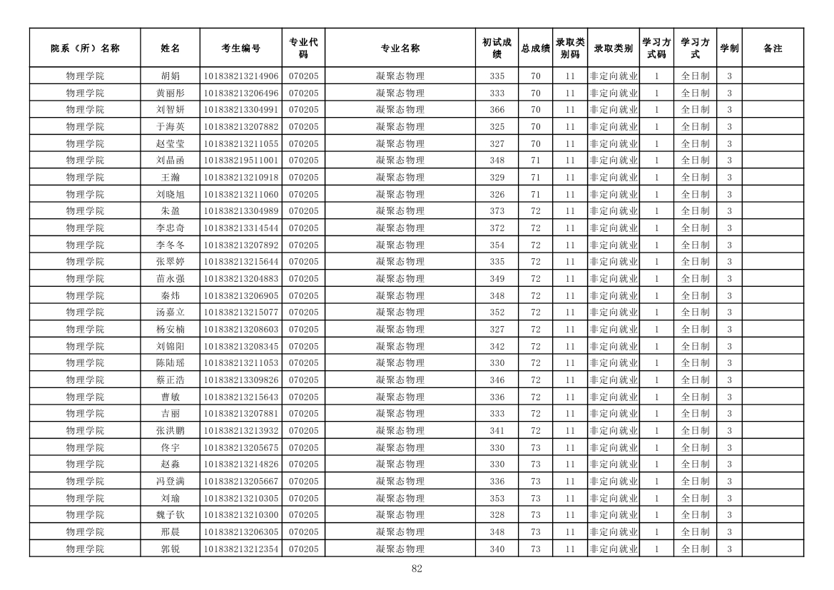
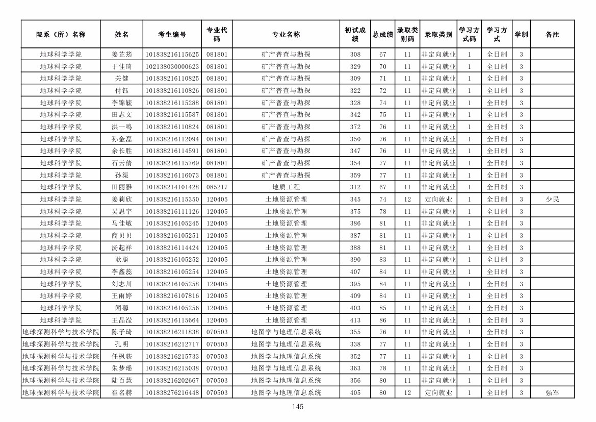
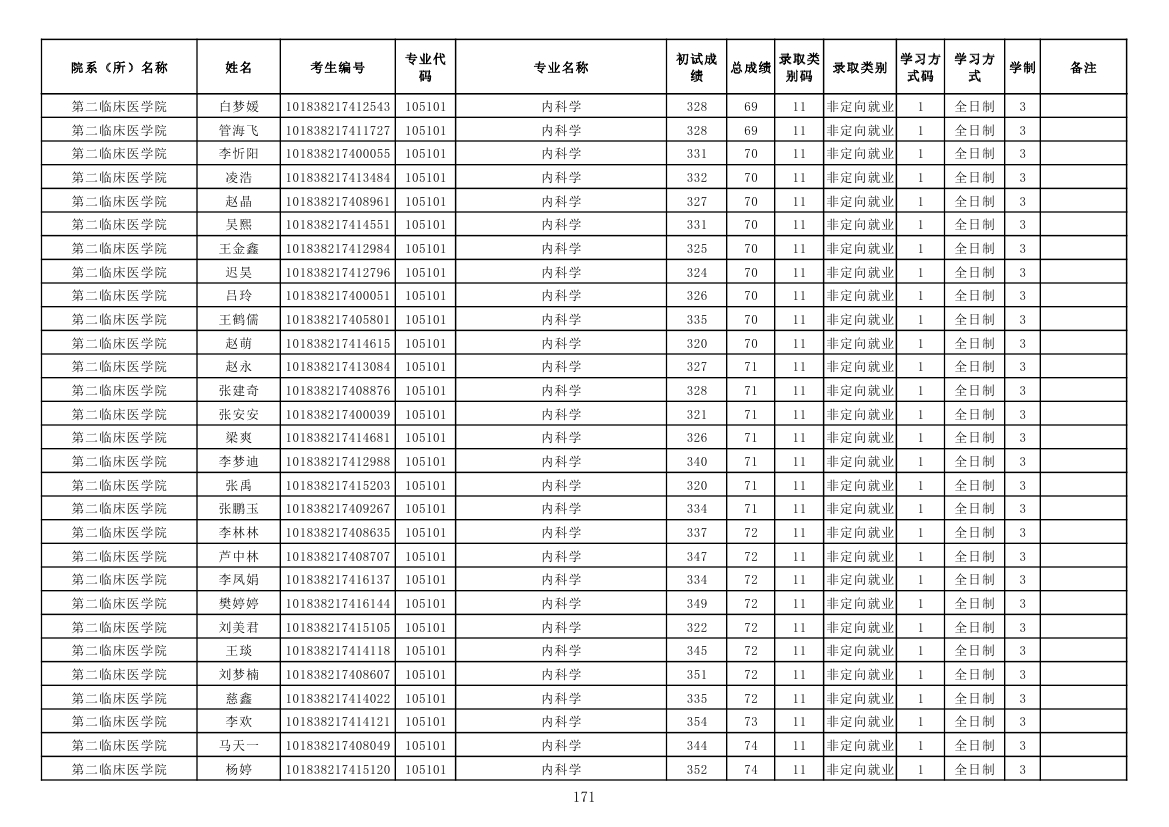
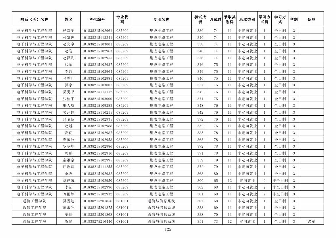
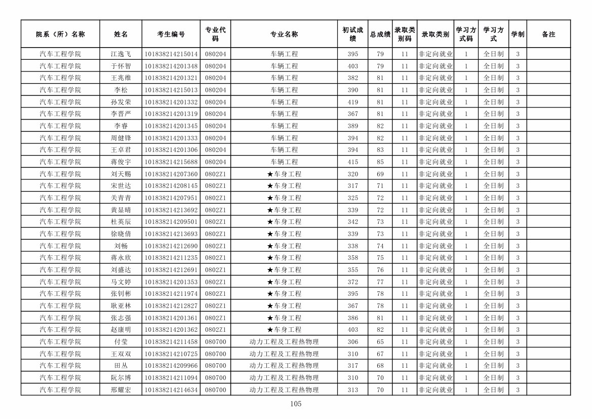
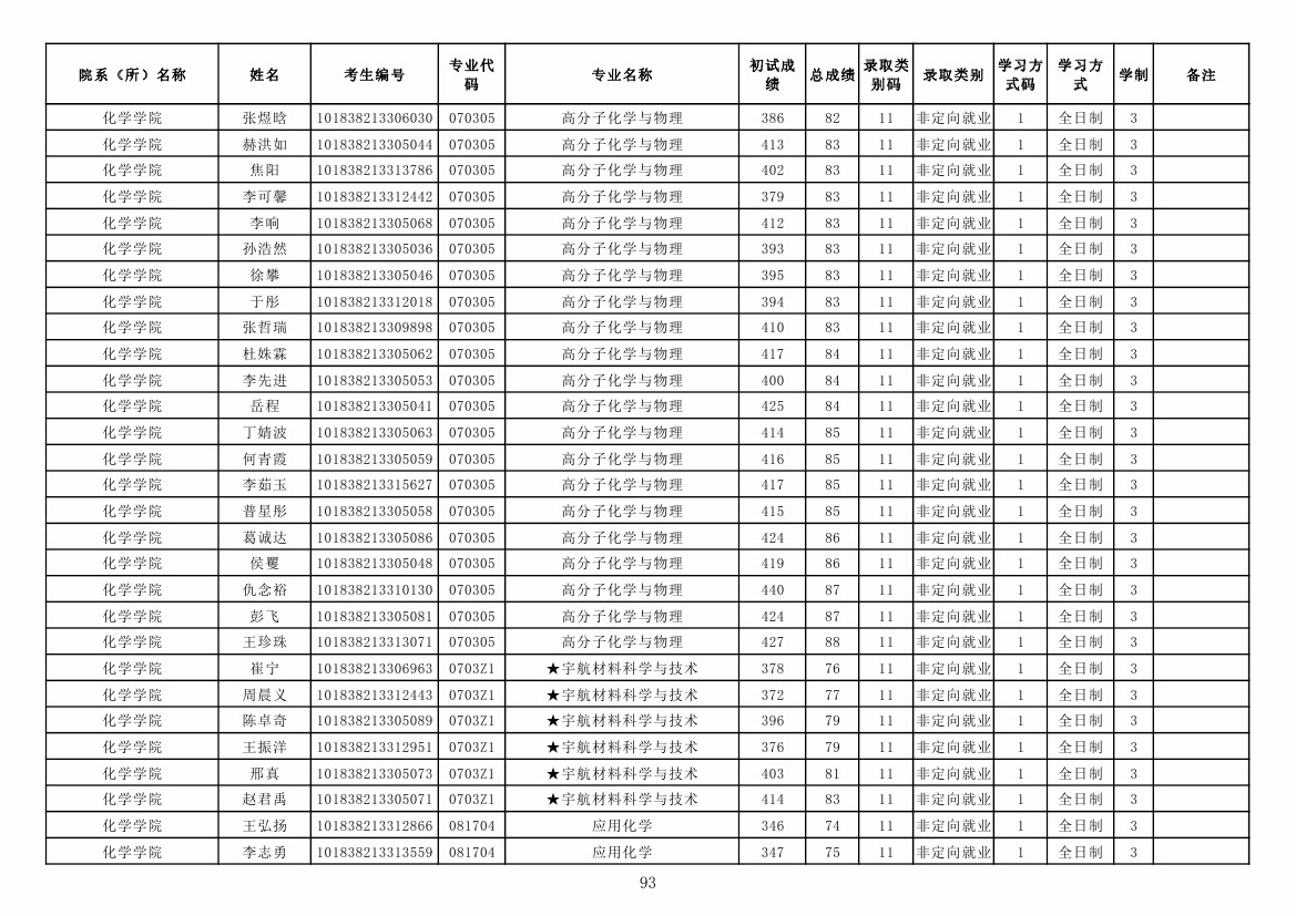
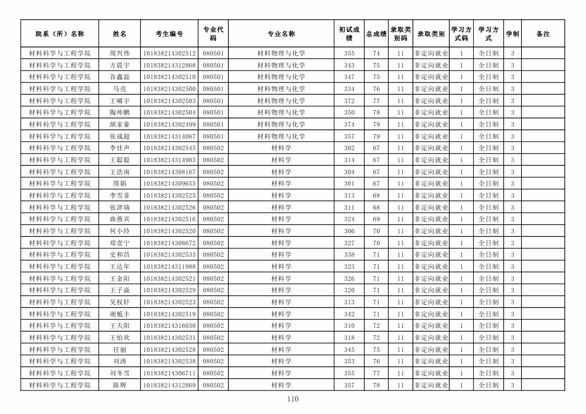
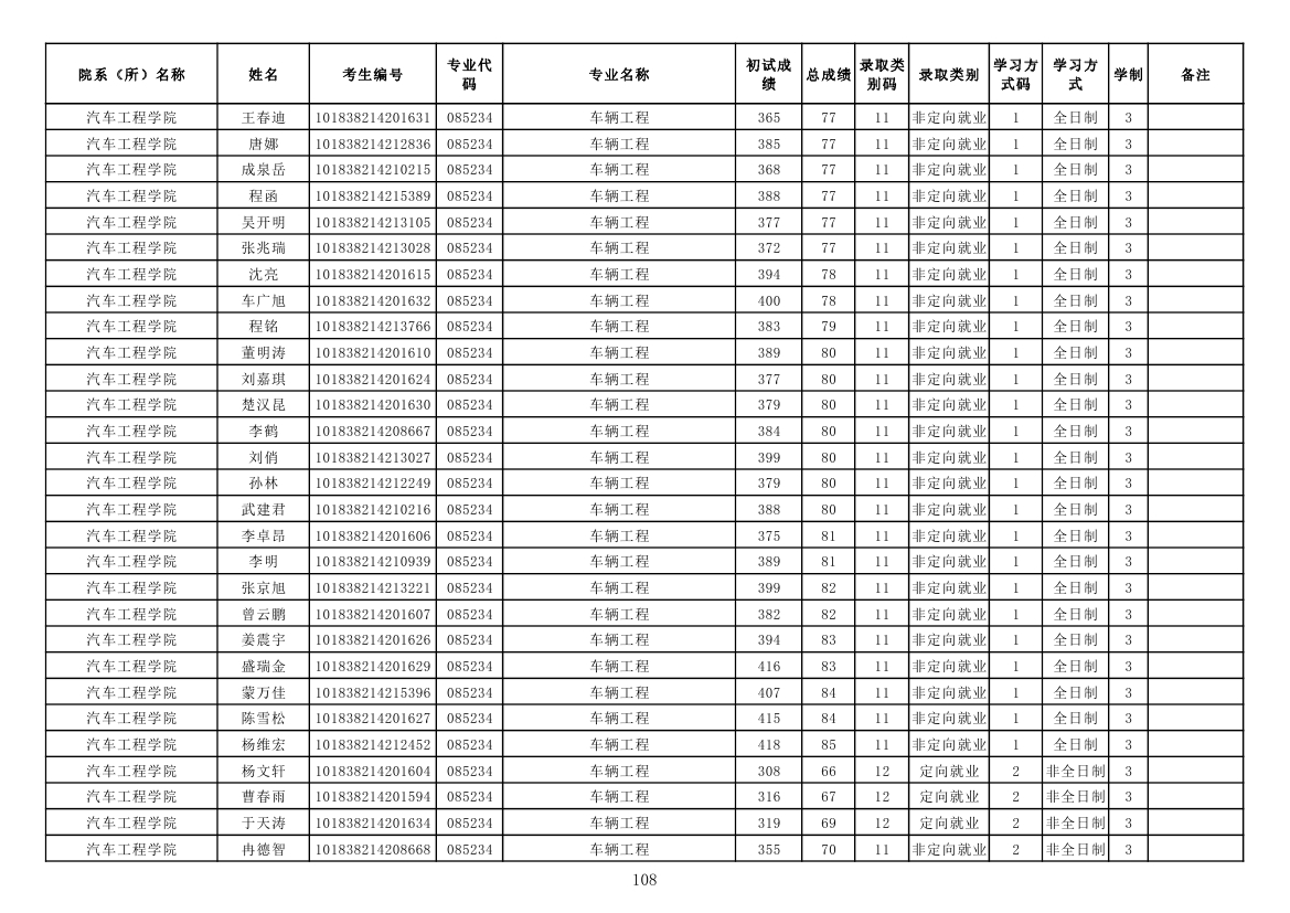
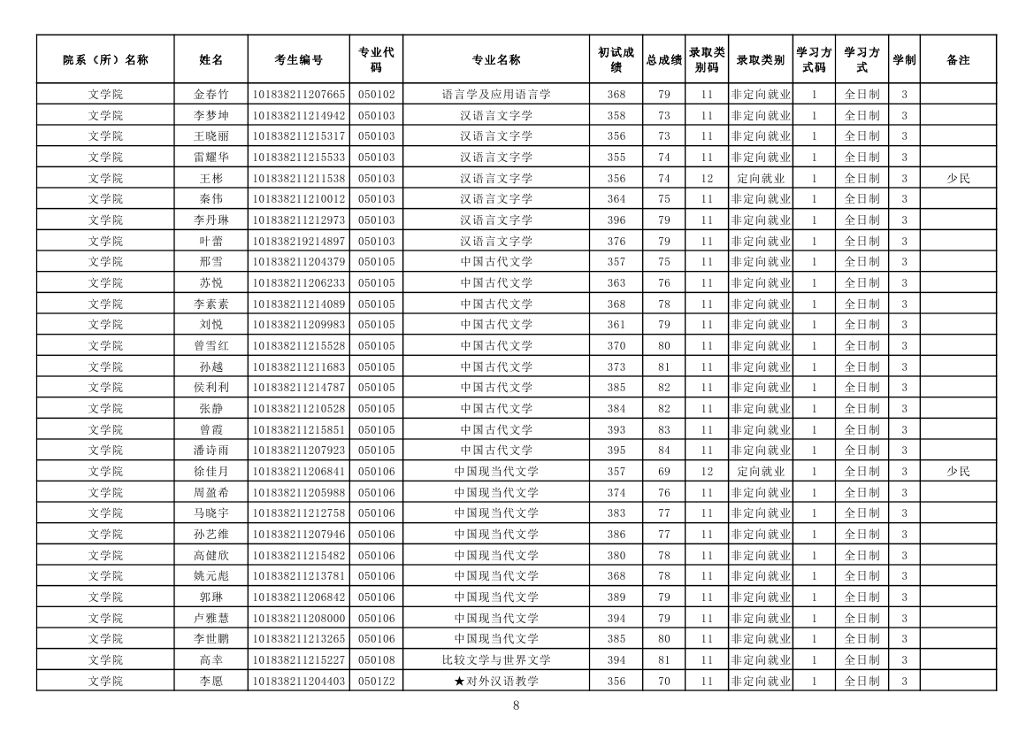
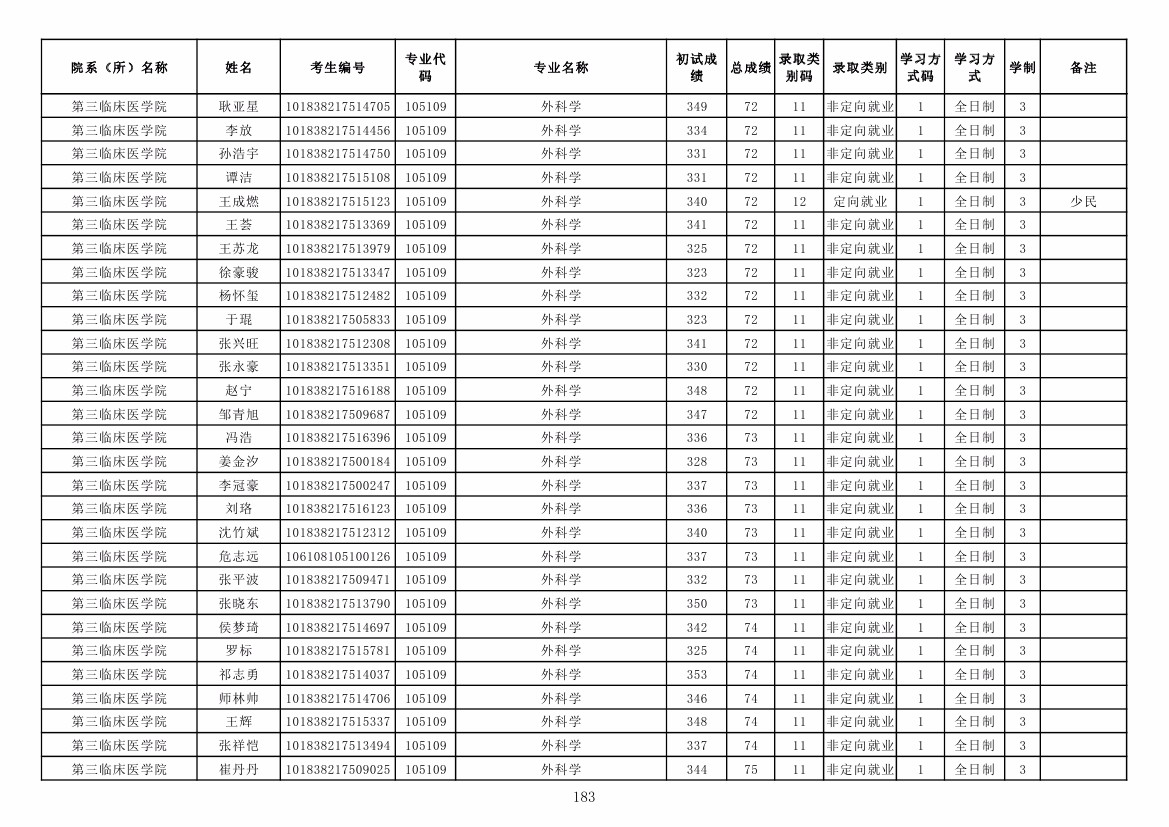
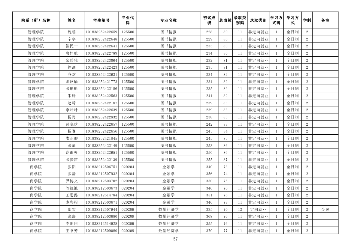
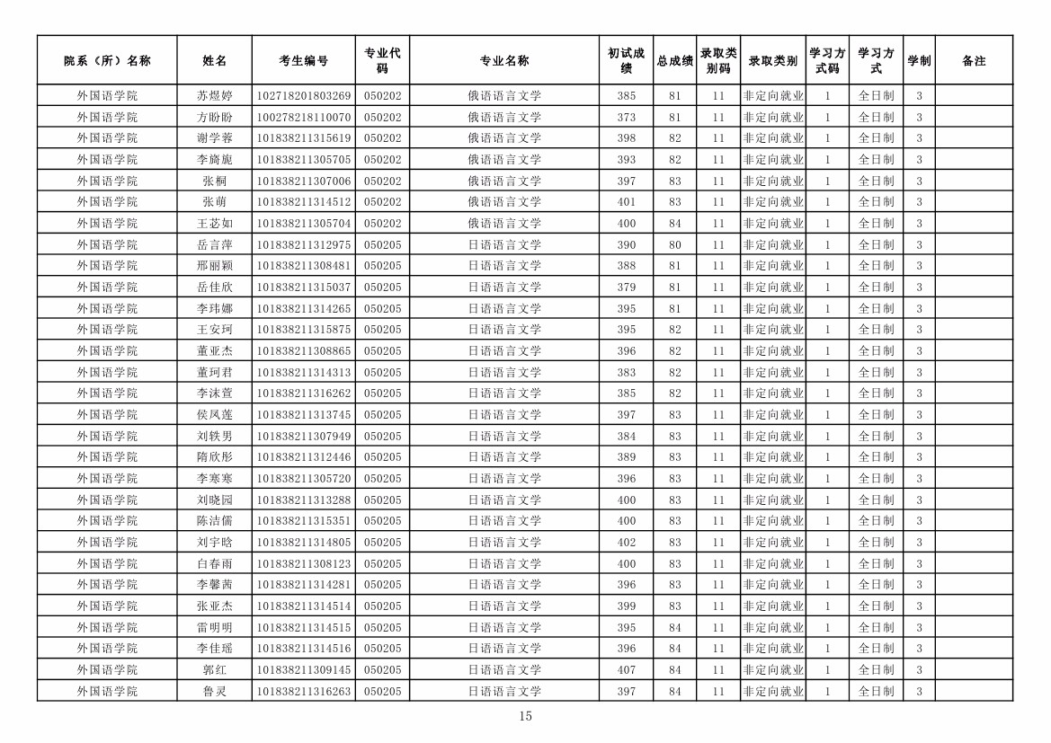
