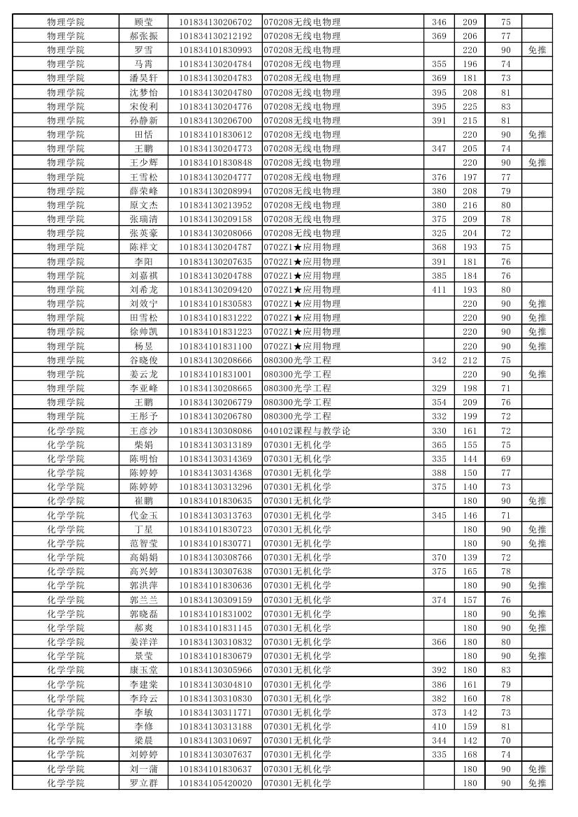
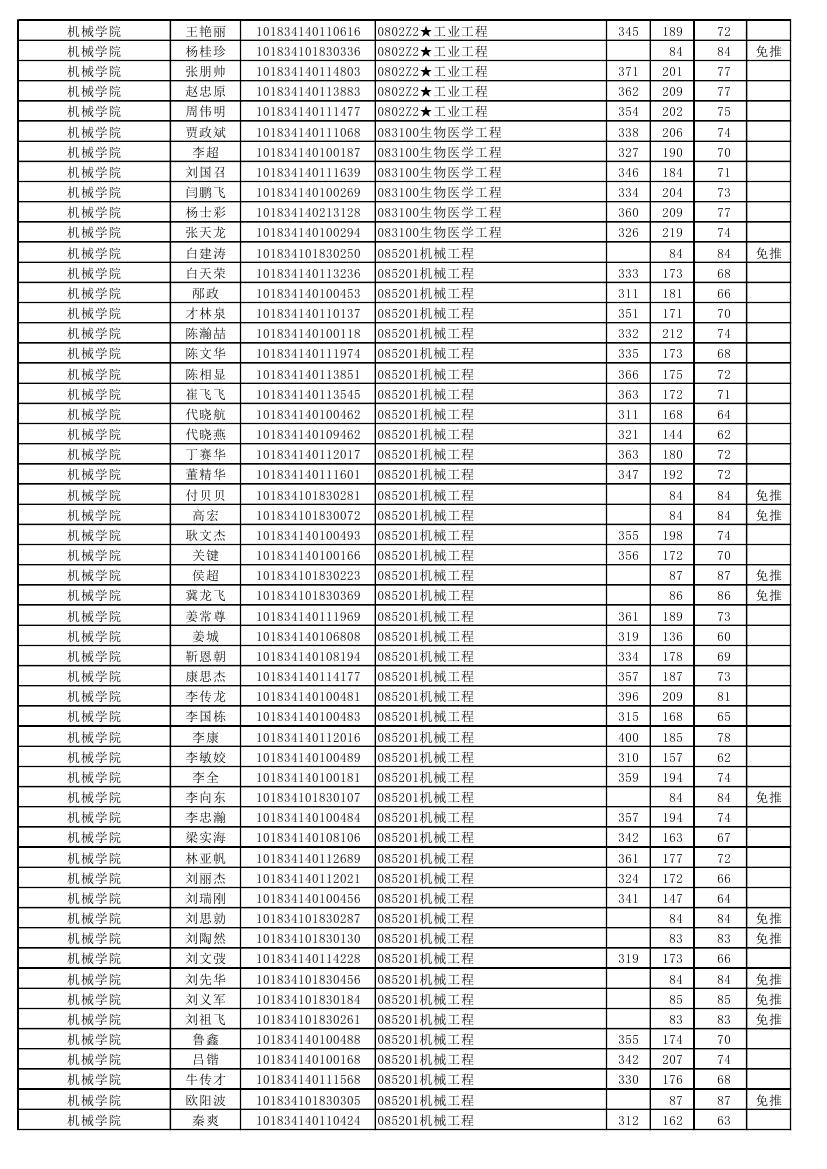
