参加研究生复试的考生成绩

吉林大学接收2017年本科毕业生免试攻读硕士学位研究生公示名单

发布日期:2016-10-21 浏览量:

   根据上级有关文件及《吉林大学关于接收2017年本科毕业生免试攻读硕士学位研究生工作的通知》要求,经复试,现学校予以集中公示。

   若有异议,实名向学校招生办公室反映情况。电话:0431-85166371。监督电话:0431-85168740


        

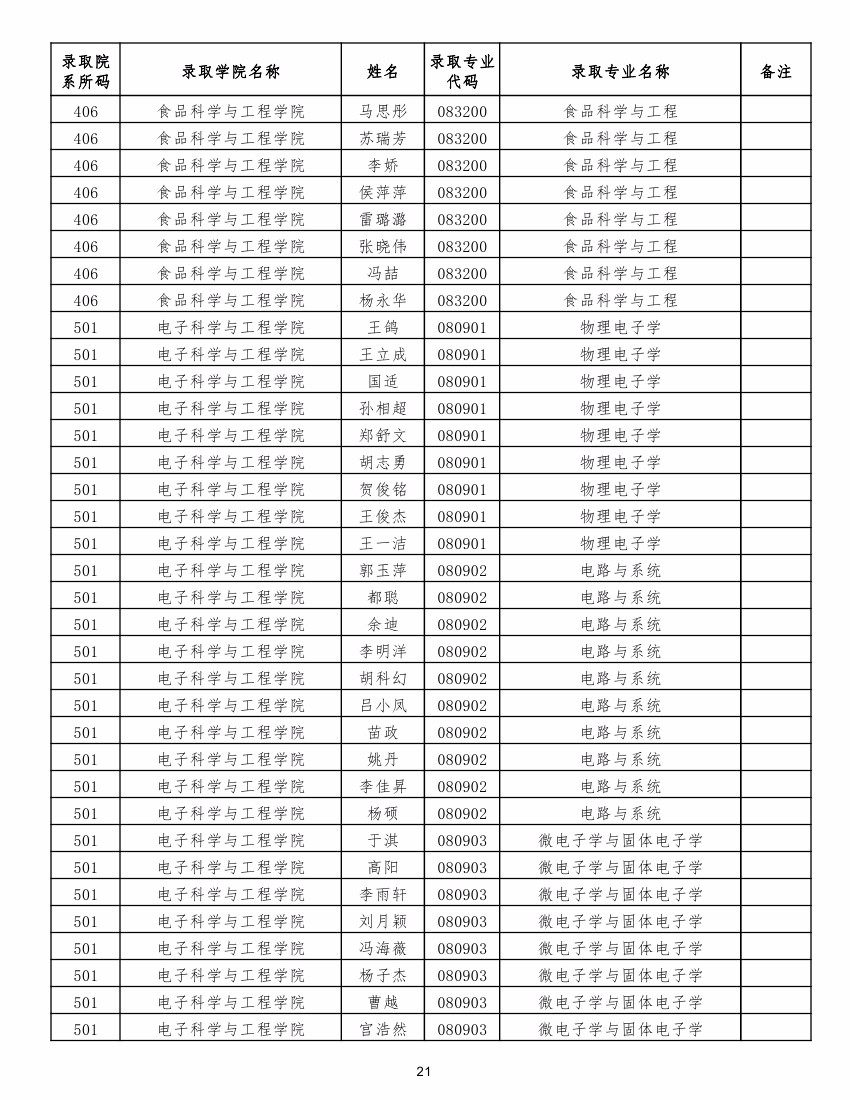
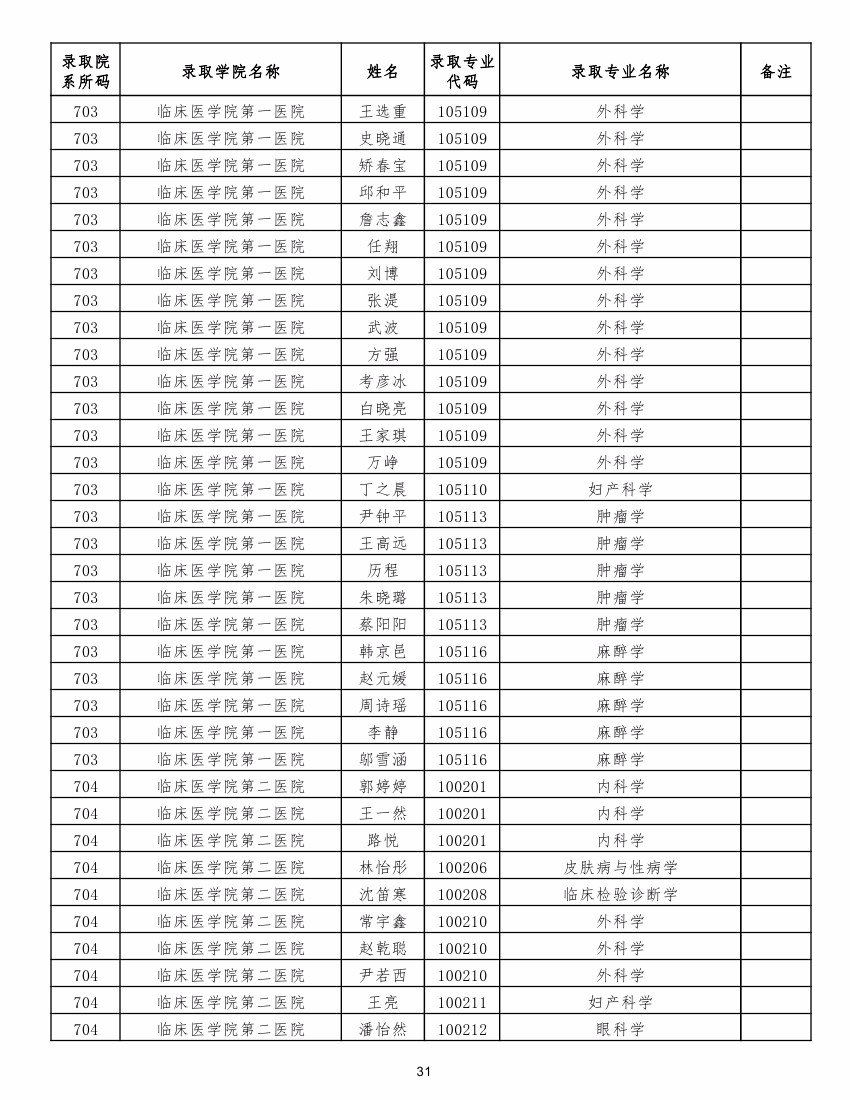
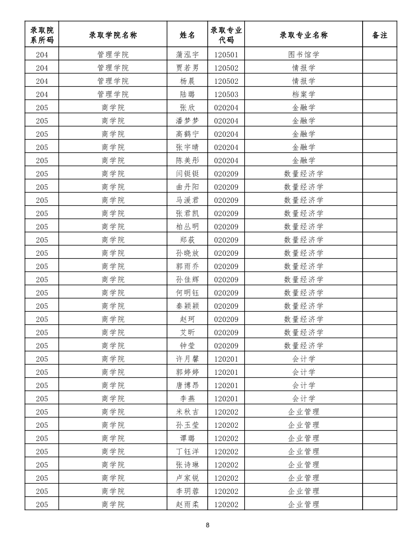