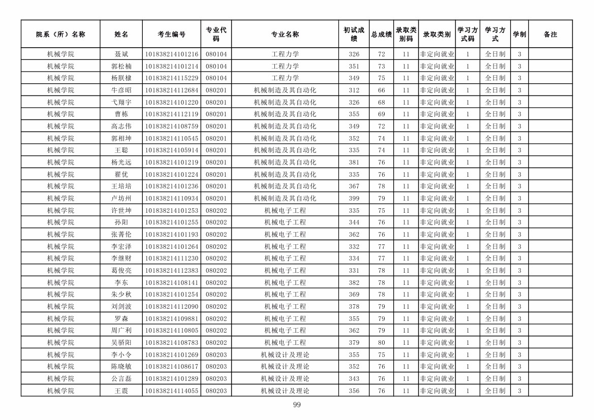
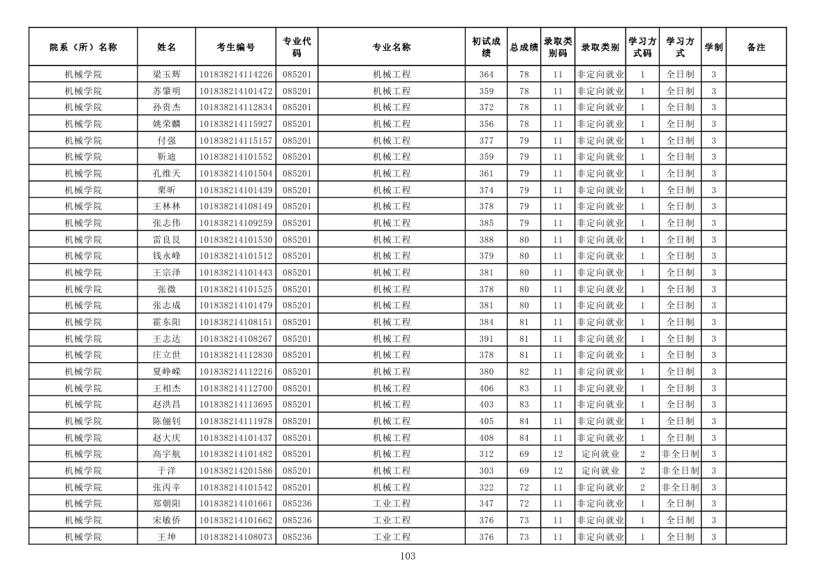
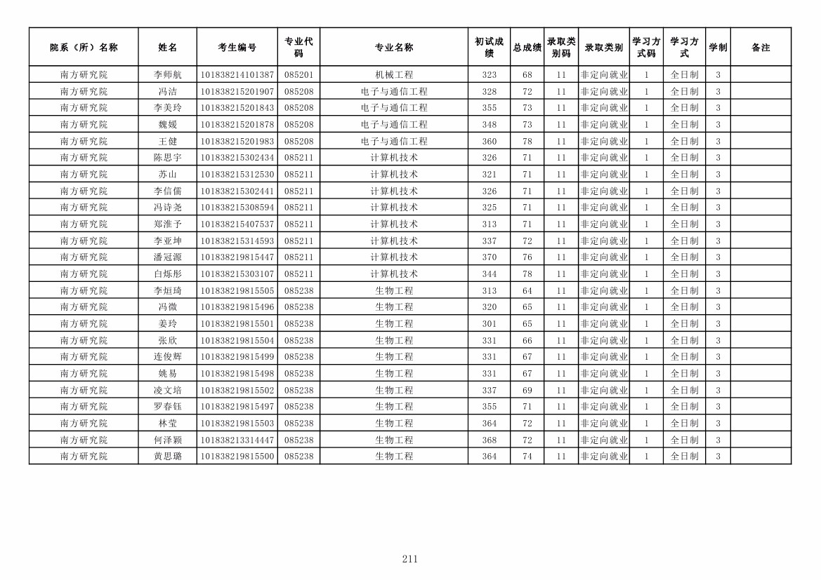
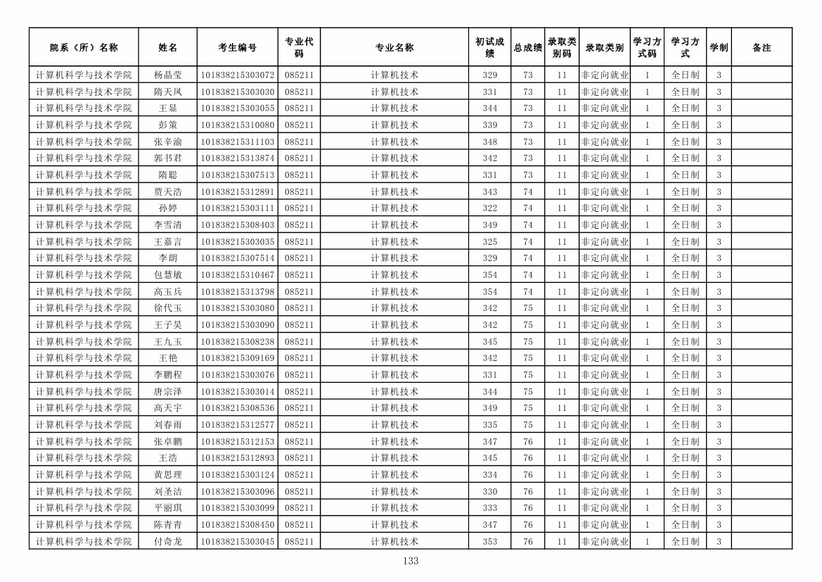
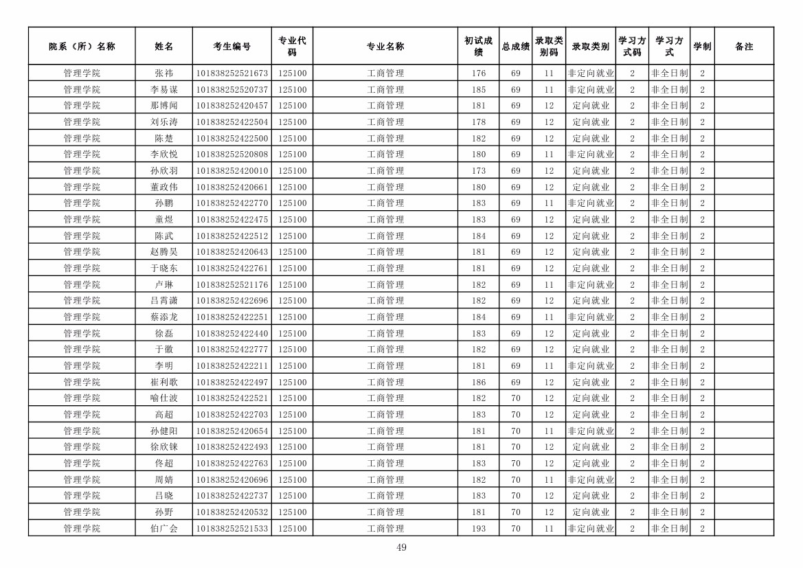
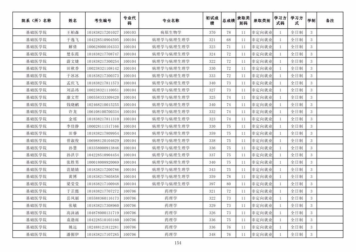
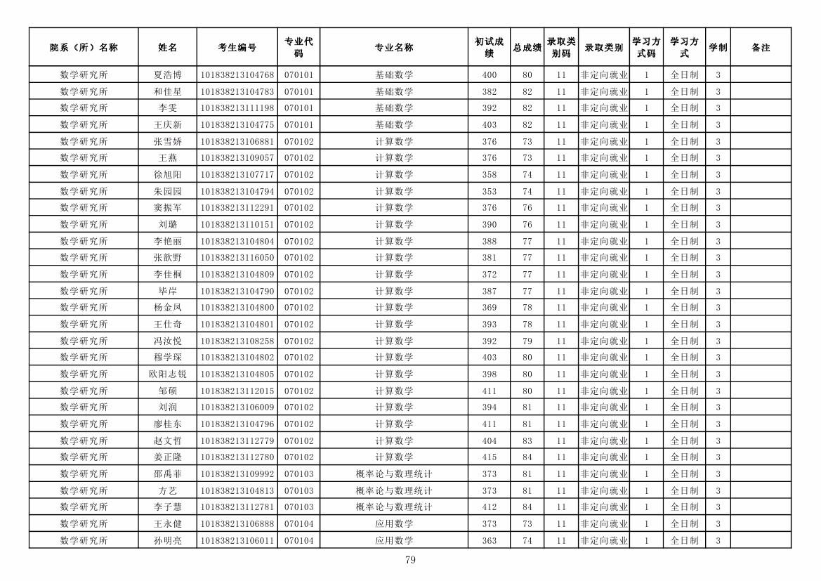
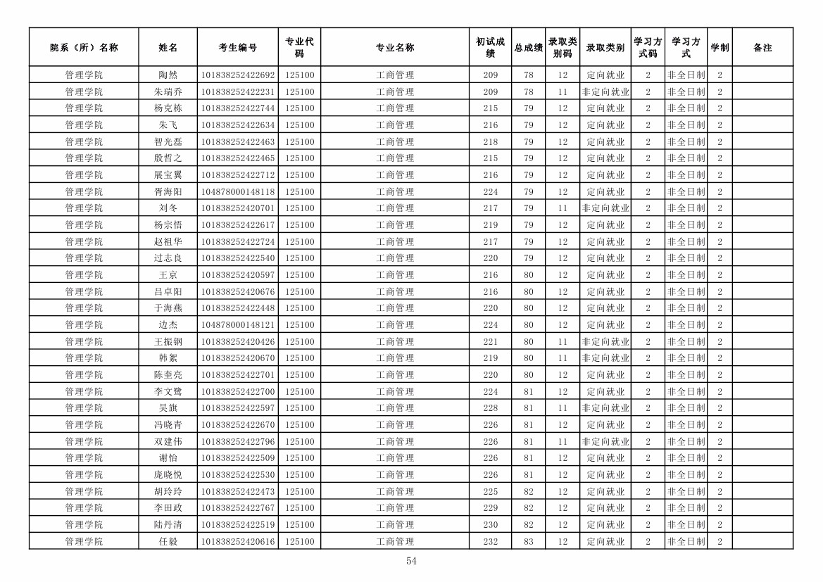
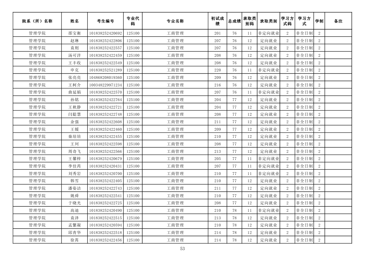
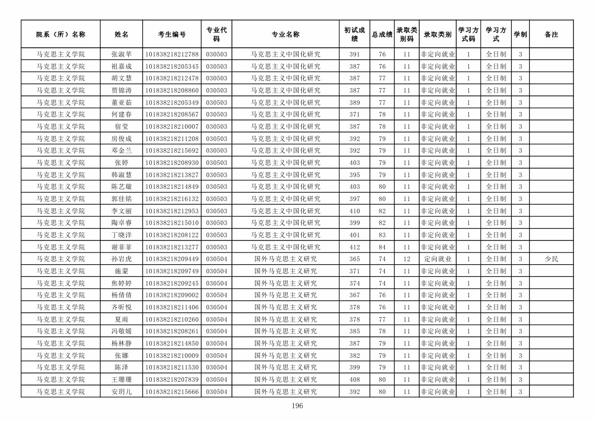
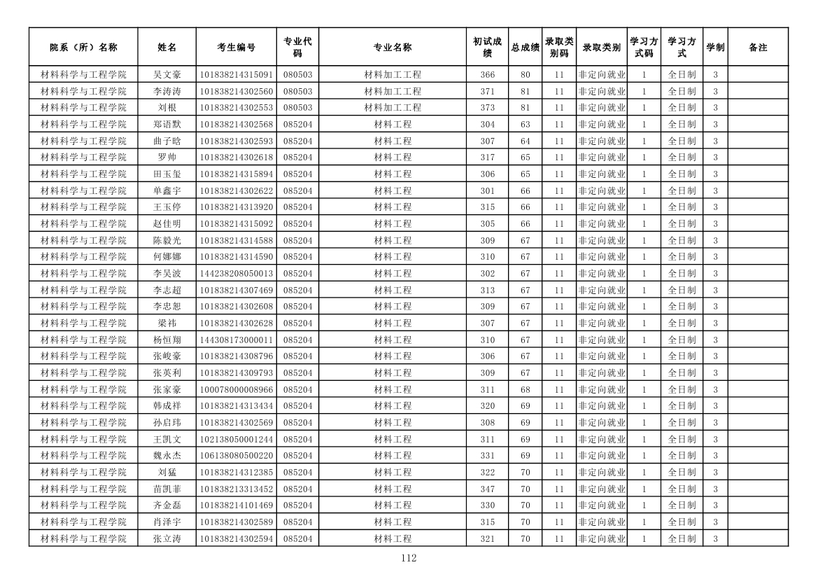
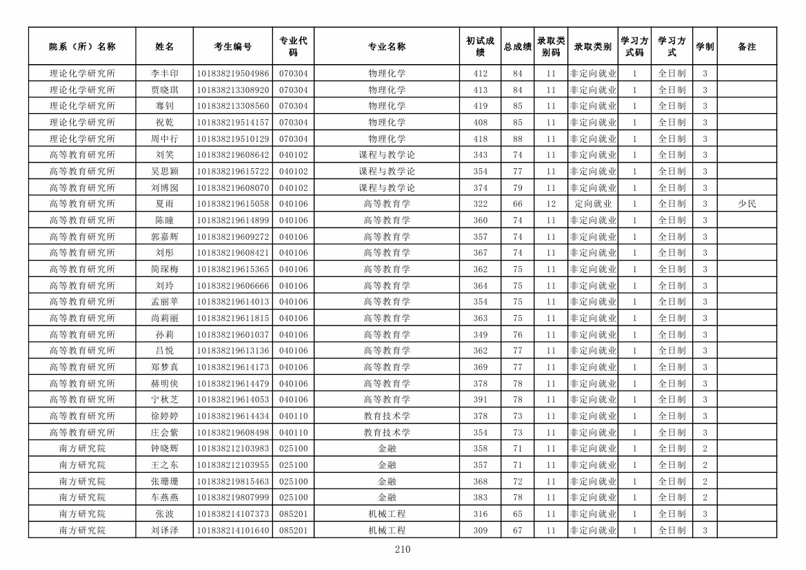
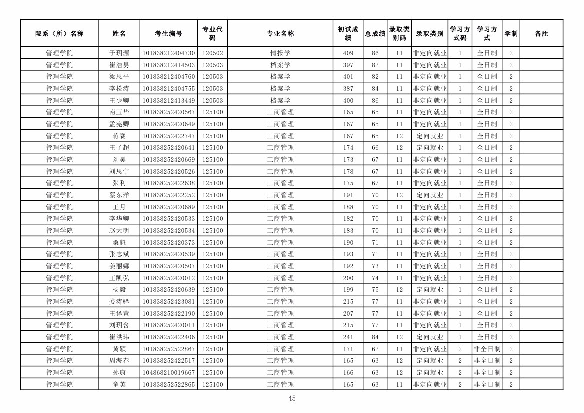