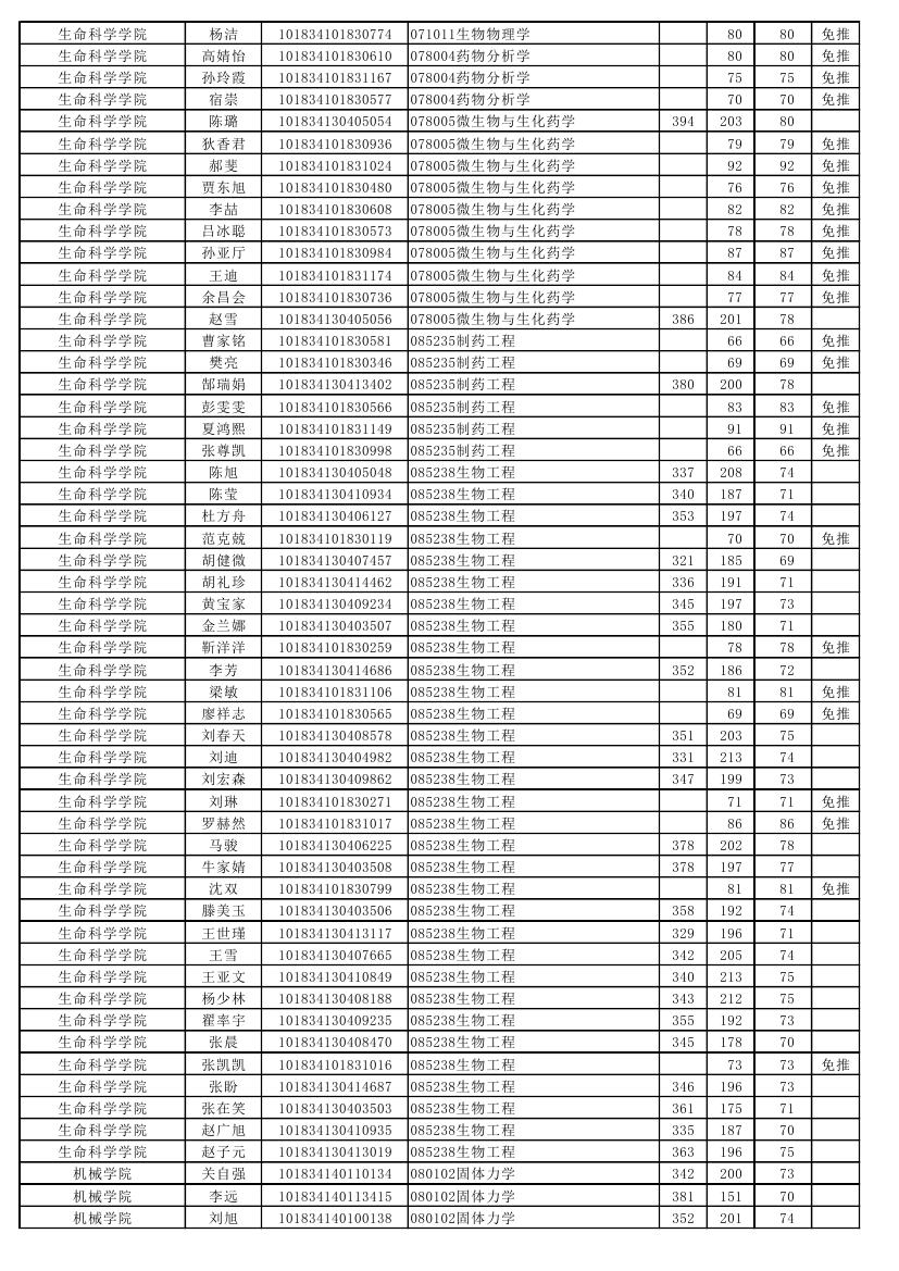