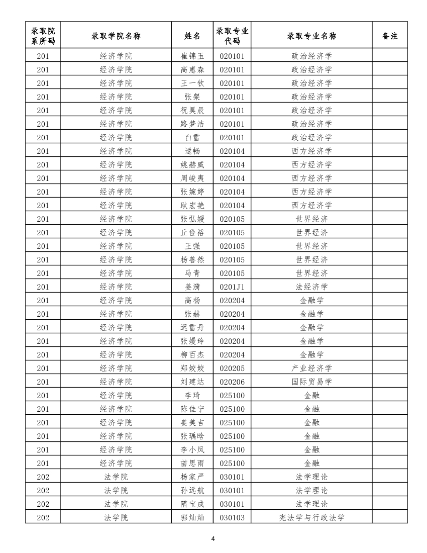
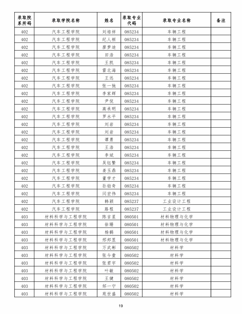
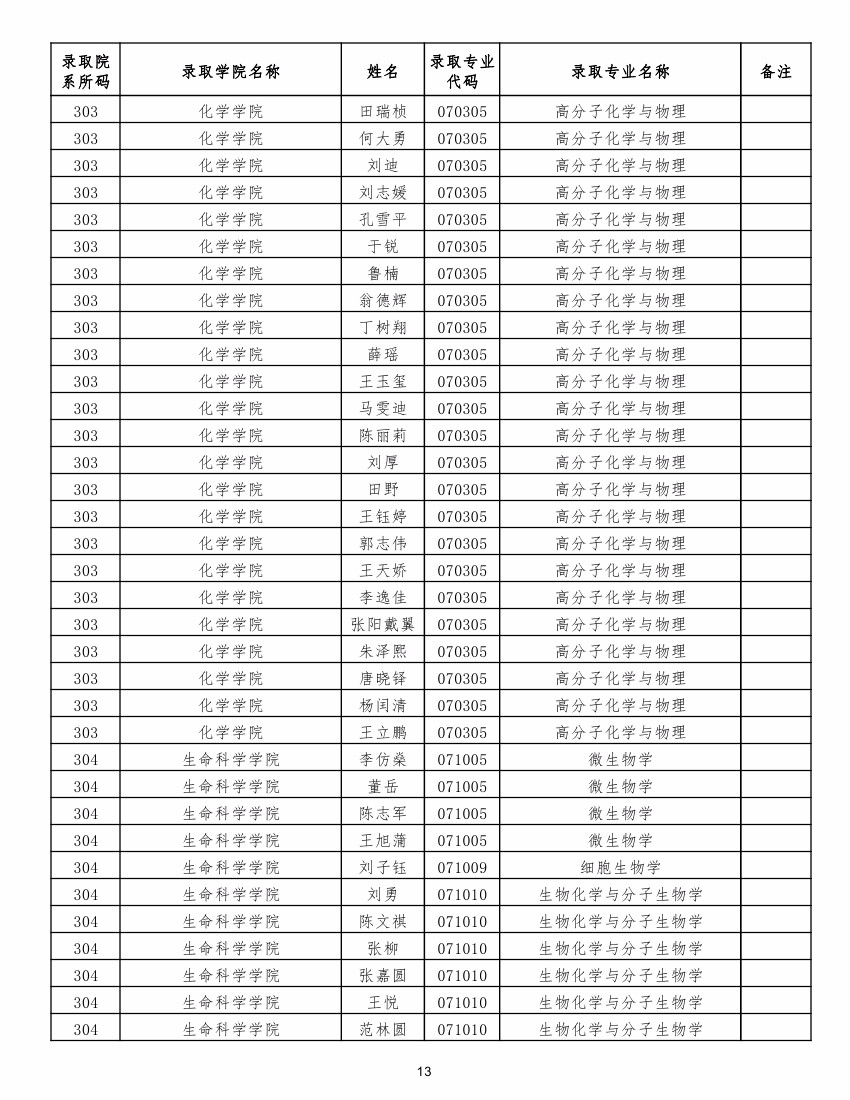
2017年本科毕业生免试攻读硕士学位研究生名单




  • 微信公众号
  • 教育培训中心