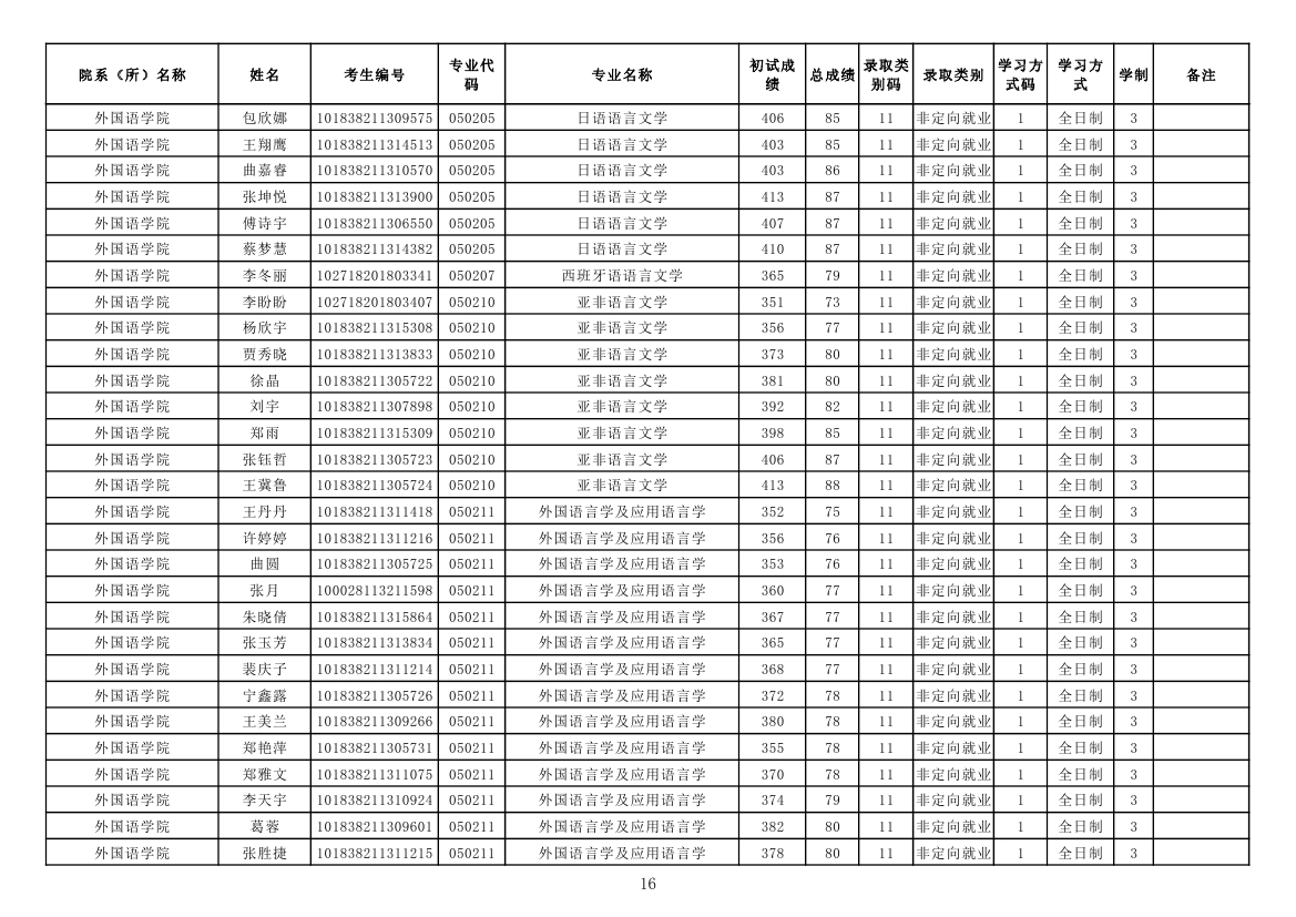
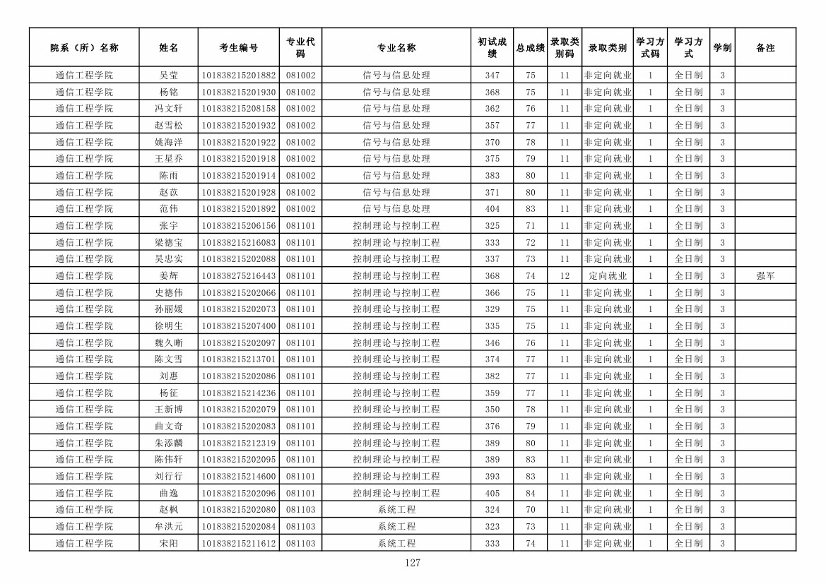
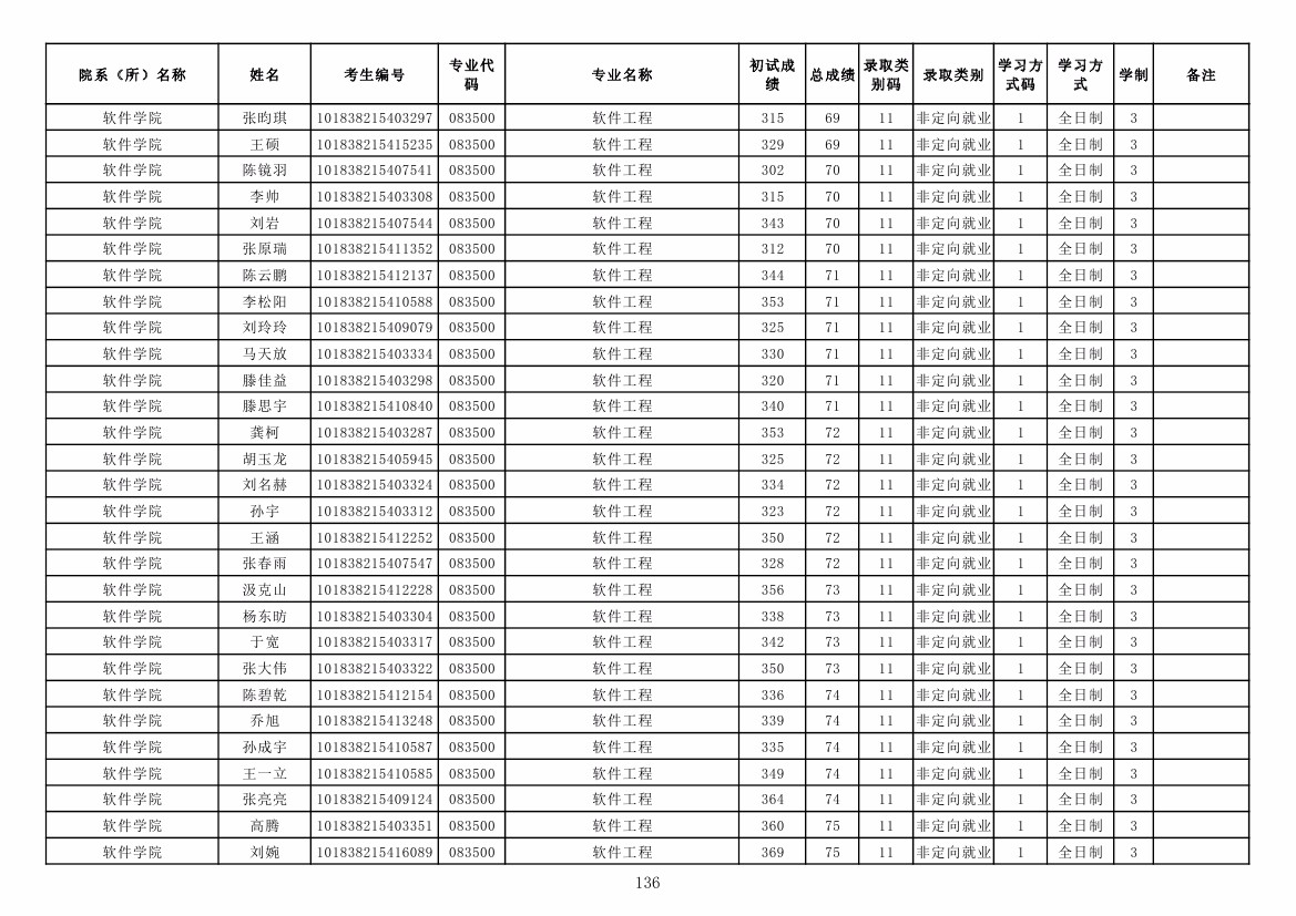
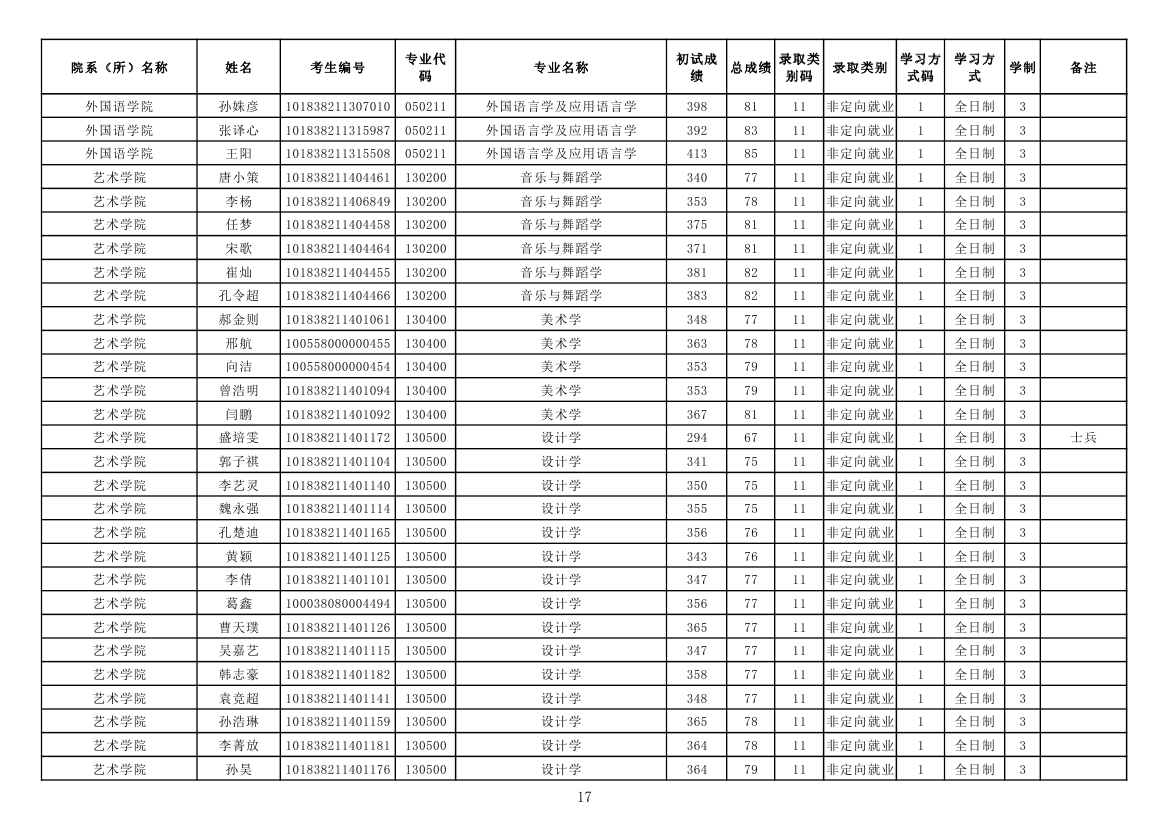
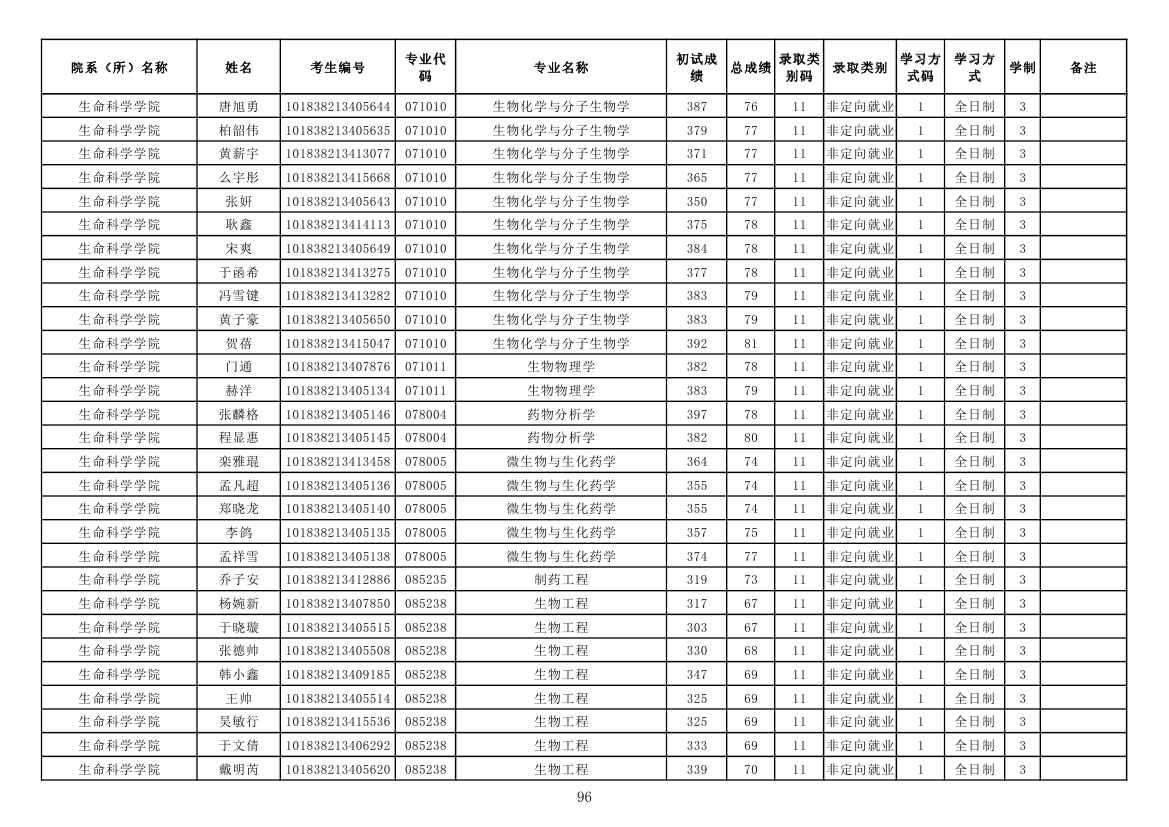
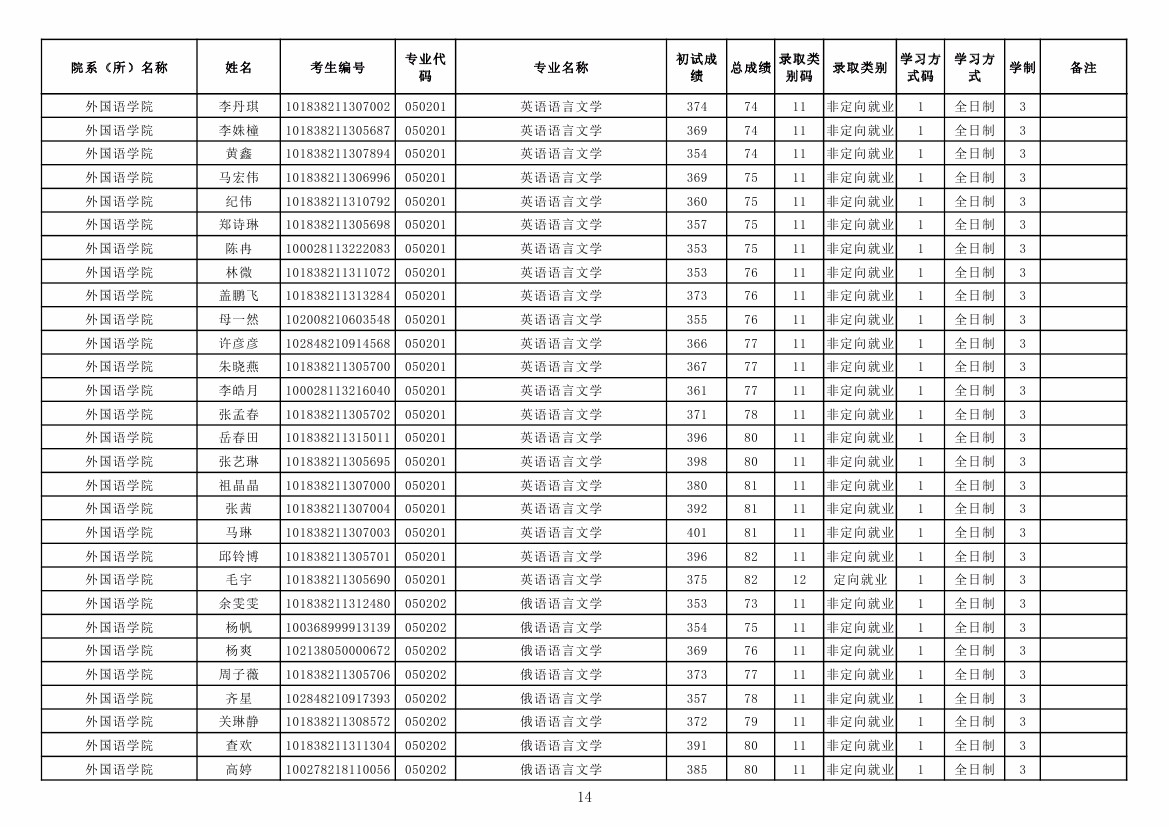
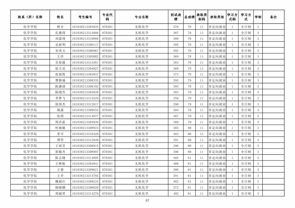
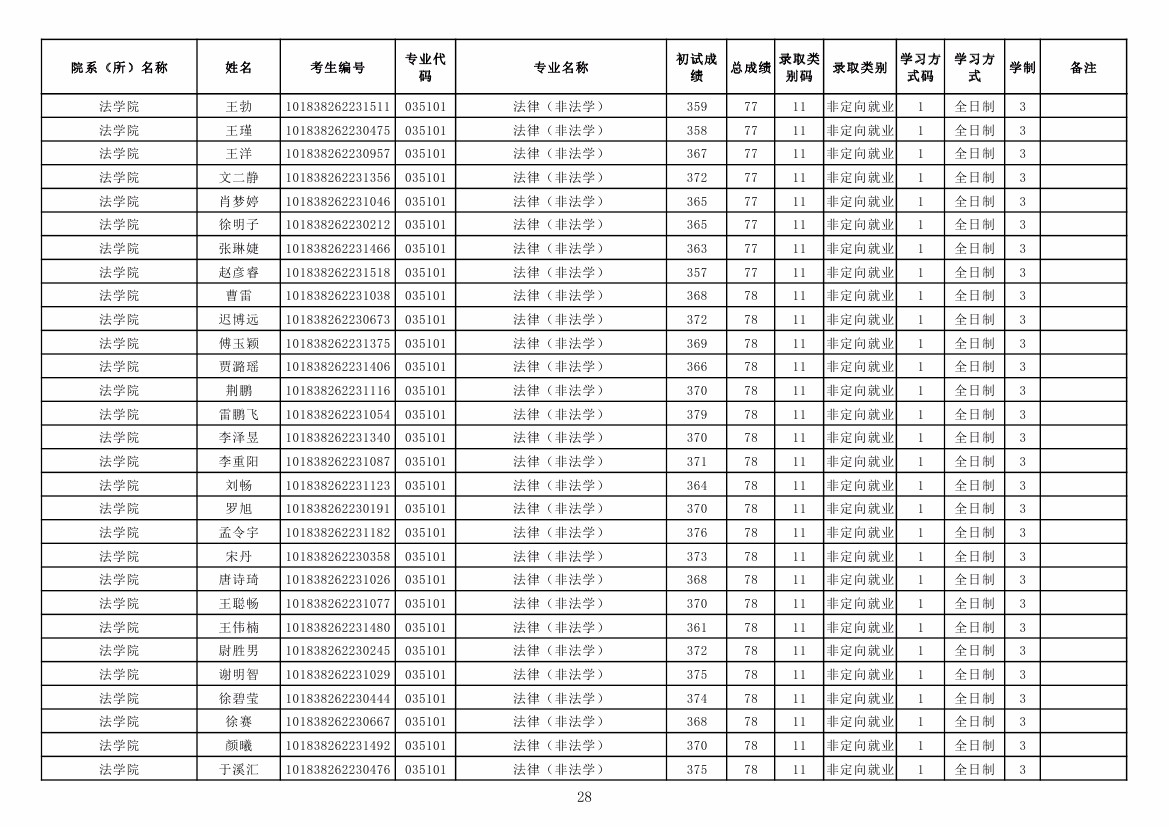
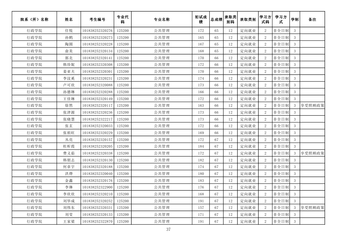
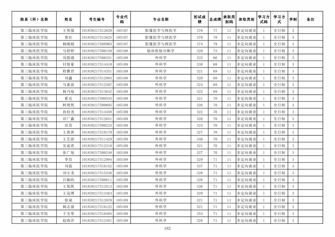
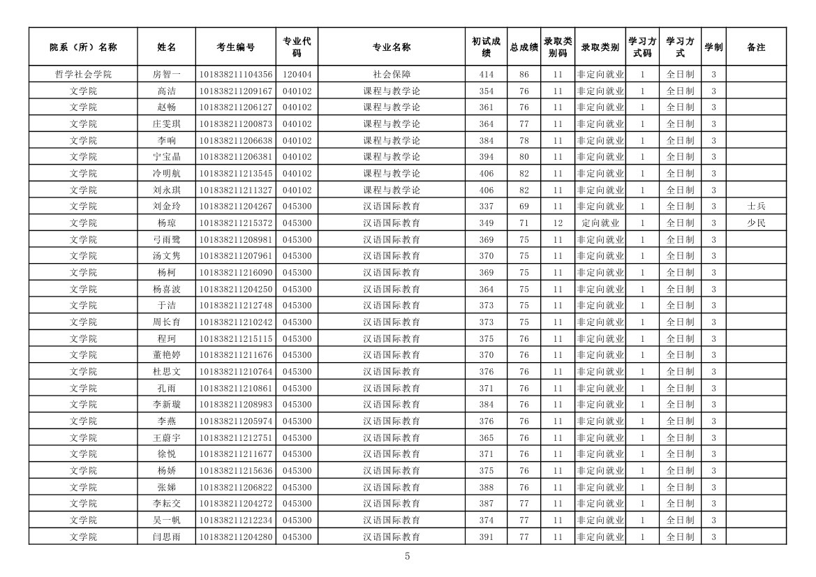
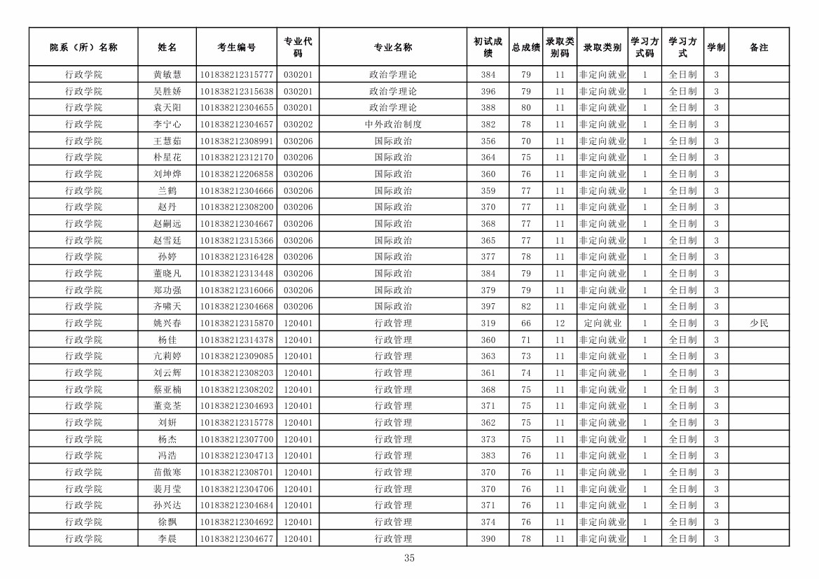