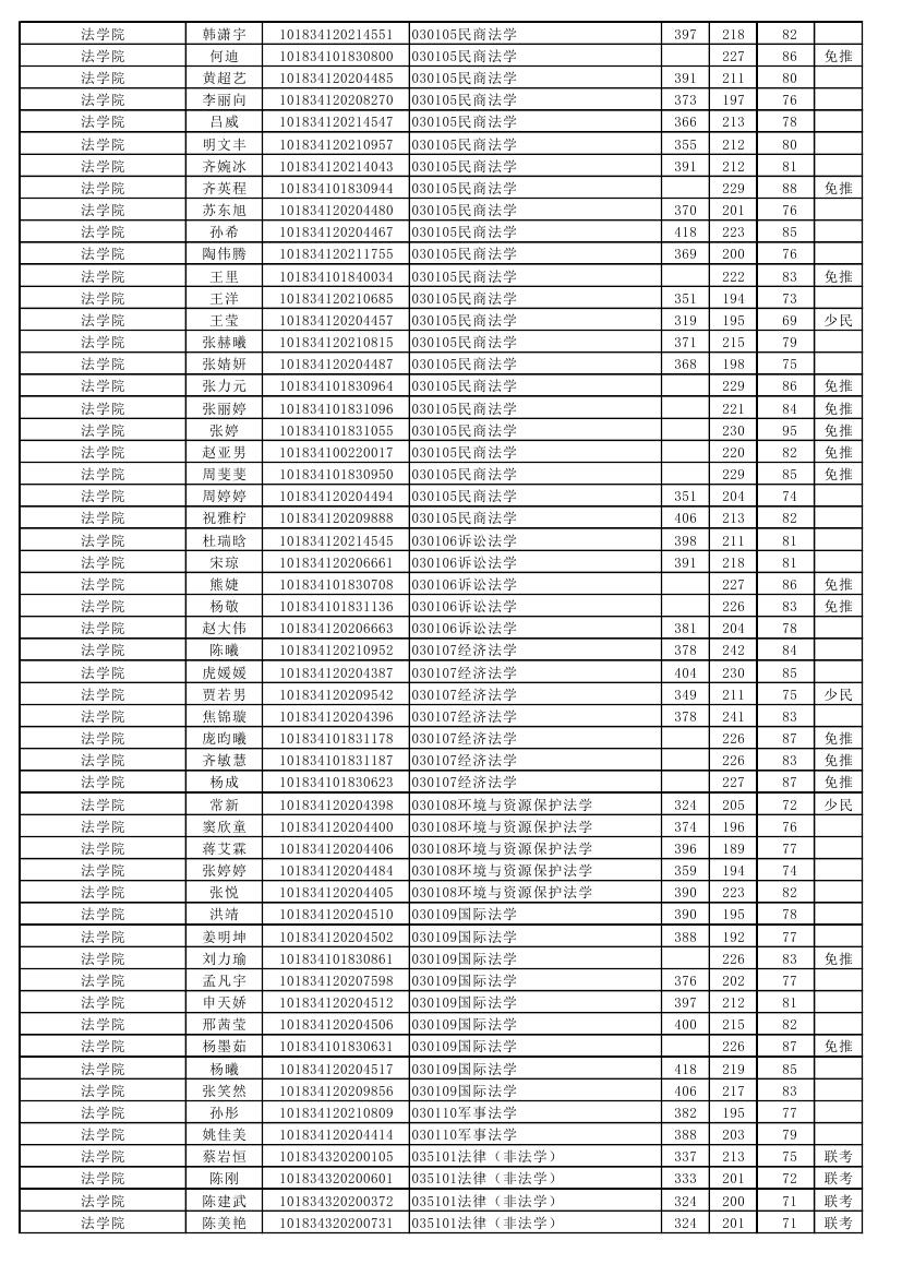
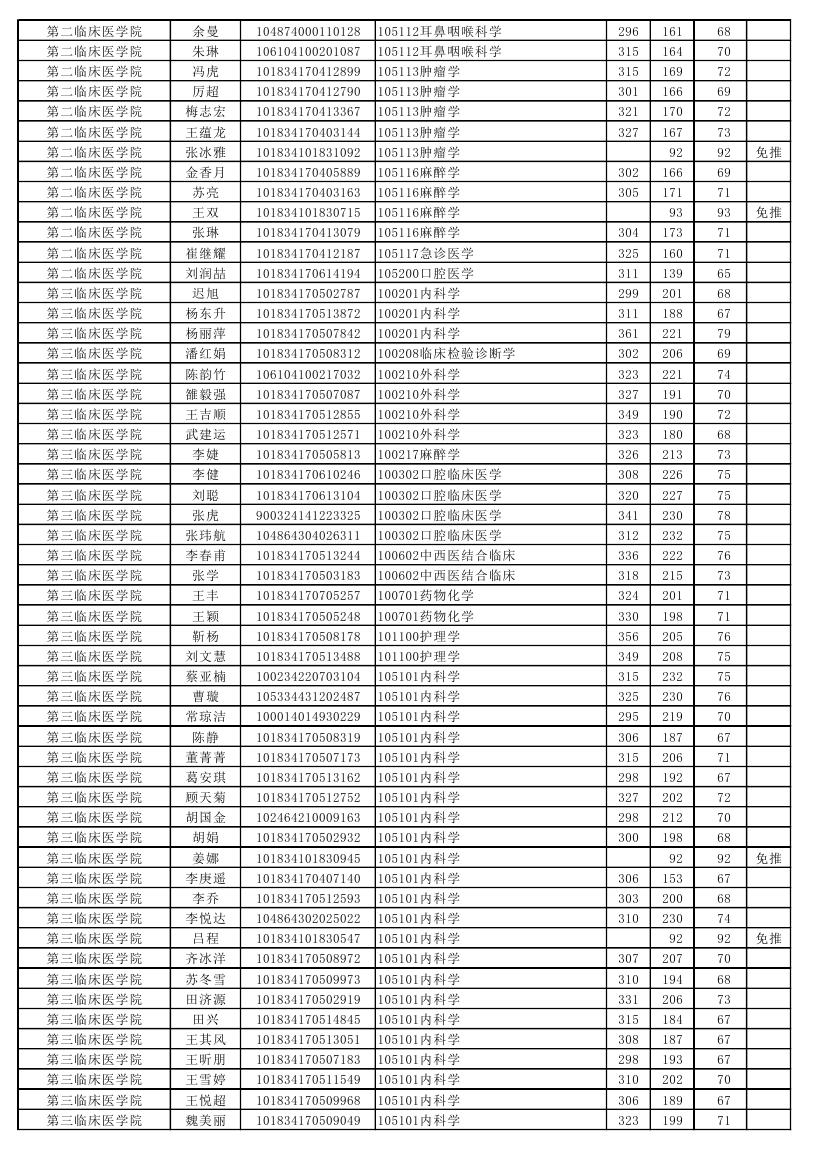
