参加研究生复试的考生成绩

吉林大学接收2016届本科毕业生免试攻读硕士学位研究生公示

发布日期:2015-10-28 浏览量:

         根据上级有关文件及《吉林大学关于接收2016届本科毕业生免试攻读硕士学位研究生工作的通知》要求,经复试,现学校予以集中公示。

         若有异议,实名向学校招生办公室反映情况。电话:0431-85166371。

        

          

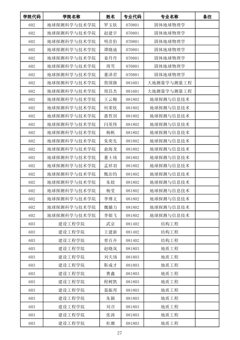
2016届本科毕业生免试攻读硕士学位研究生名单

   

 

                                                                                                                                     吉林大学招生办公室

                                                                                                                                       2014年10月28日


  • 微信公众号
  • 教育培训中心