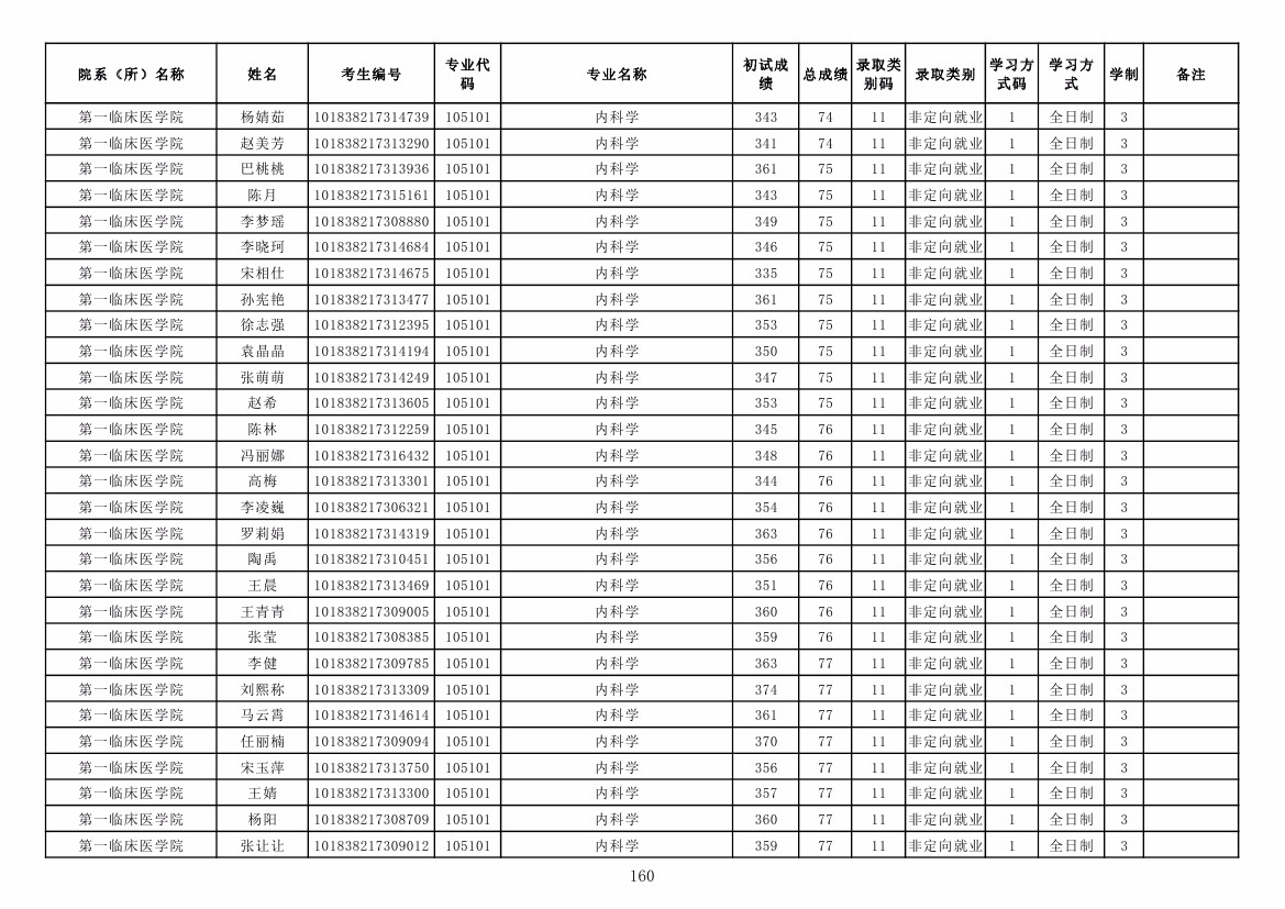
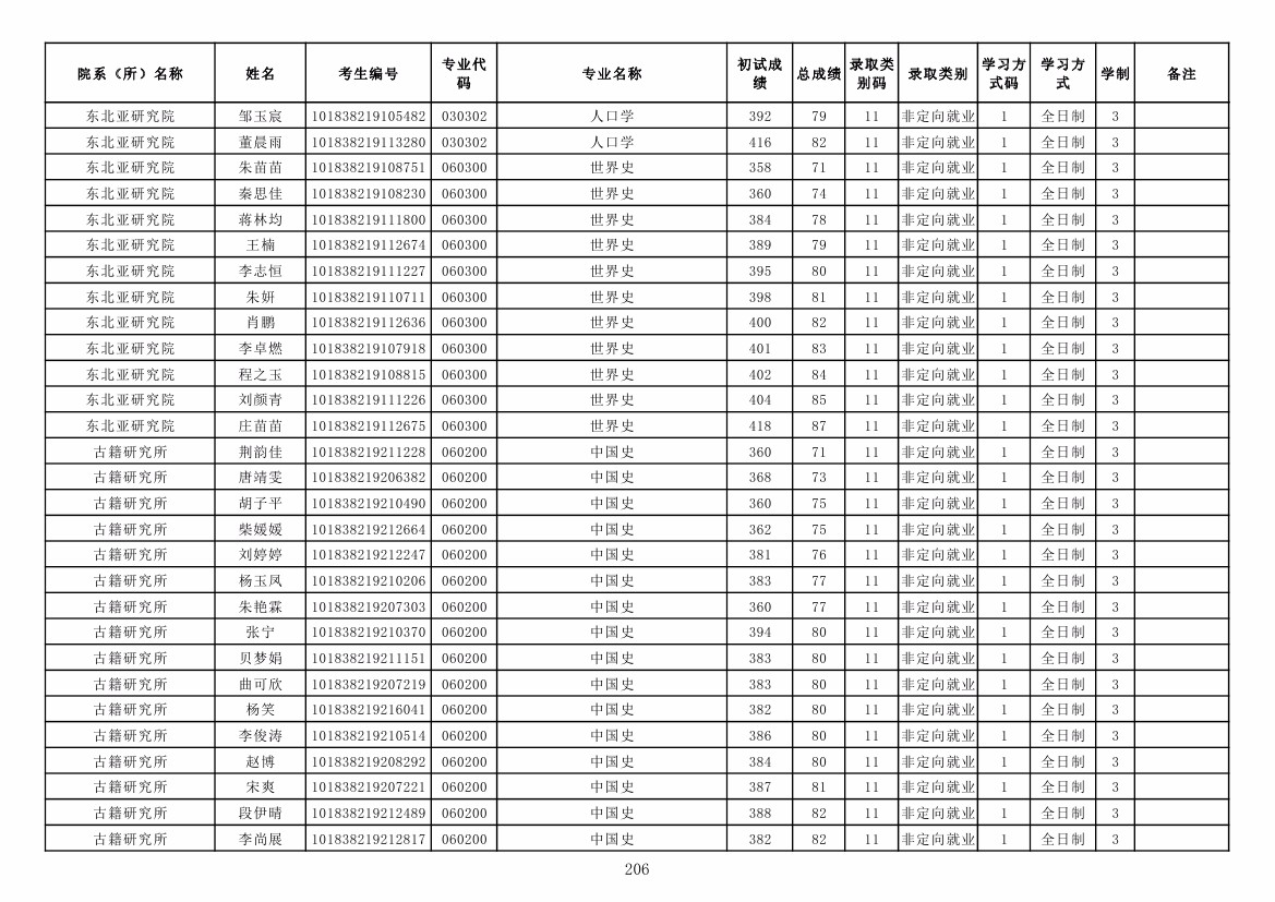
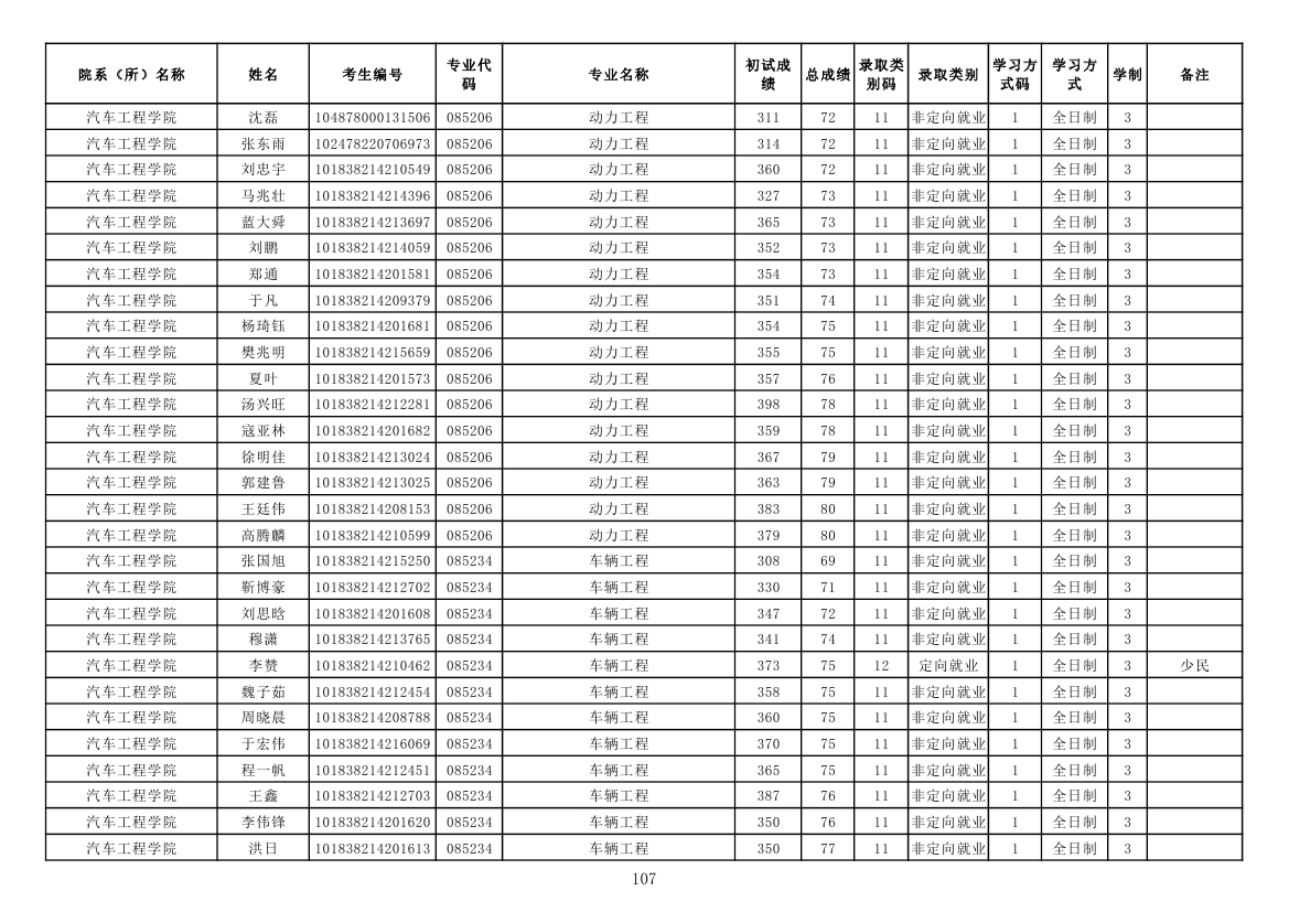
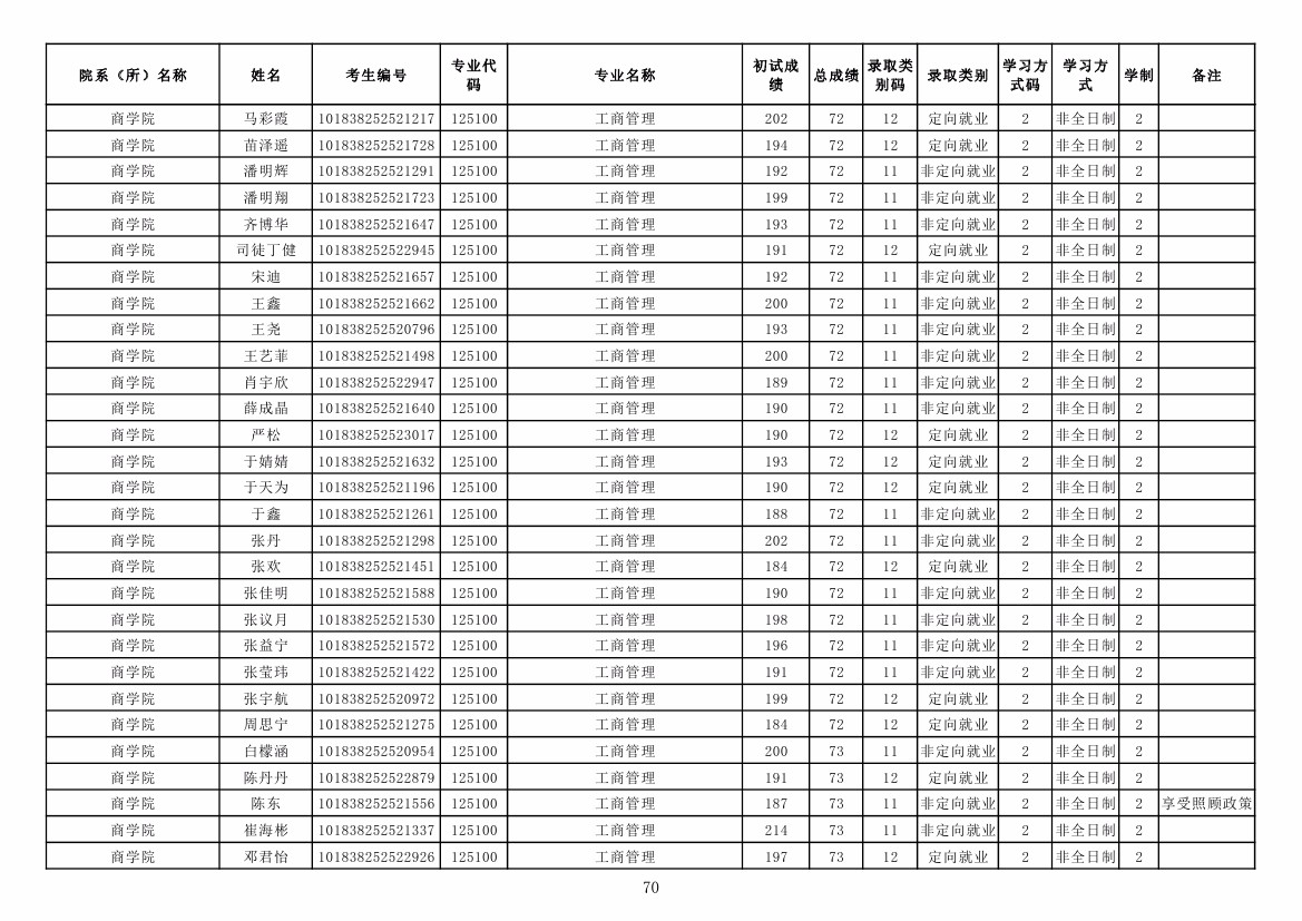
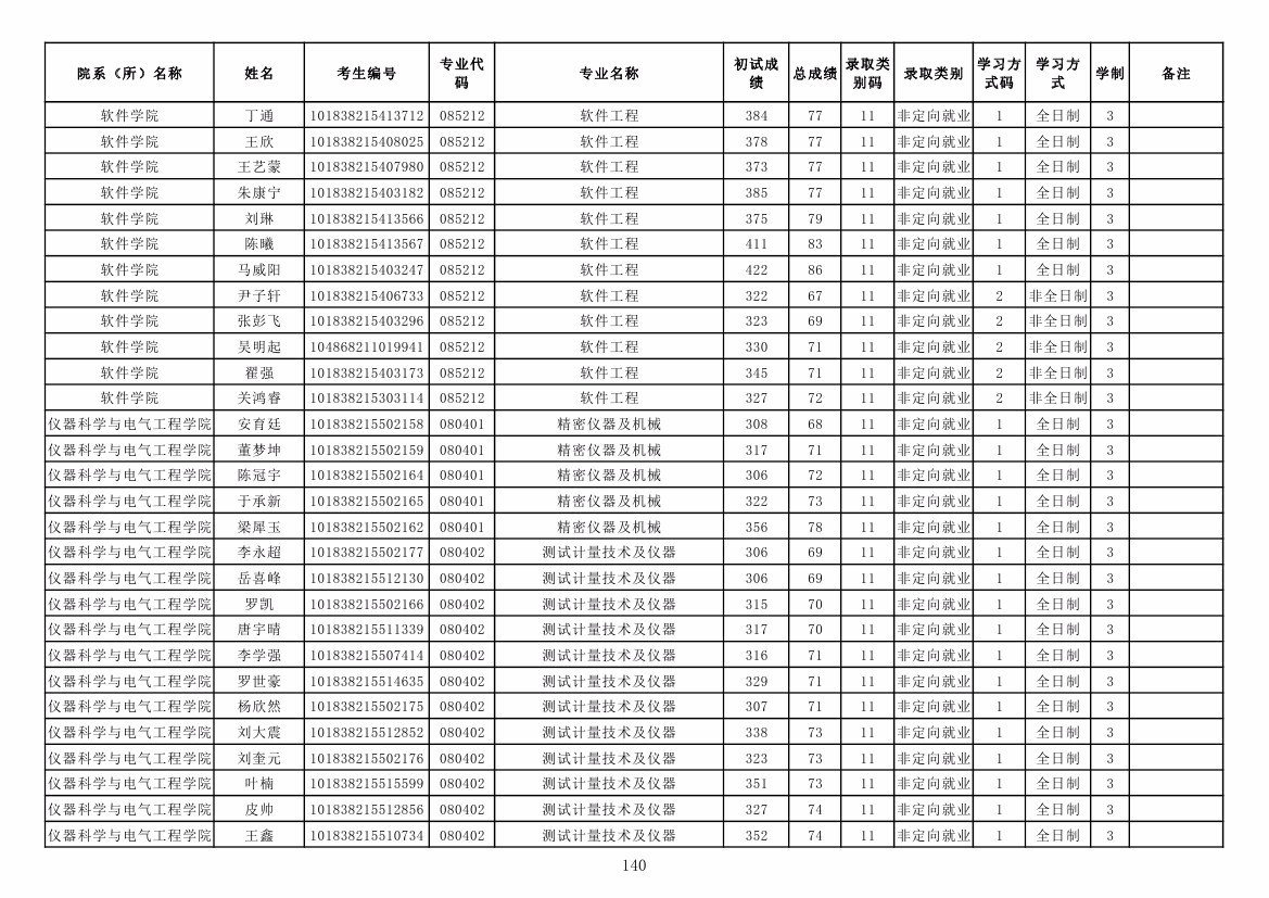
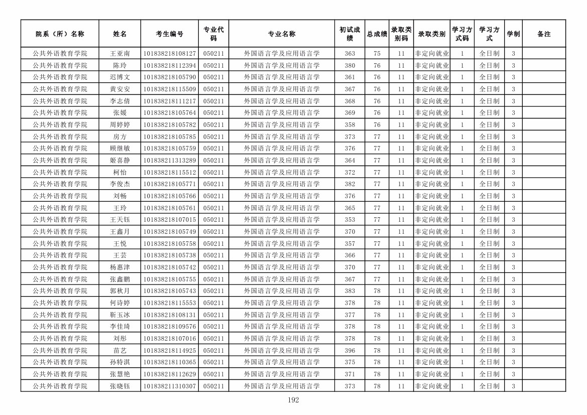
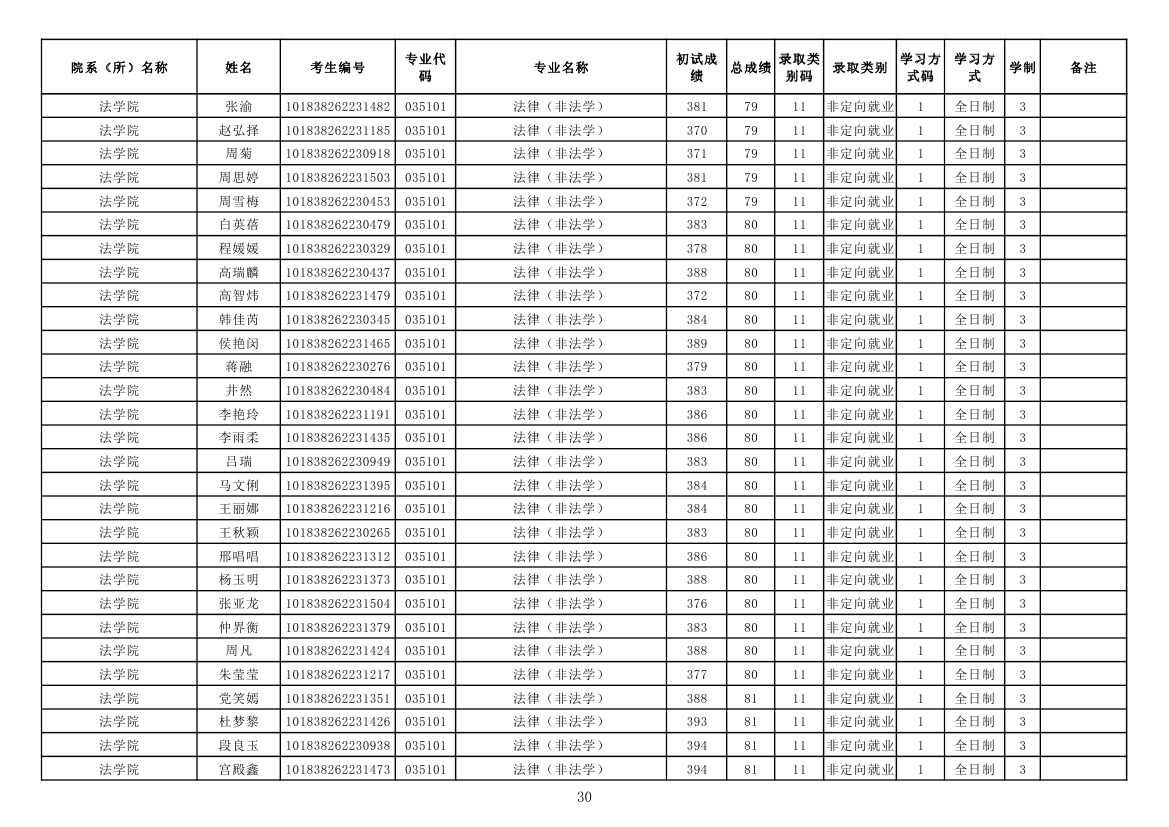
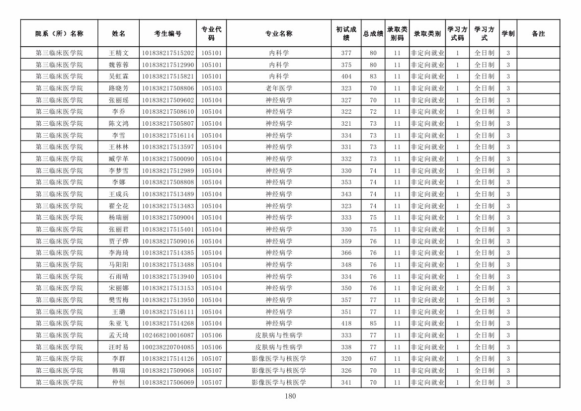
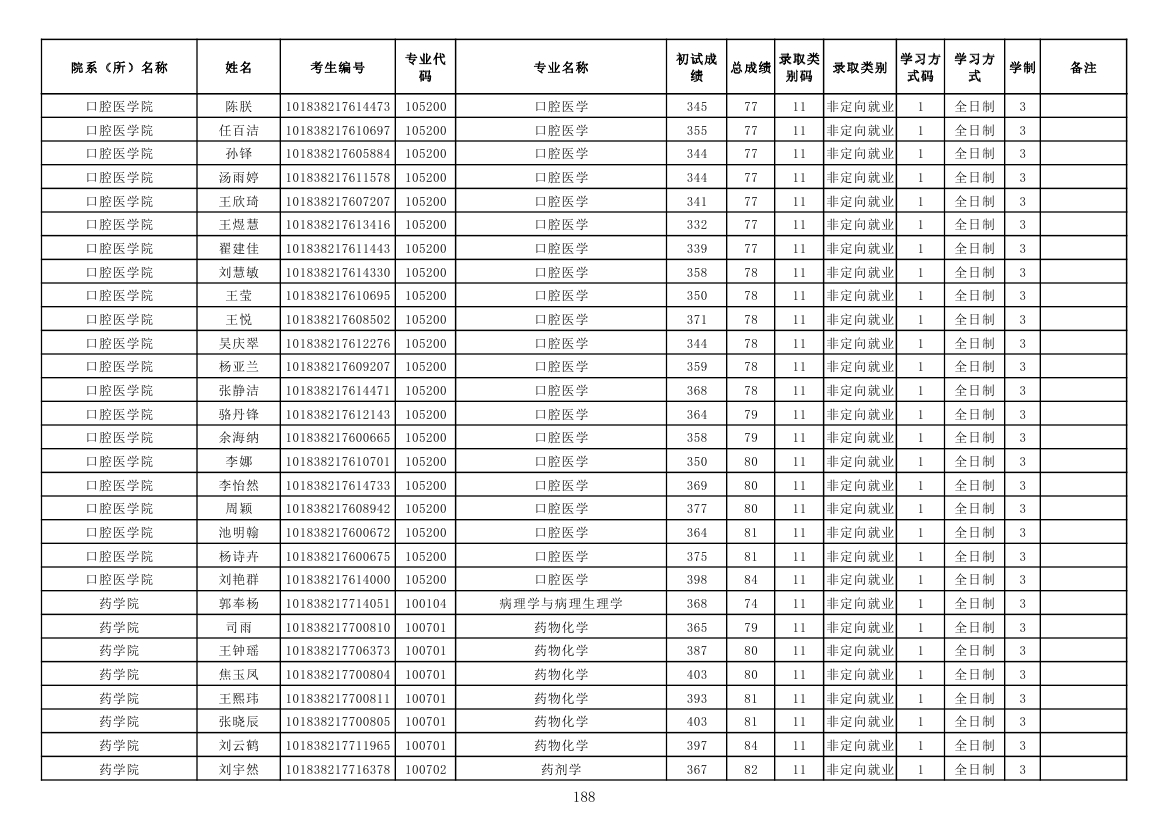
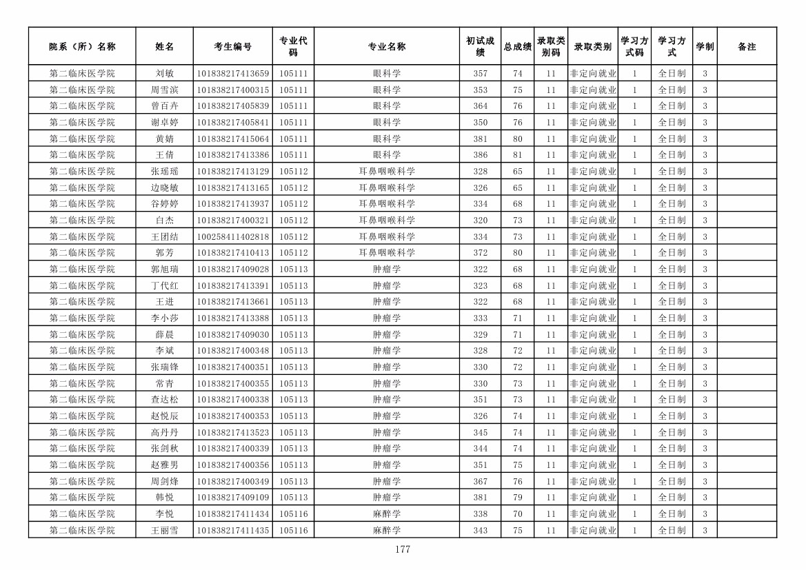
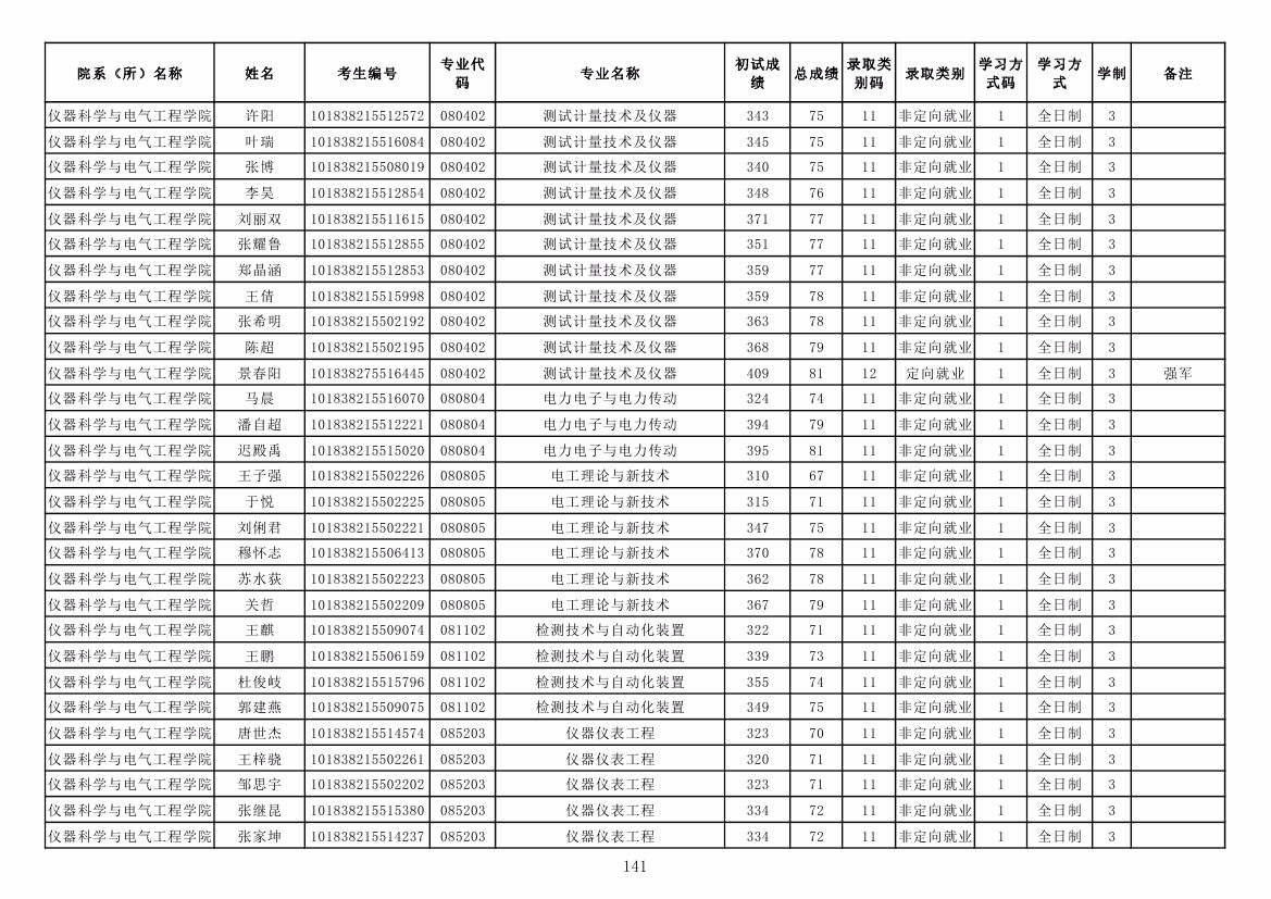
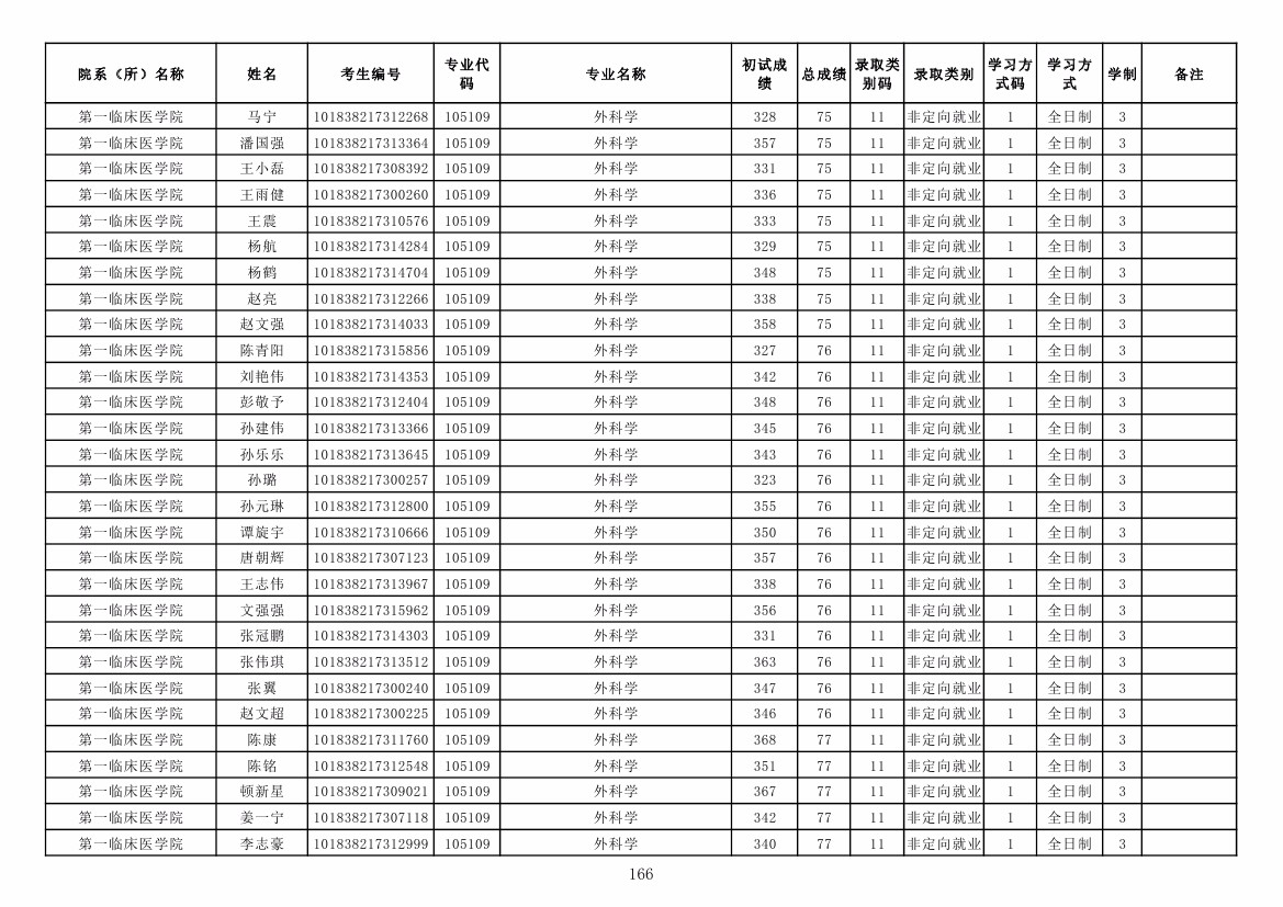
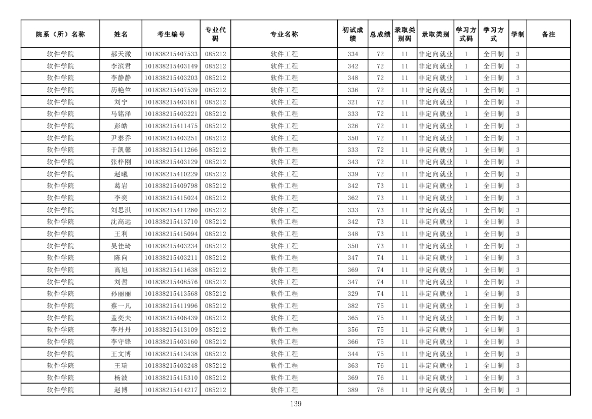