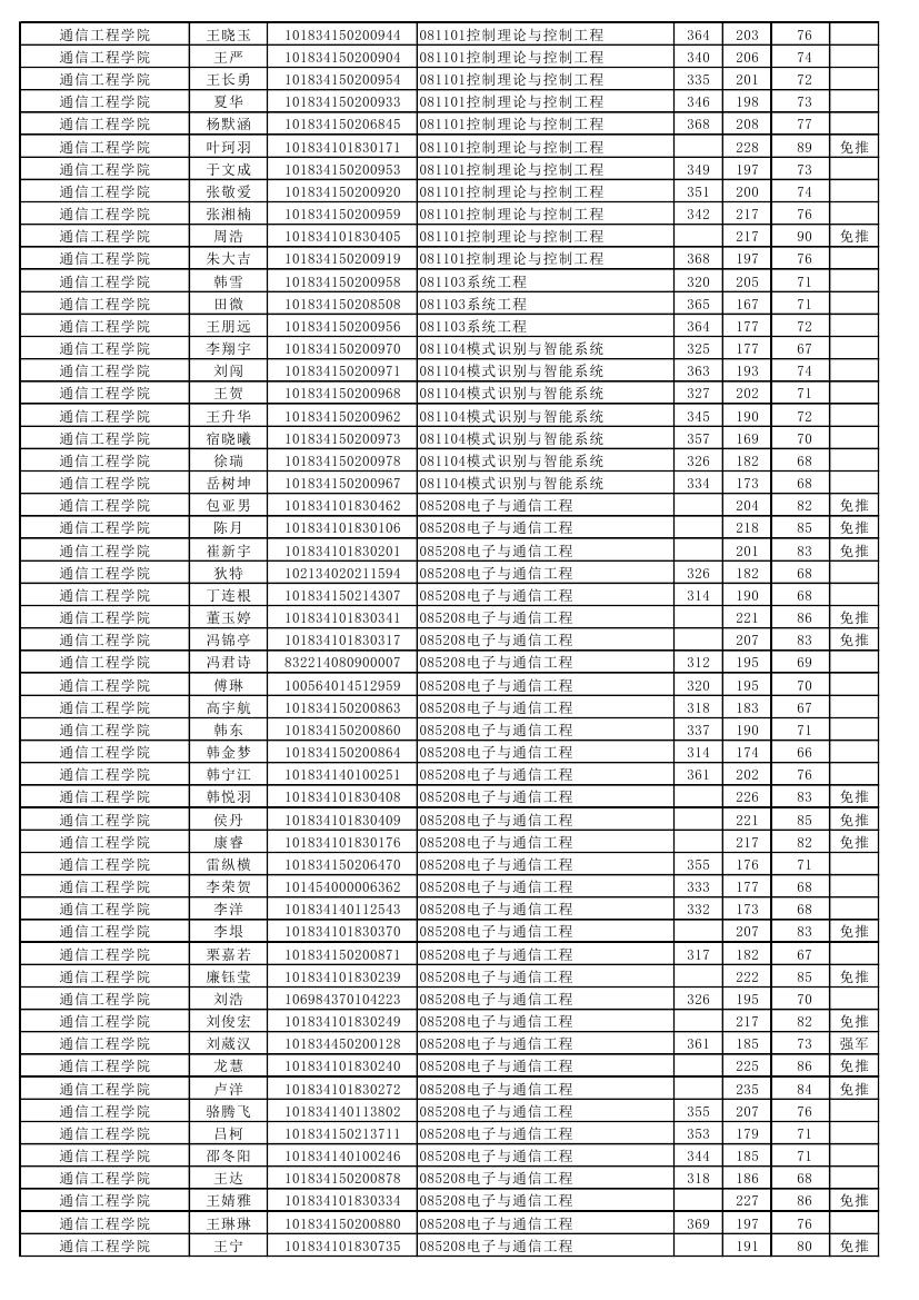