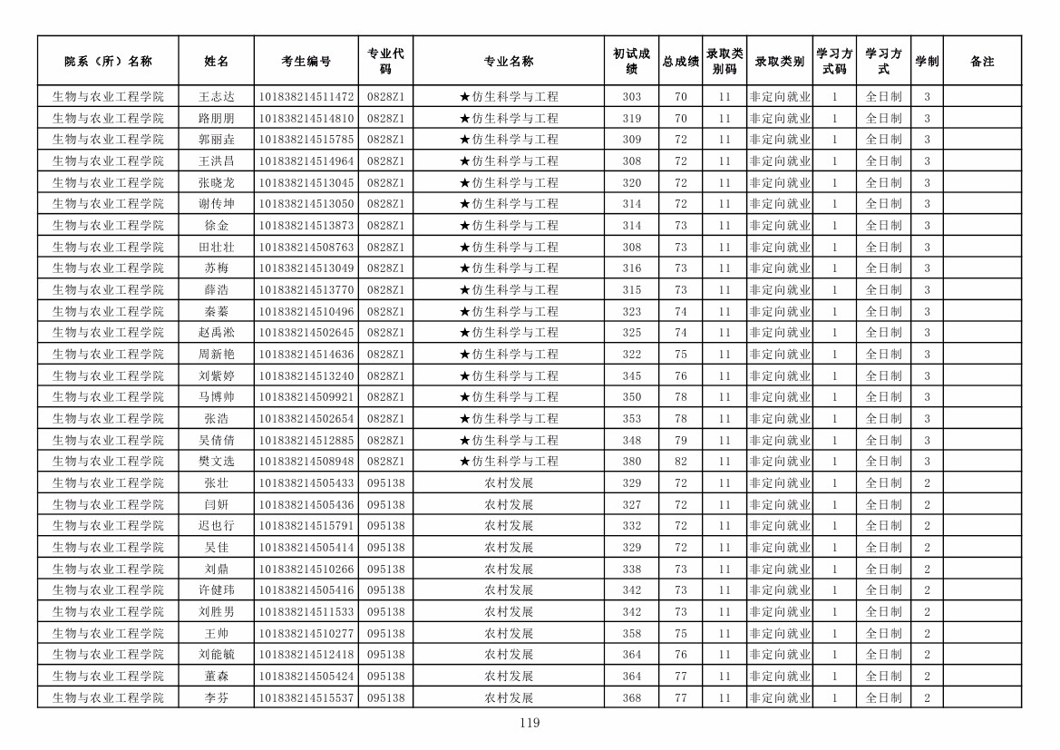
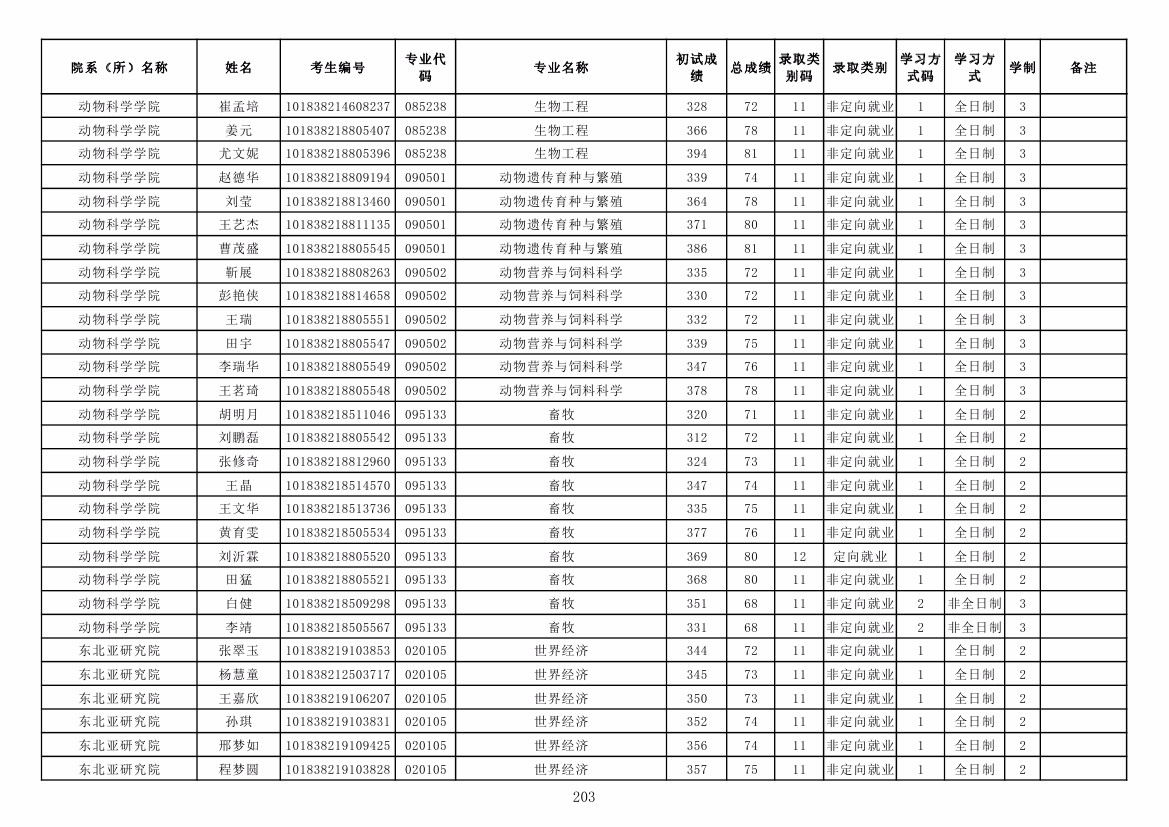
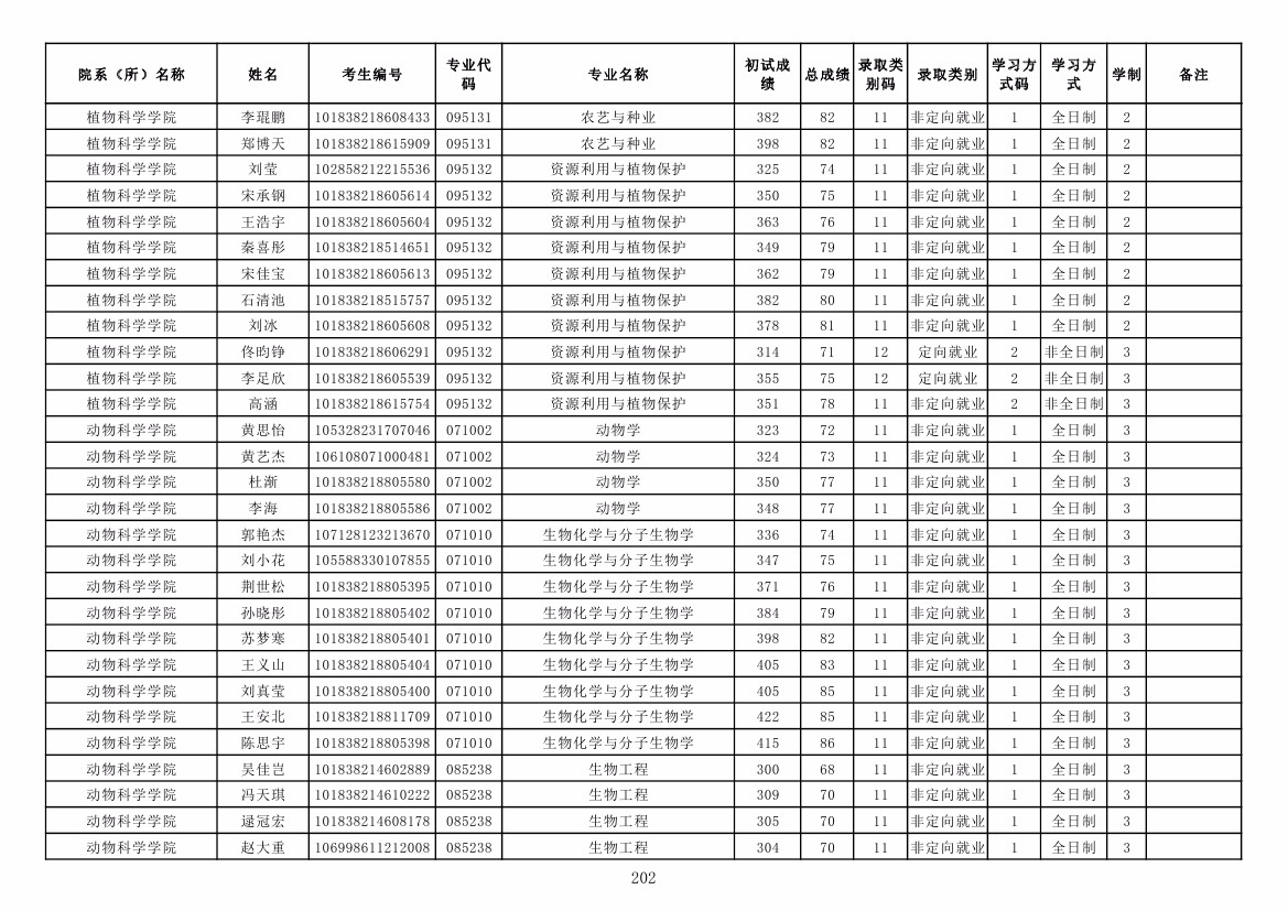
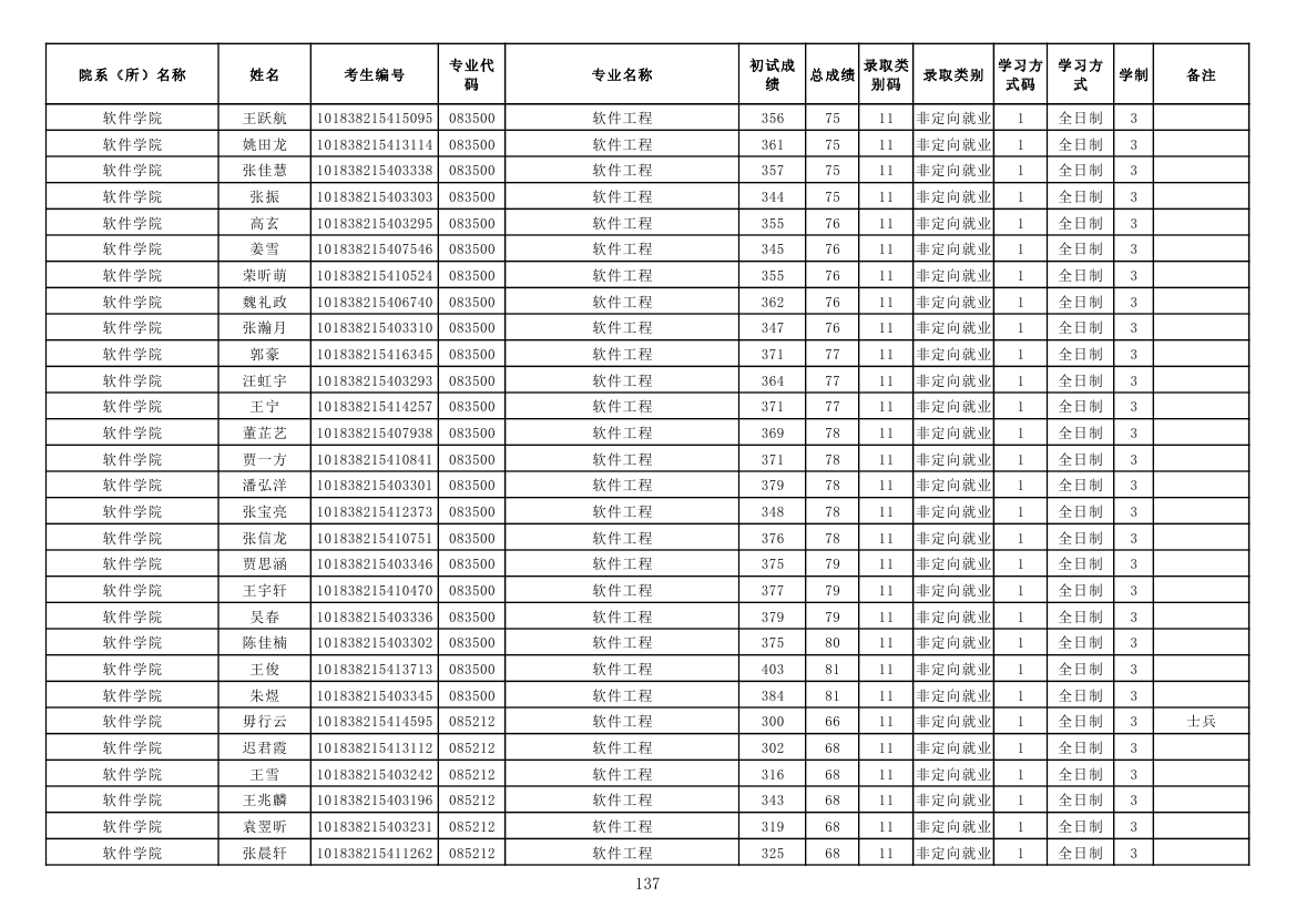
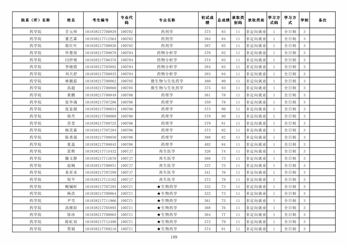
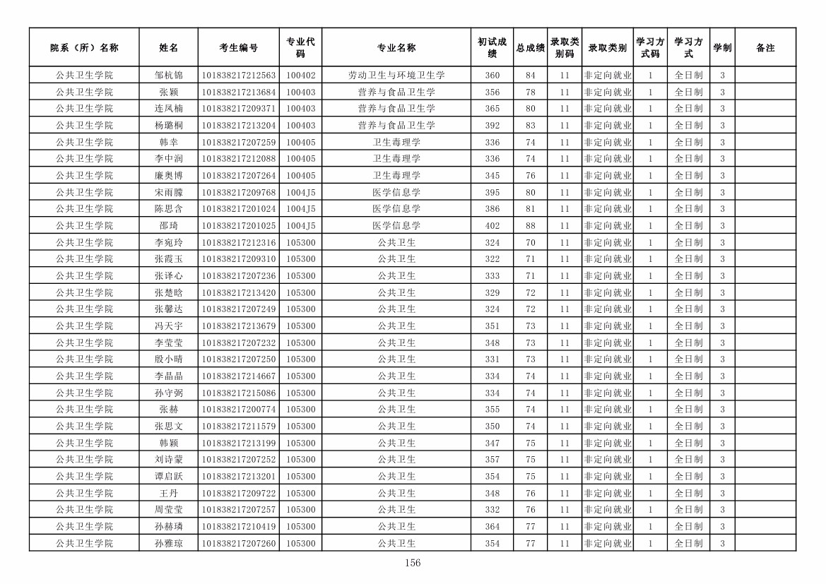
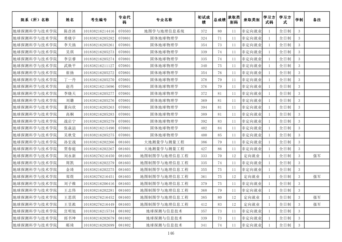
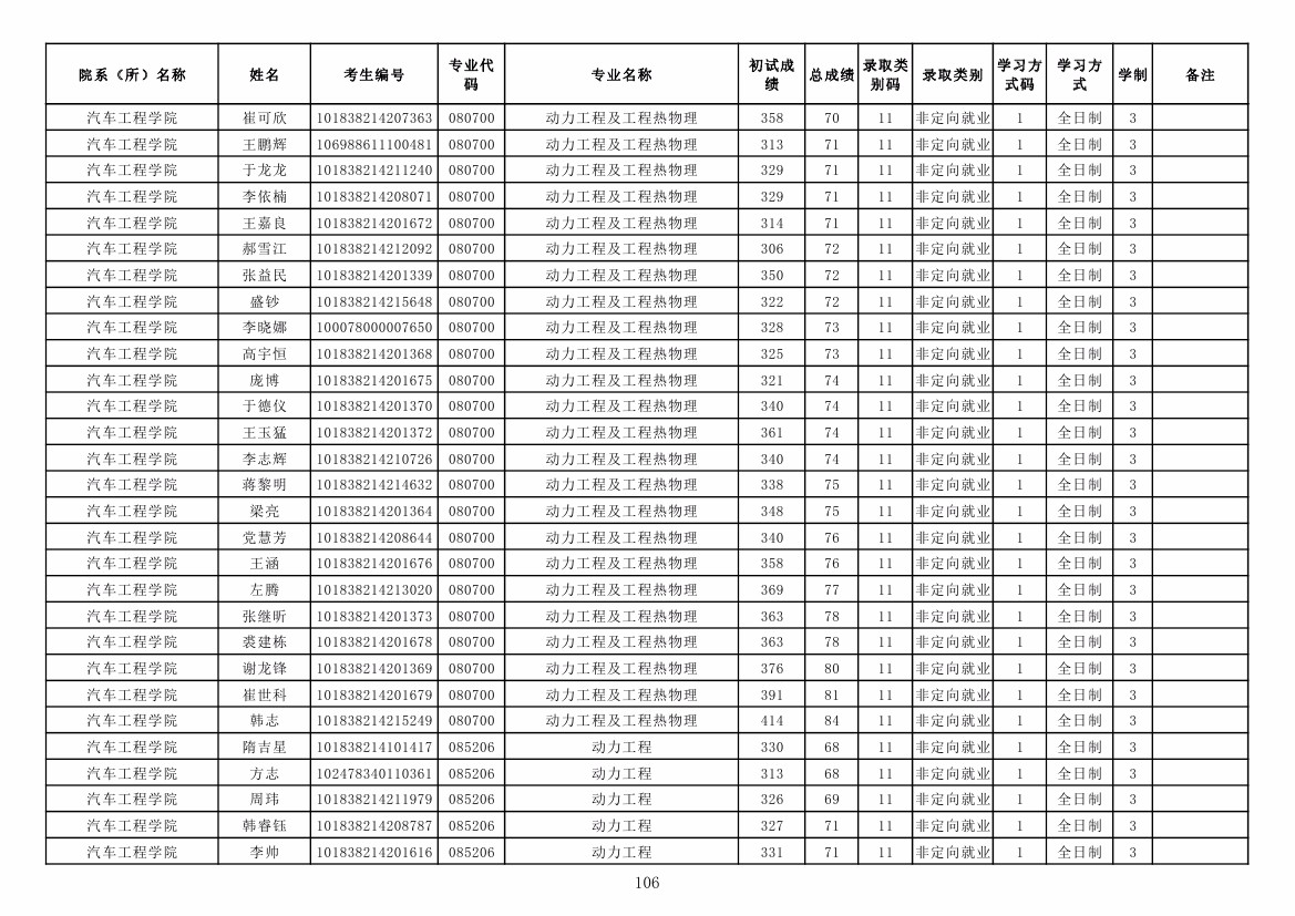
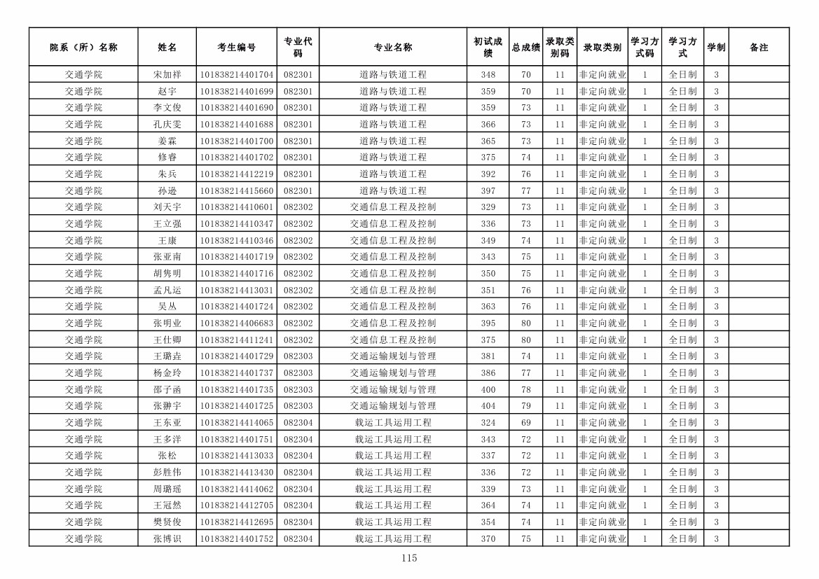
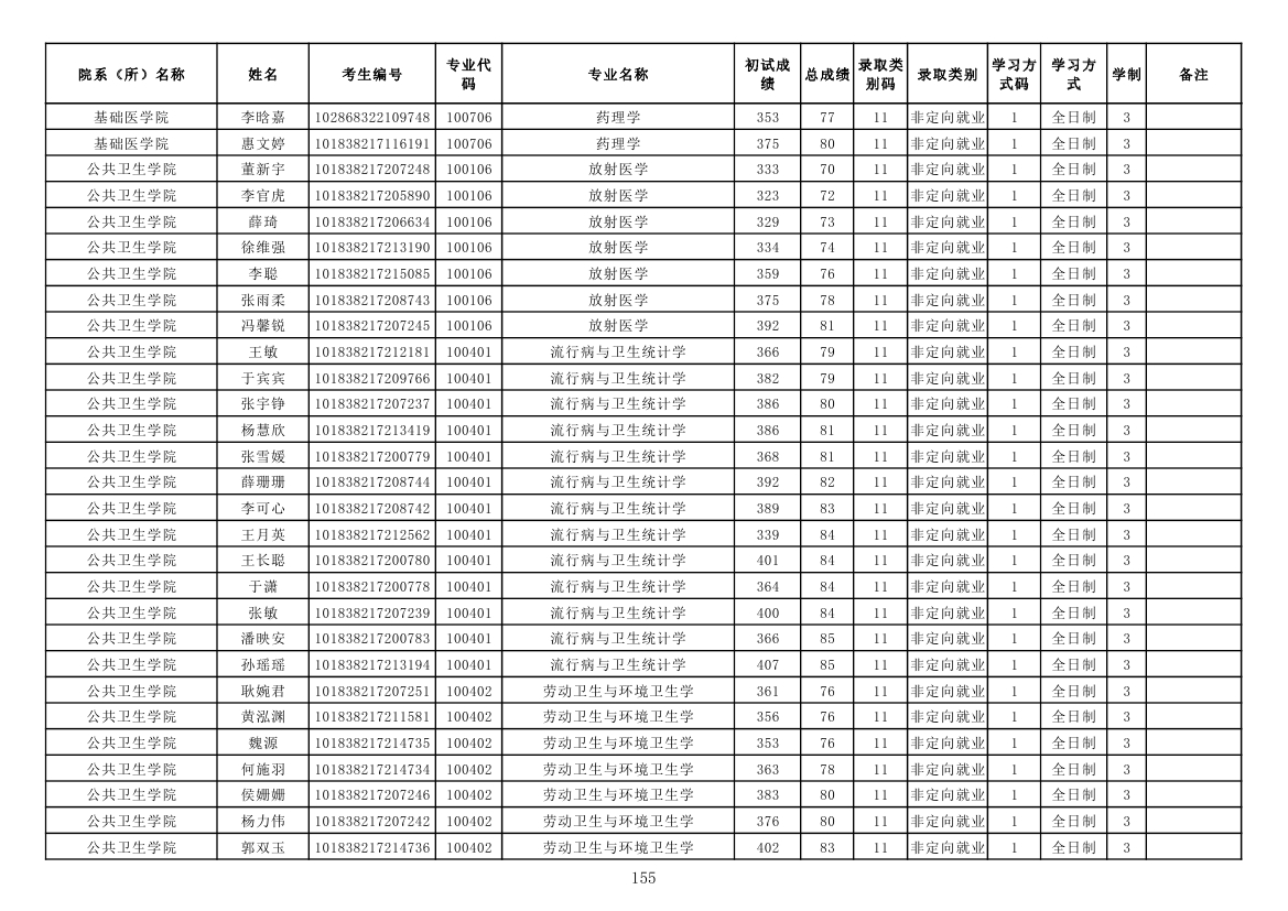
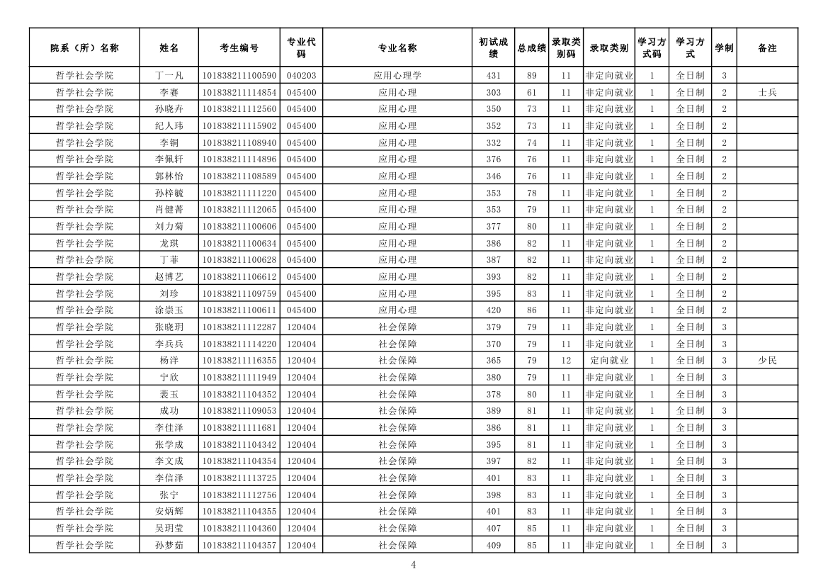
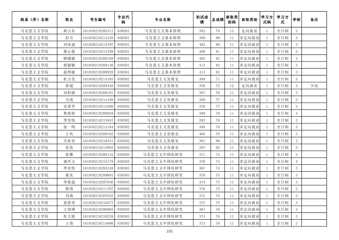