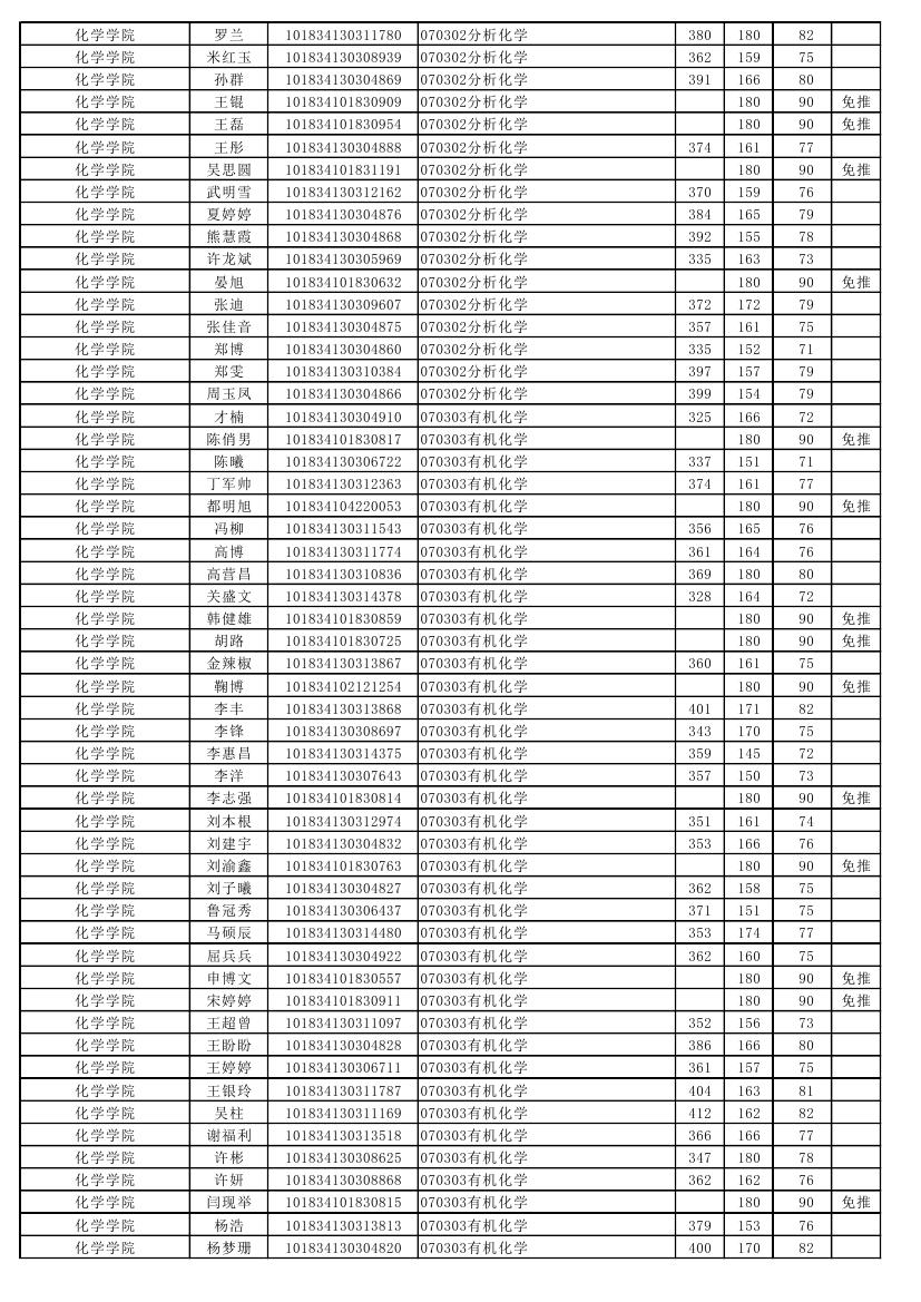
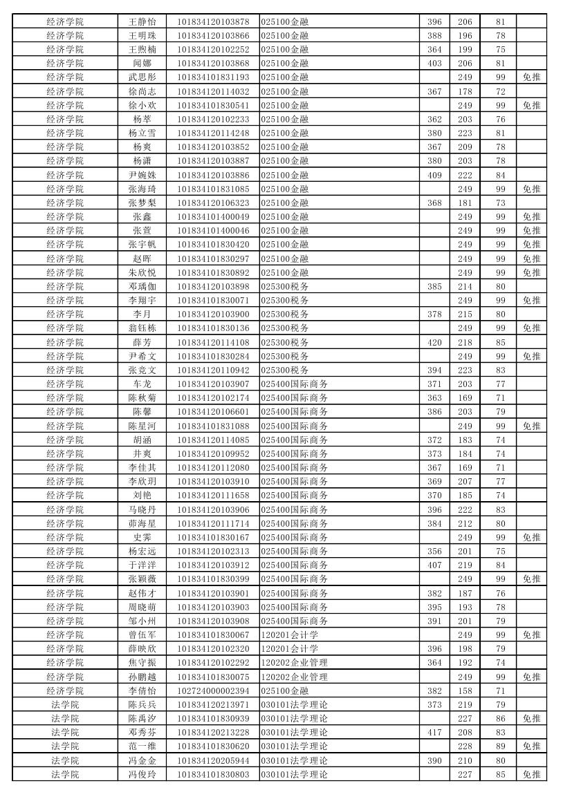