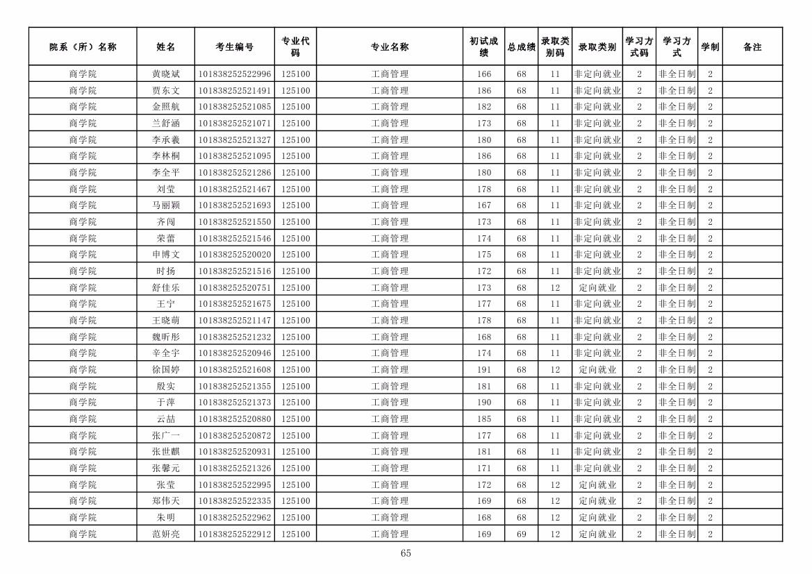
       附件: 2018年硕士研究生拟录取名单

                                                

吉林大学招生办公室

2018年5年15日





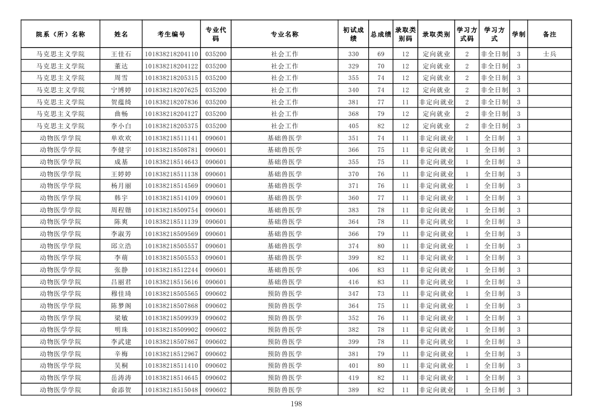
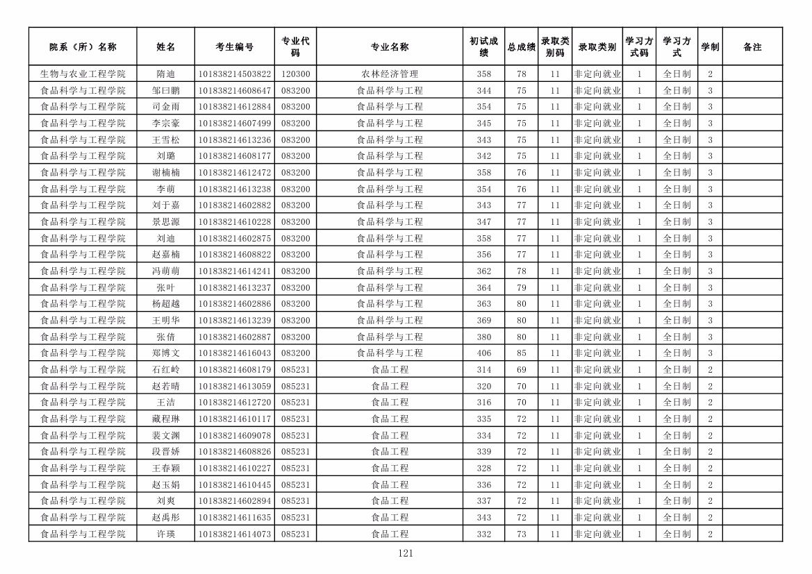
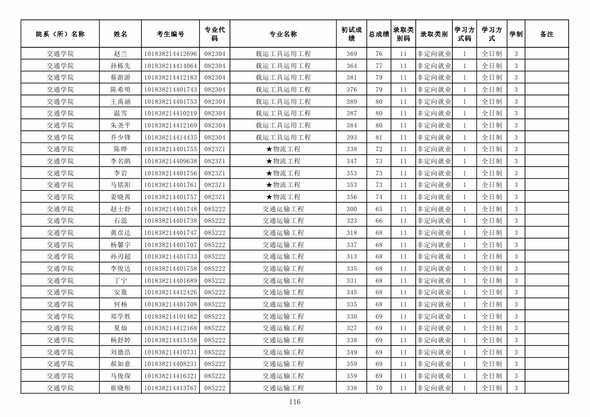
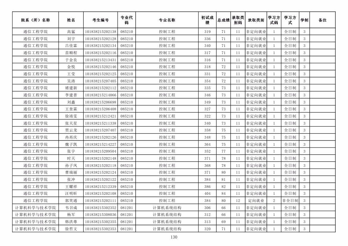
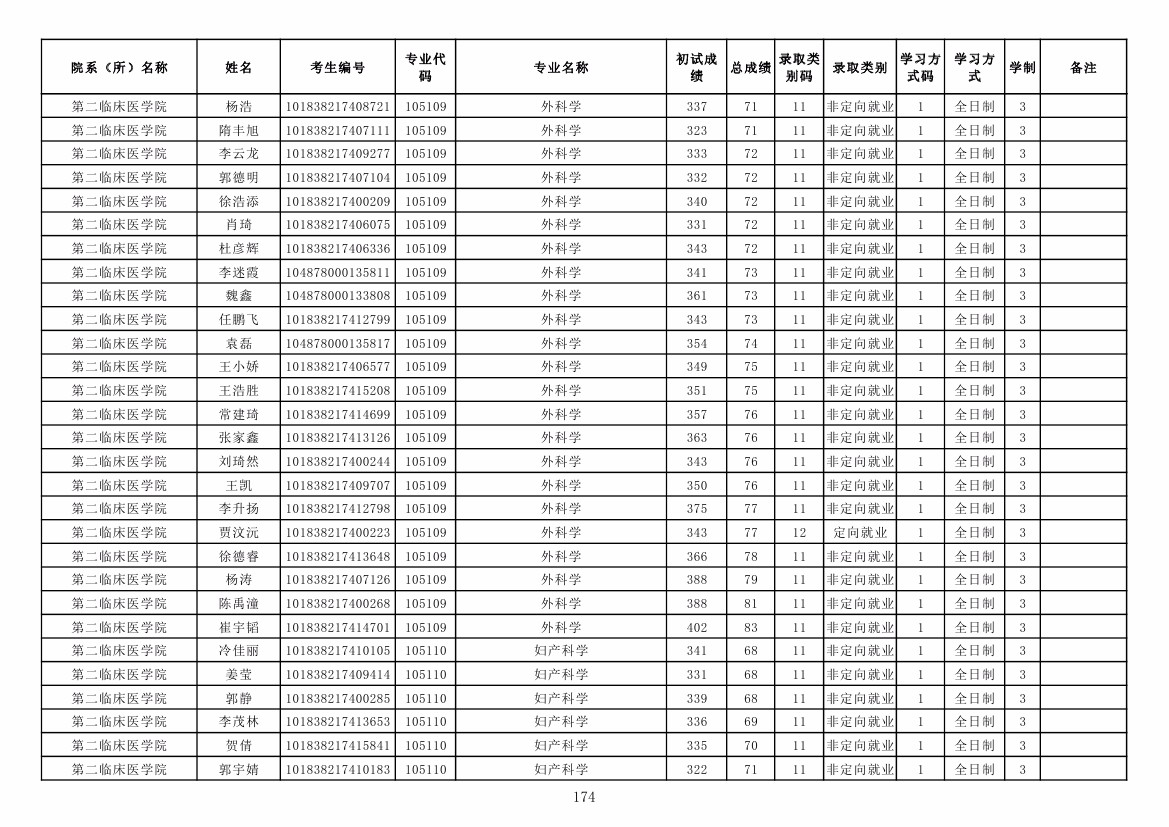
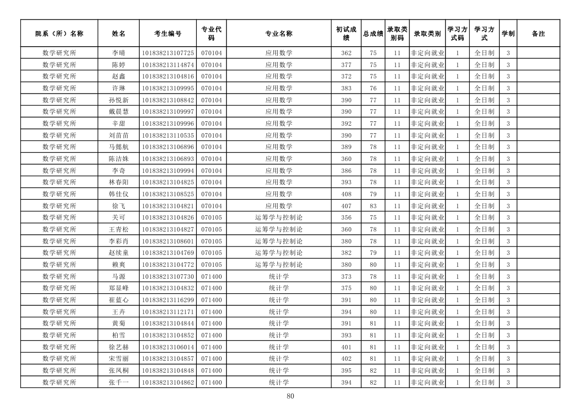
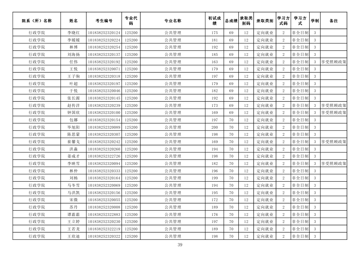
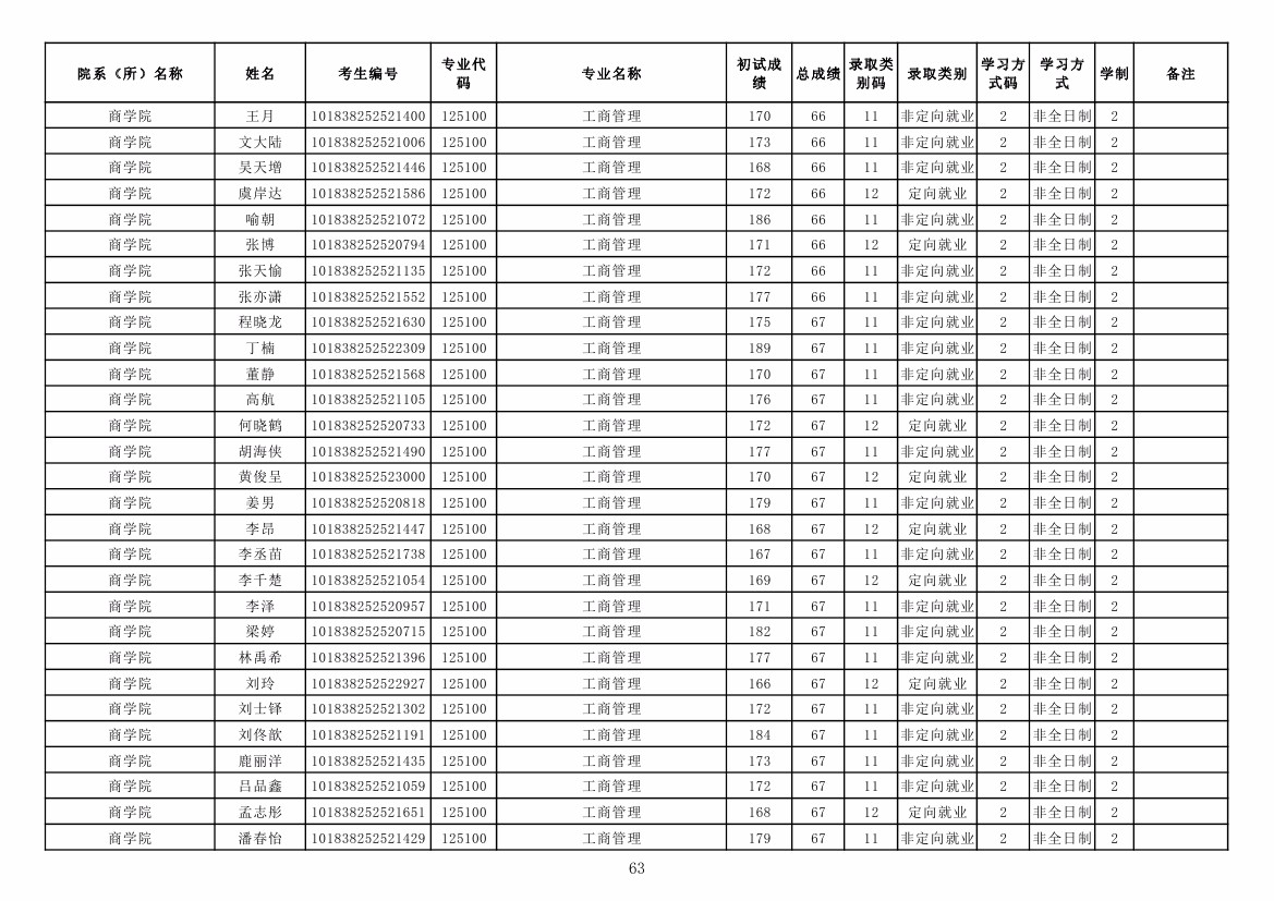
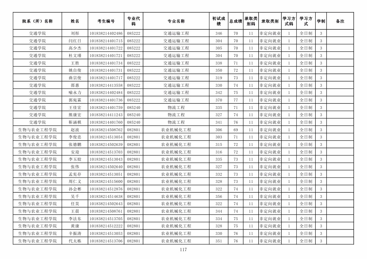
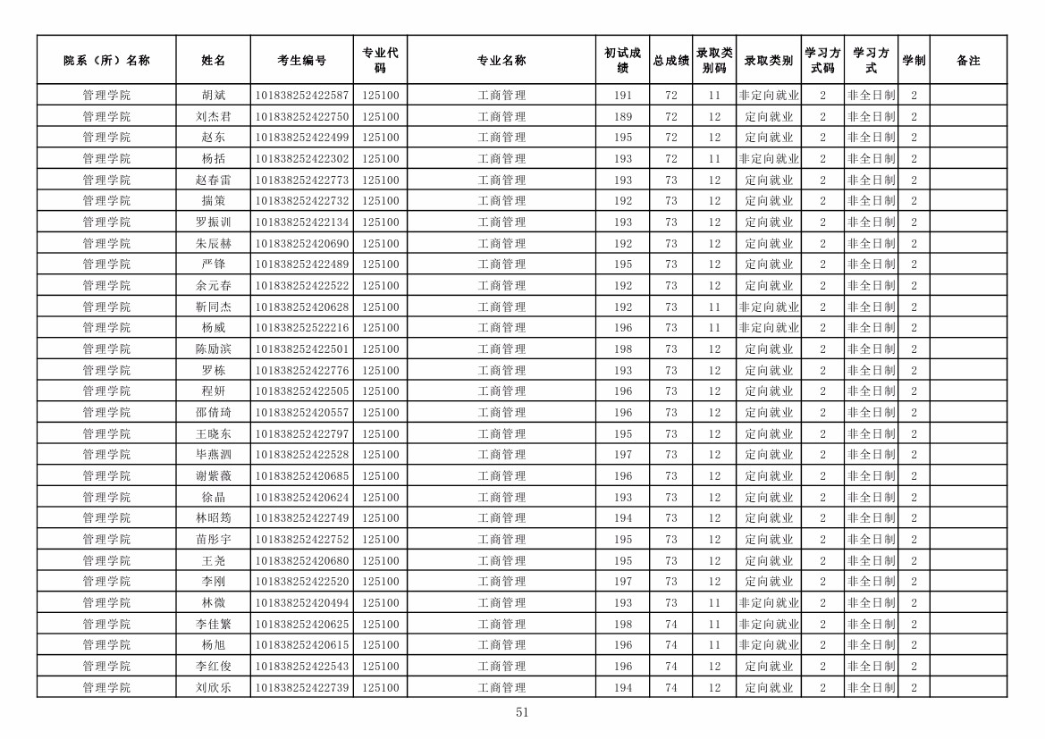
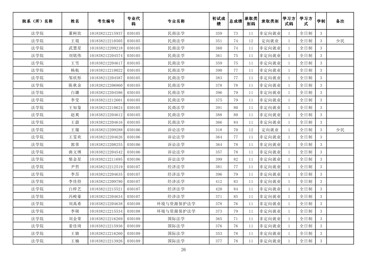
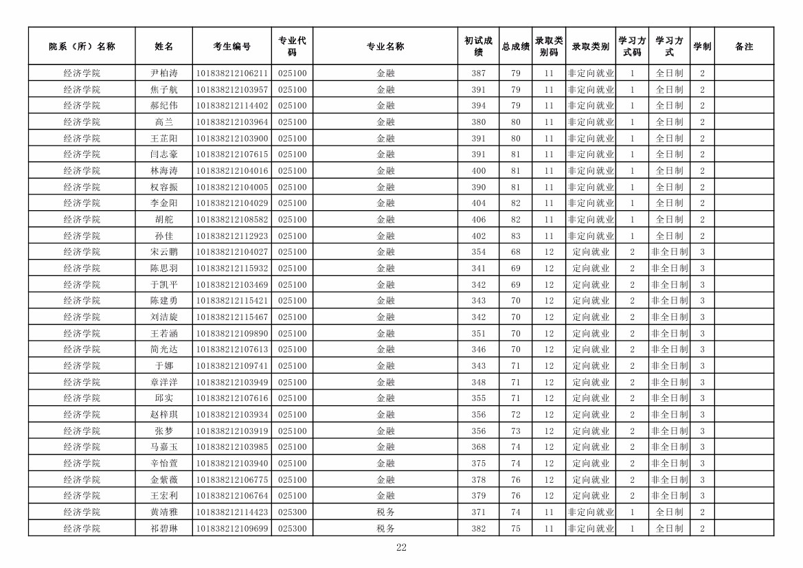
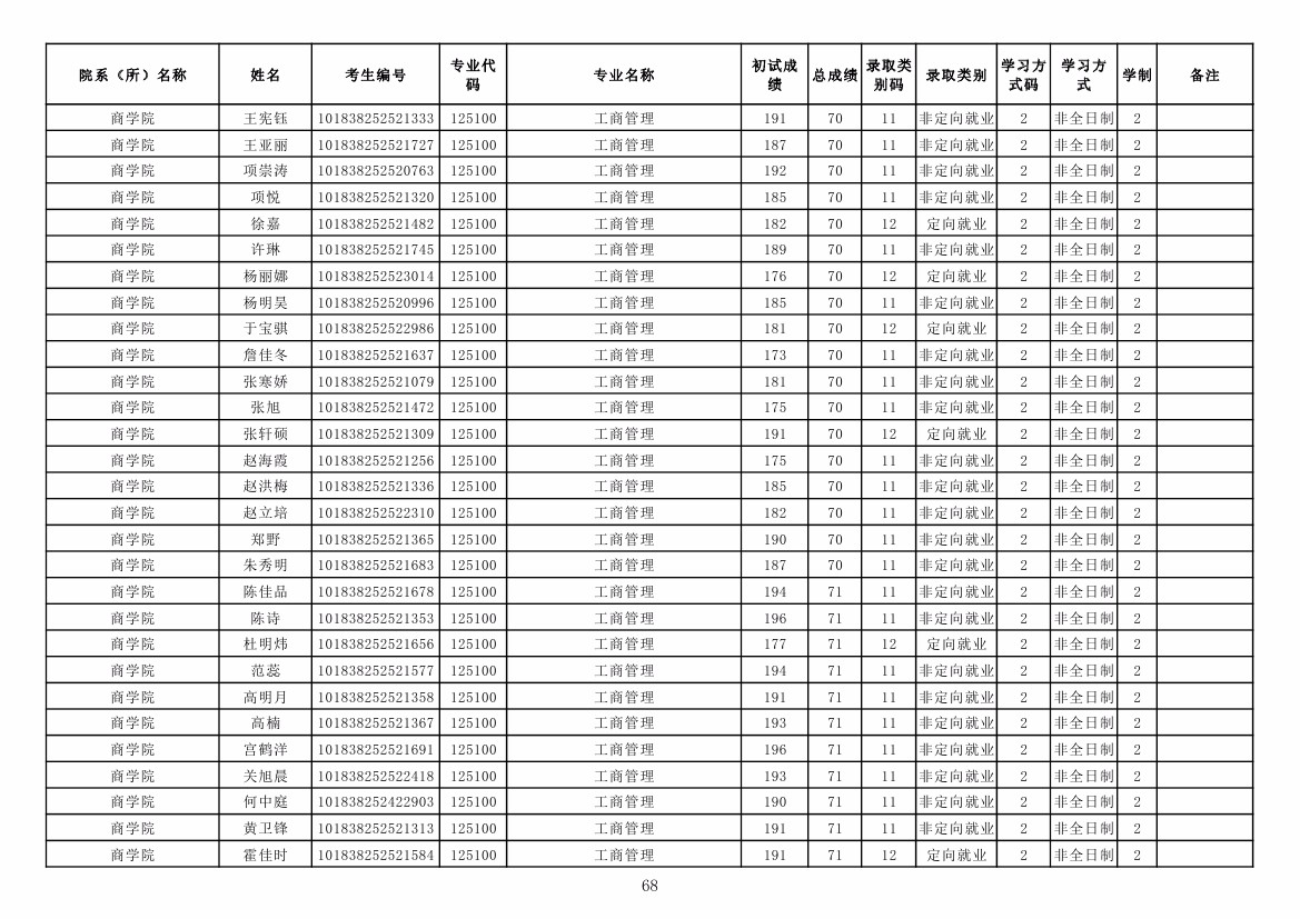
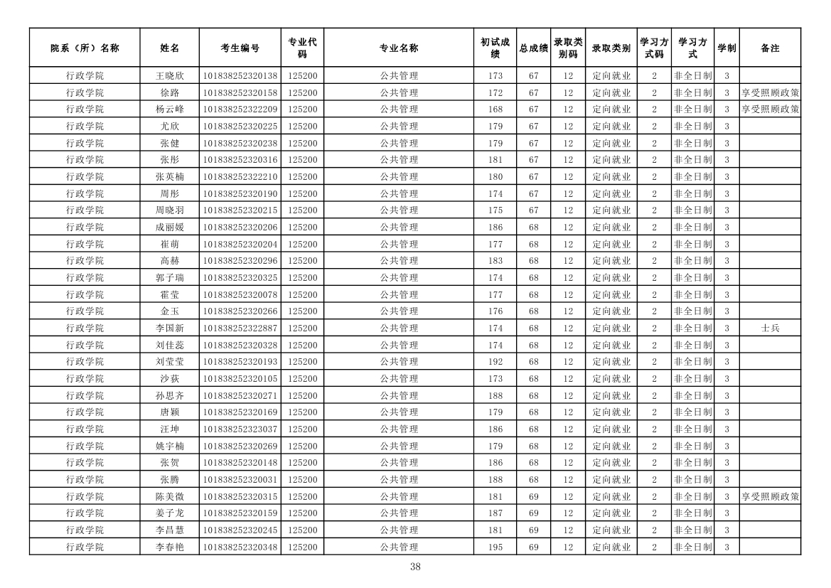
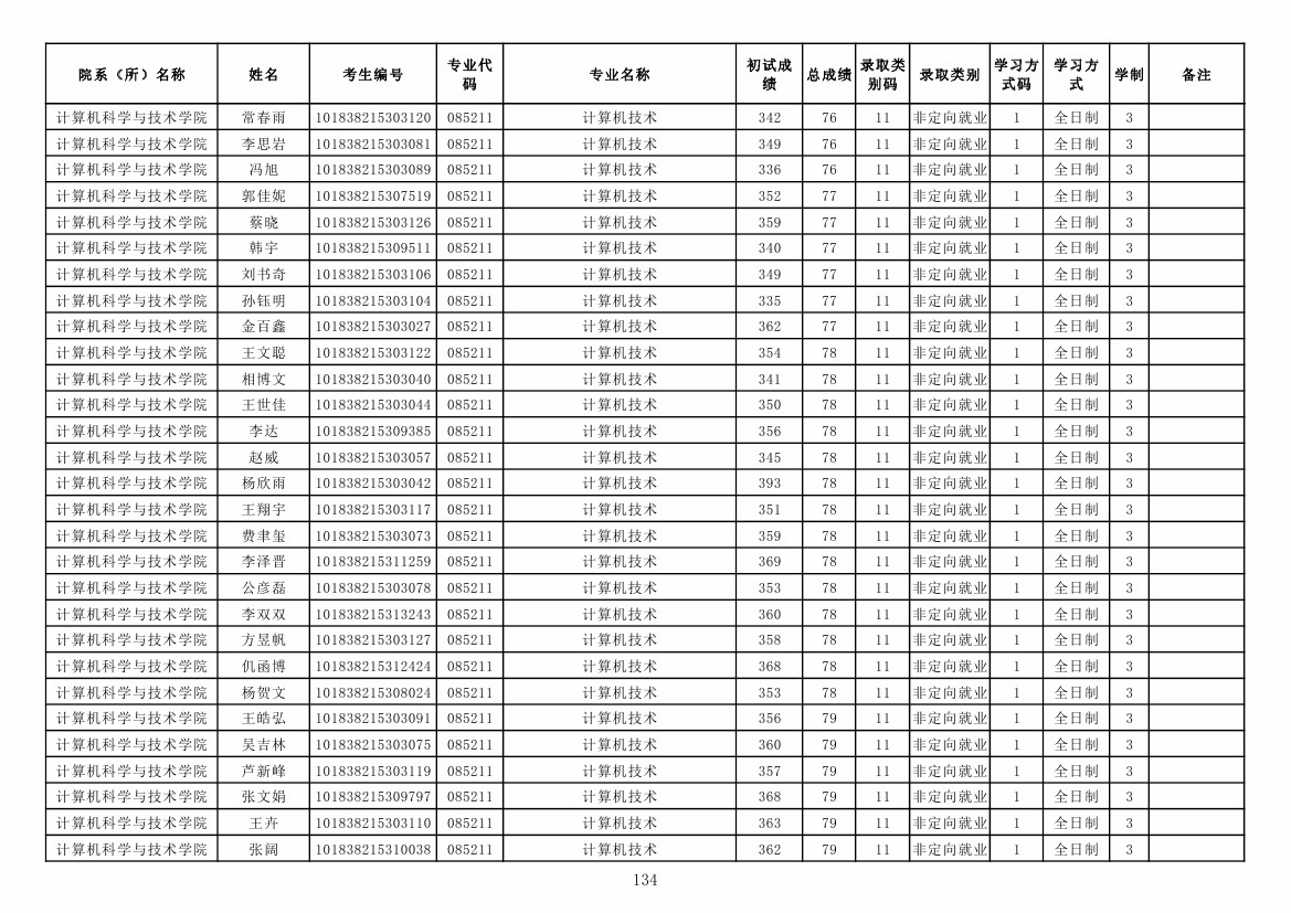
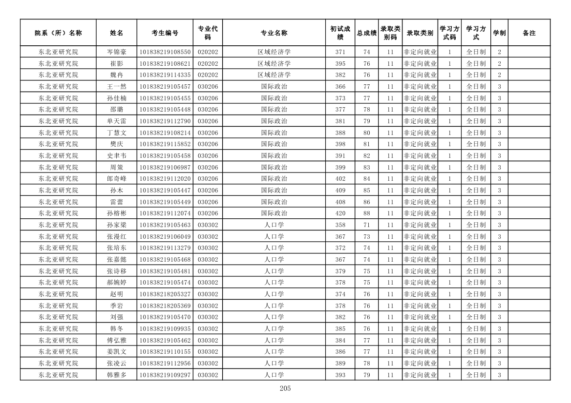
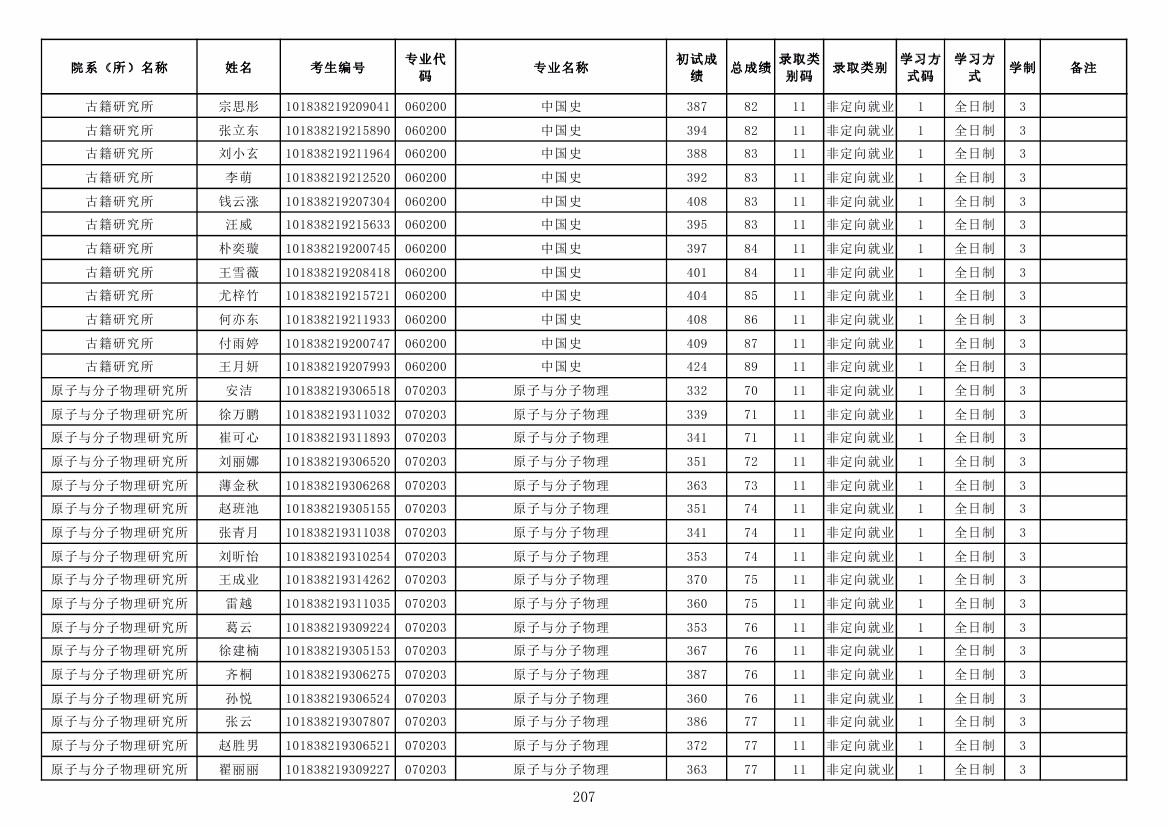
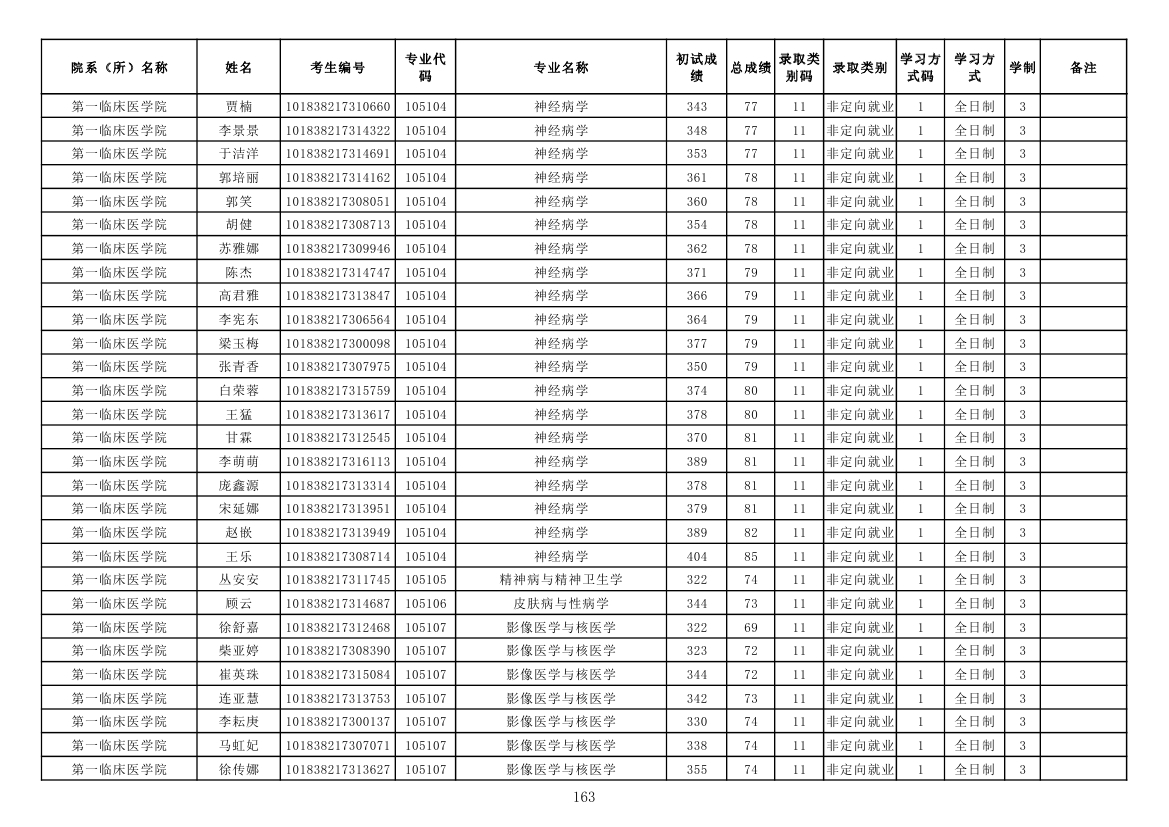
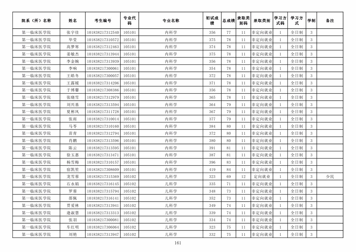
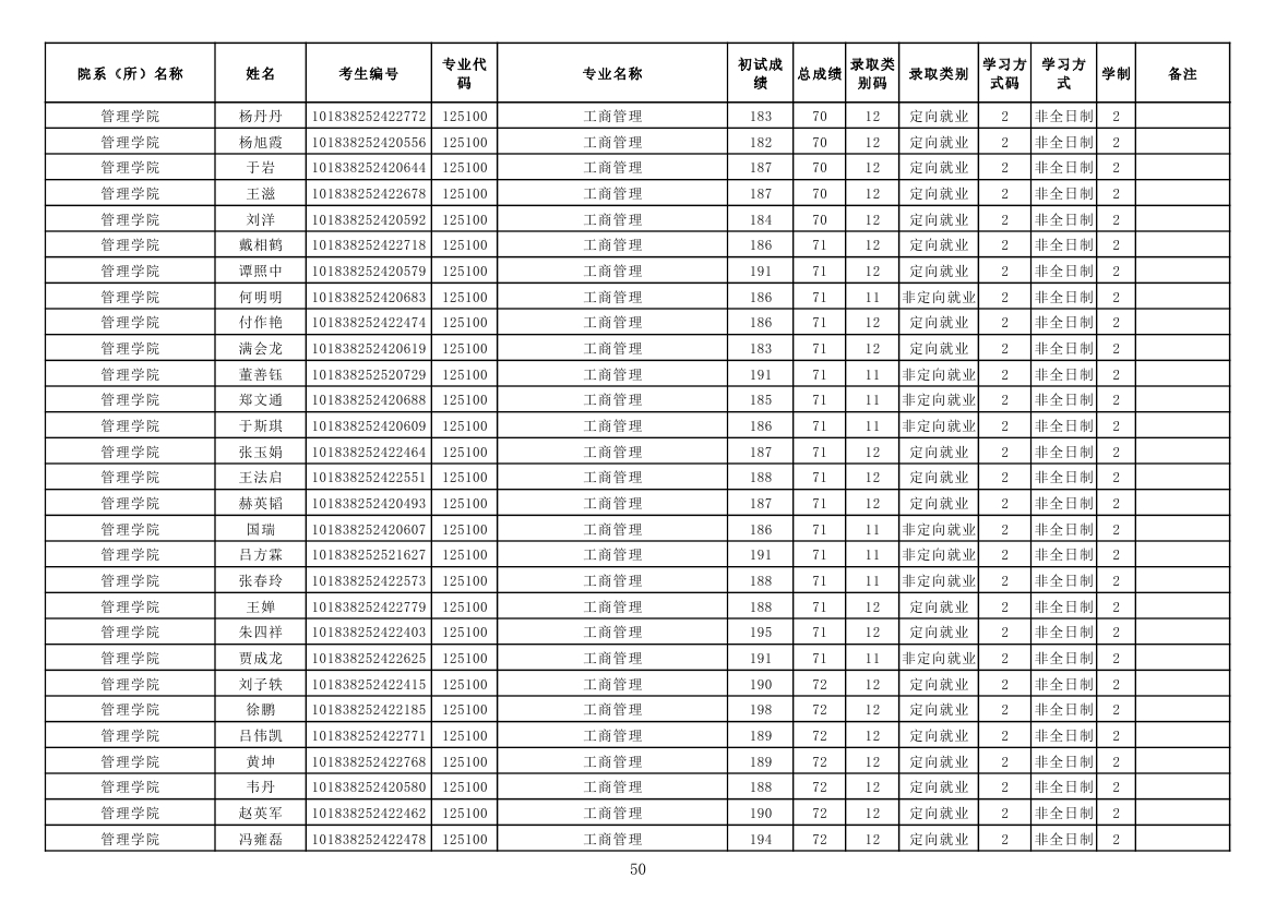
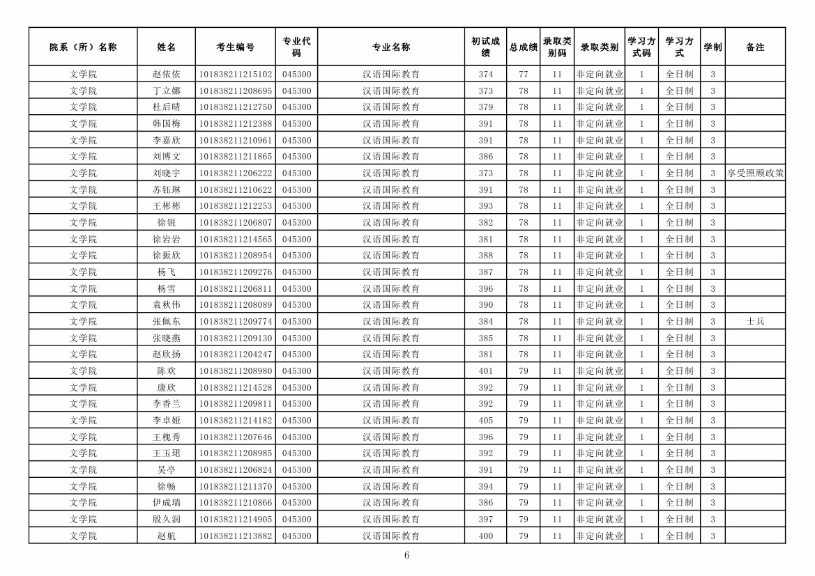
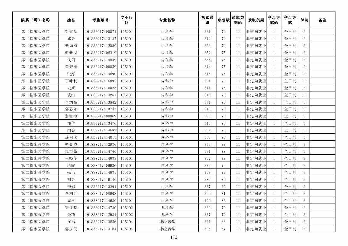