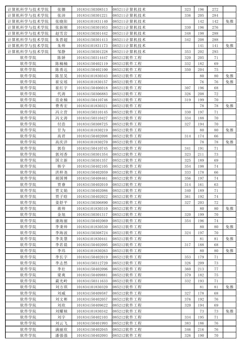
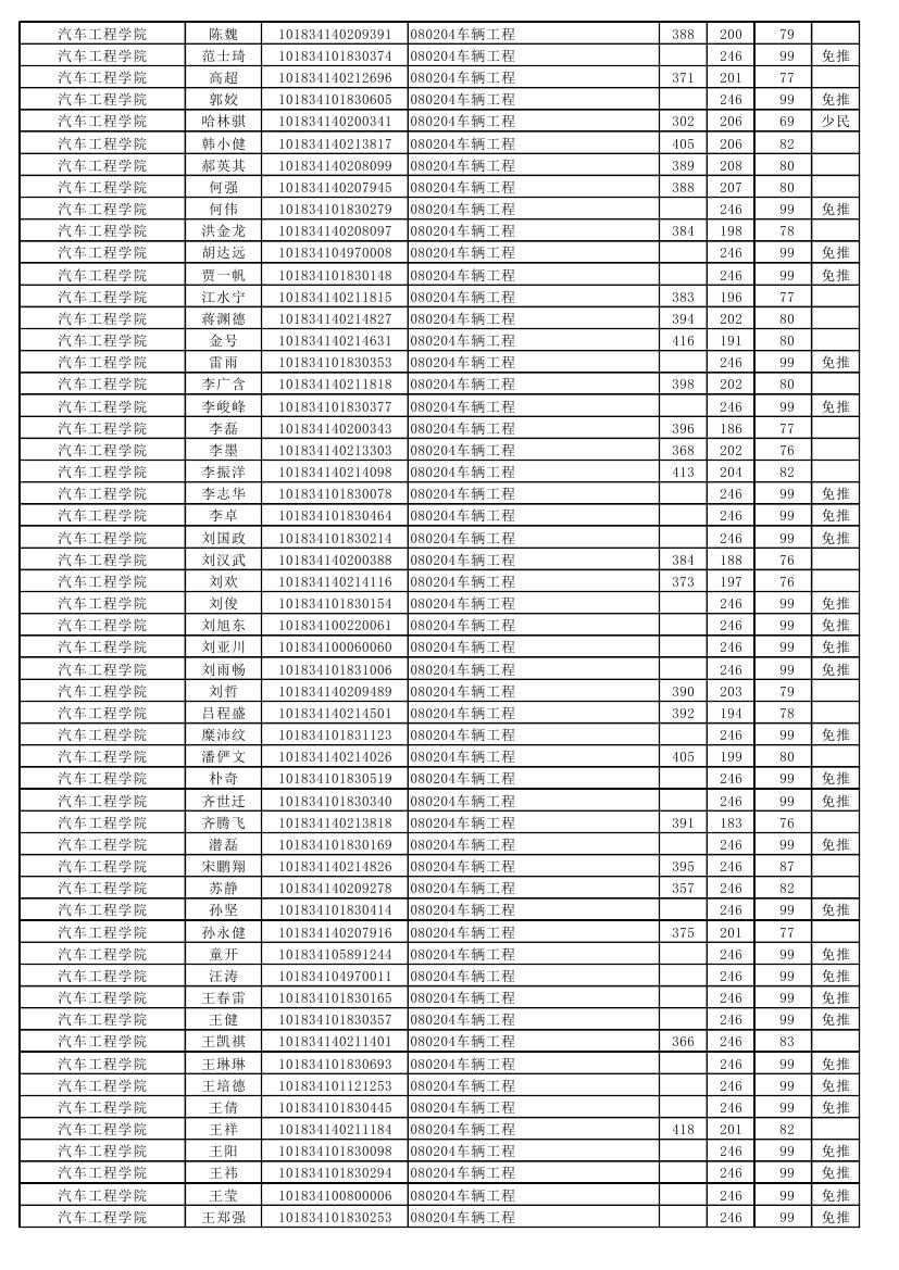
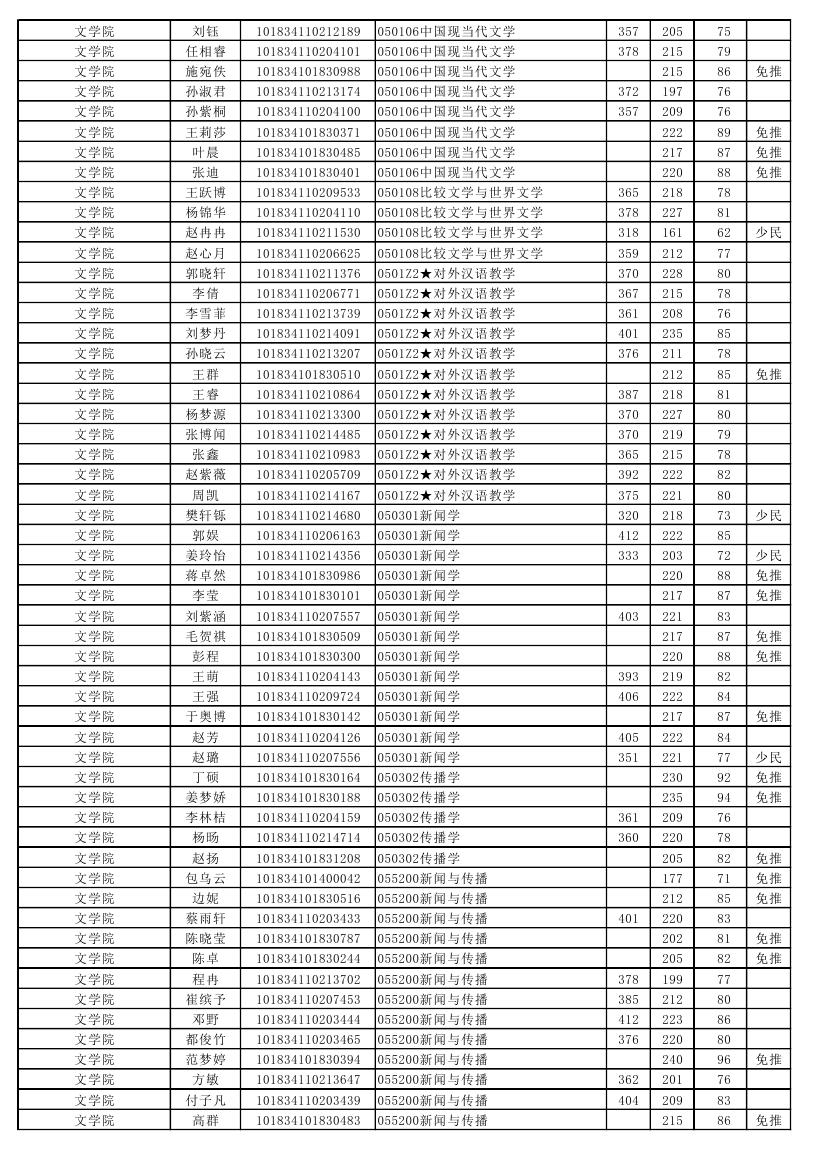