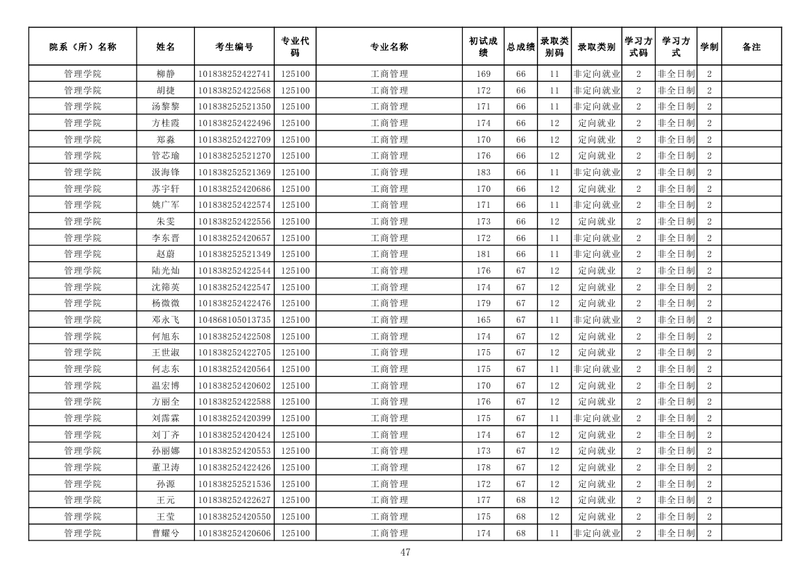
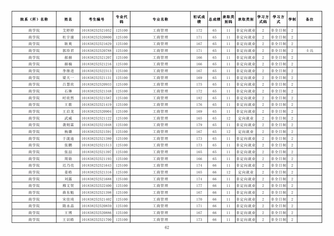
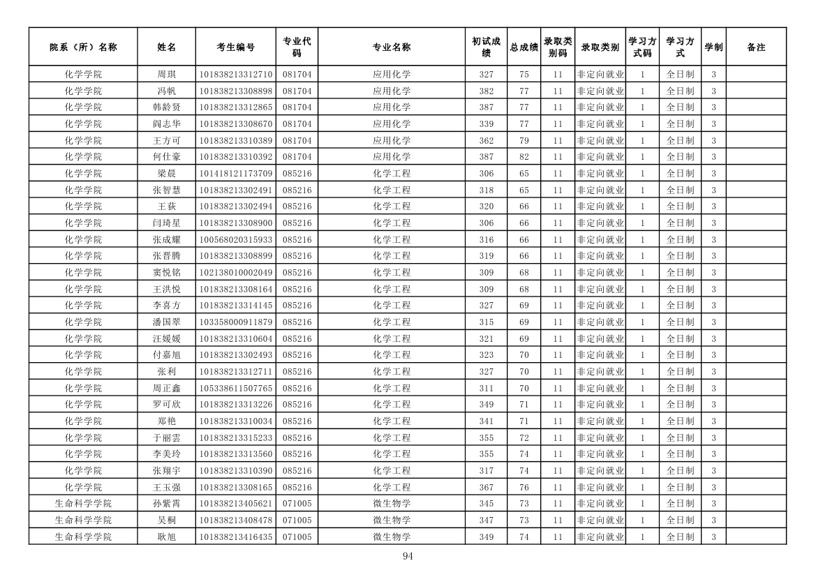
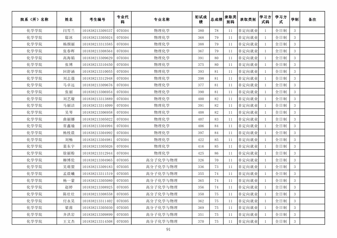
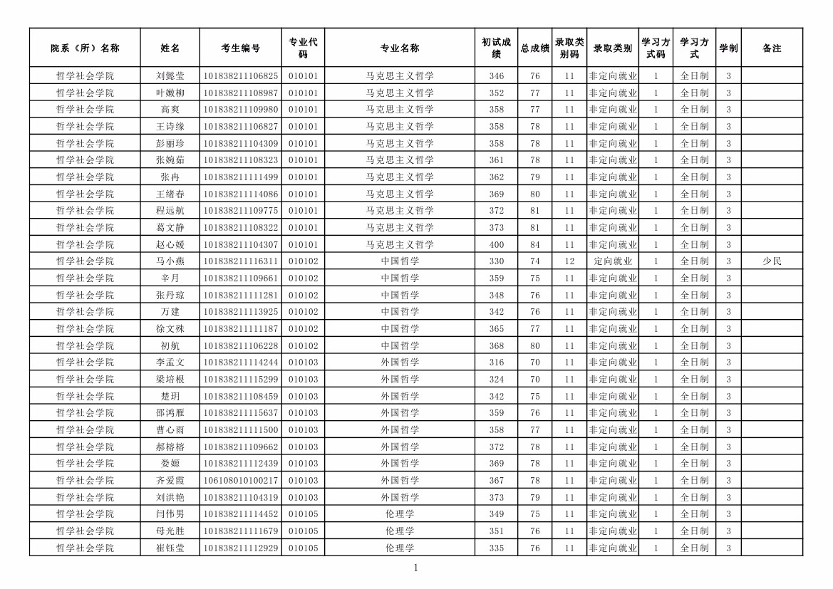
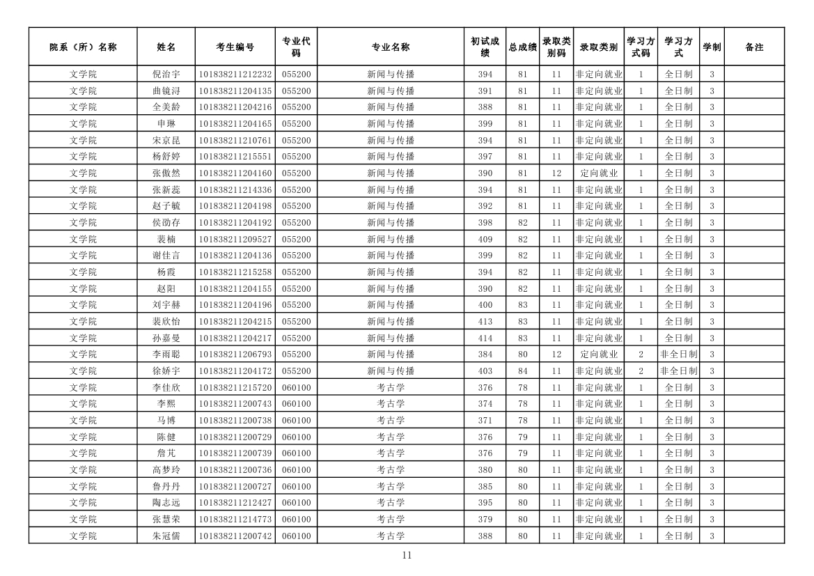
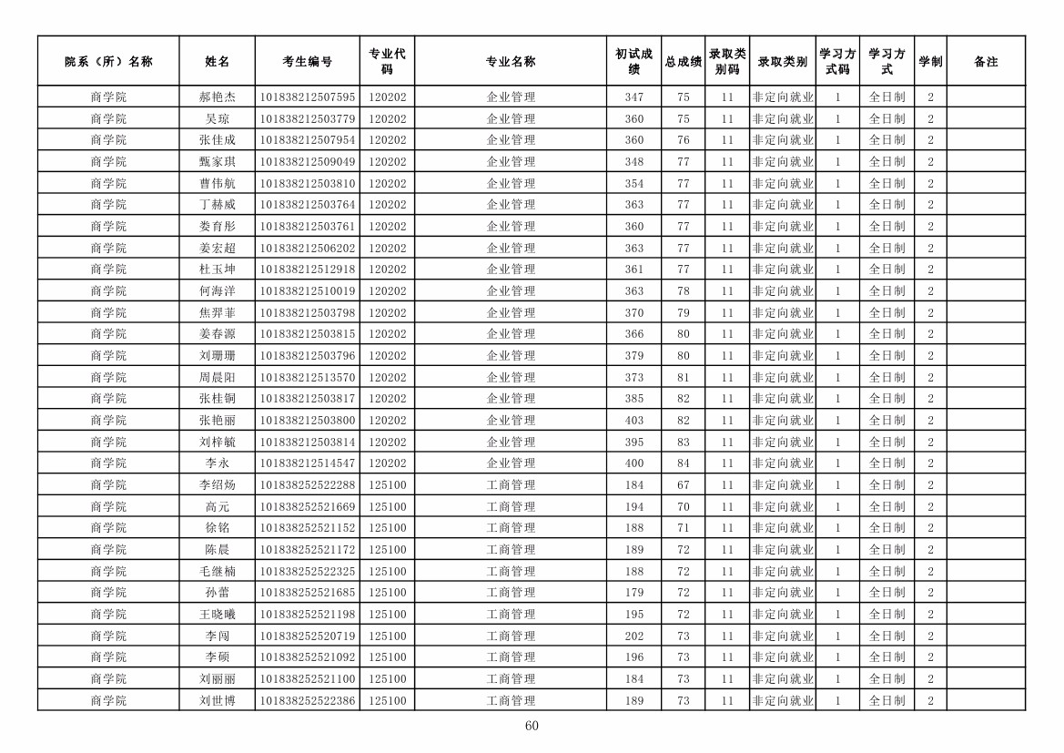
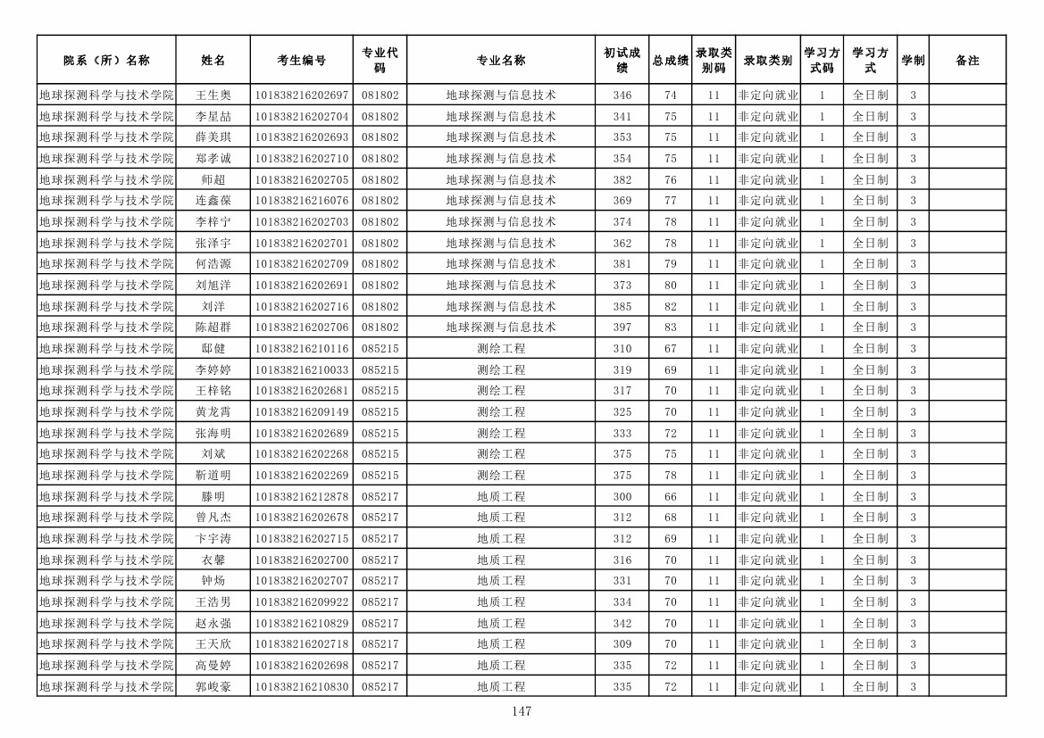
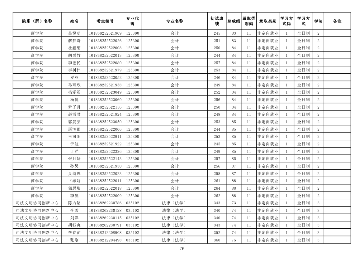
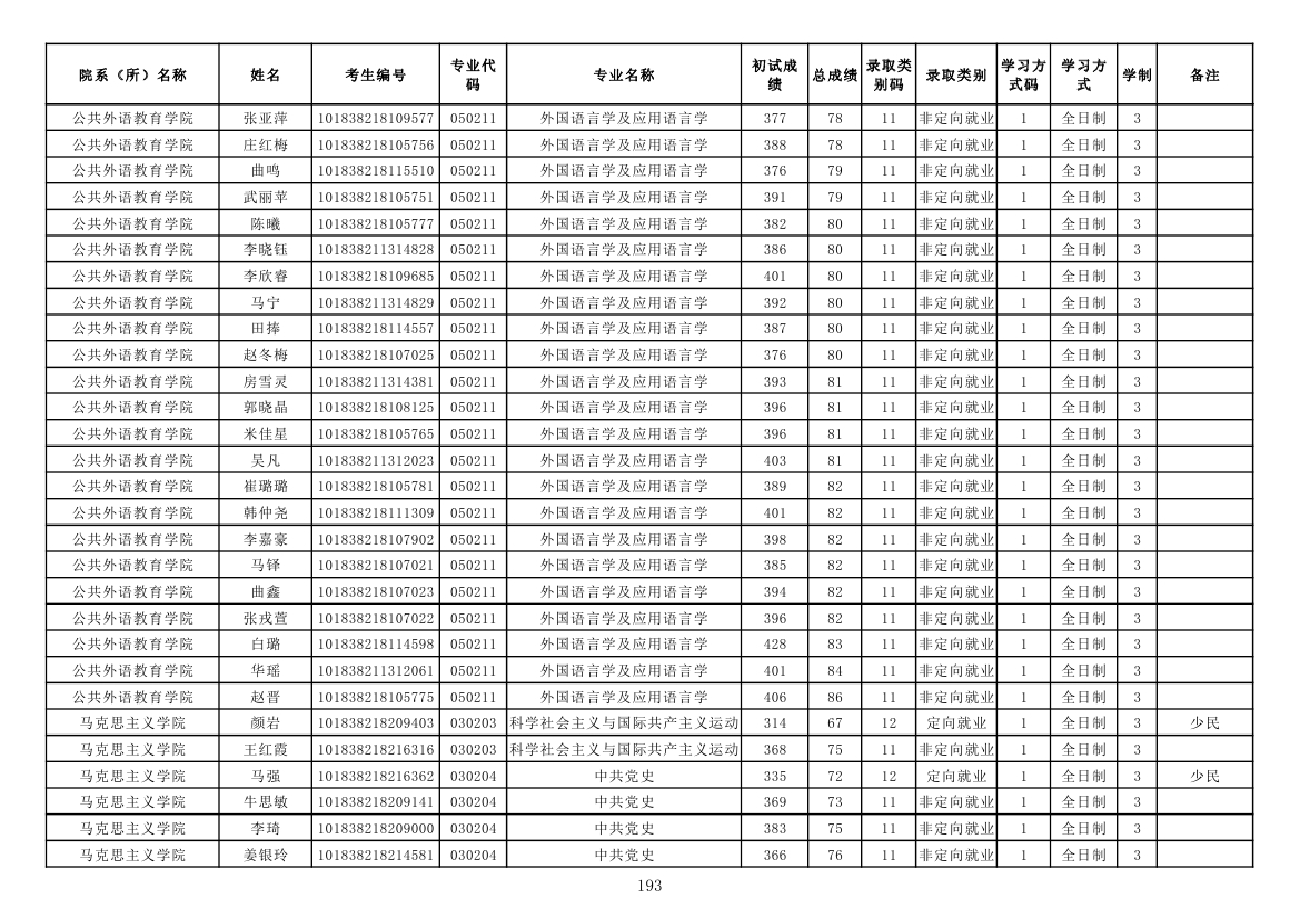
2018年硕士研究生拟录取名单


















































  • 微信公众号
  • 教育培训中心