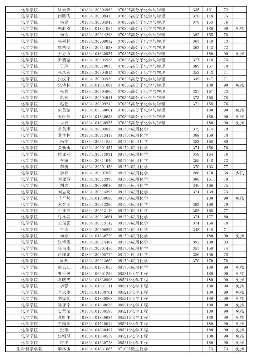
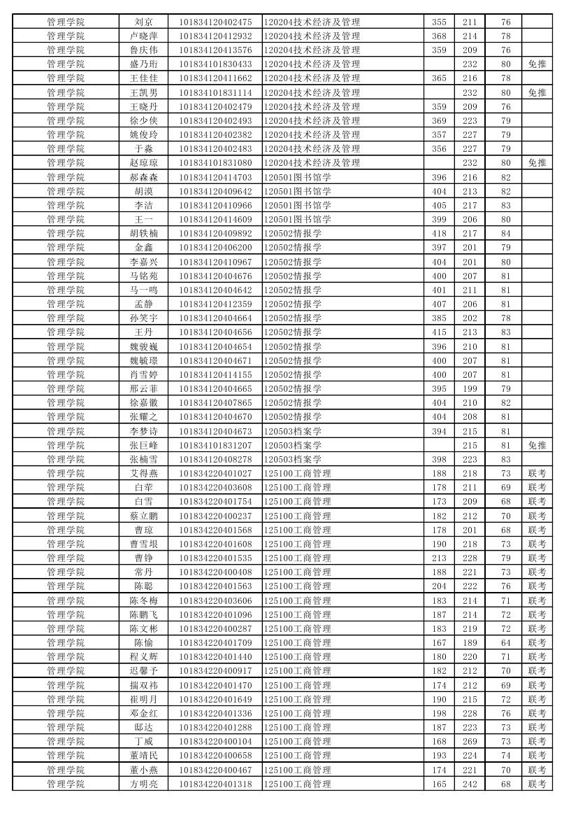
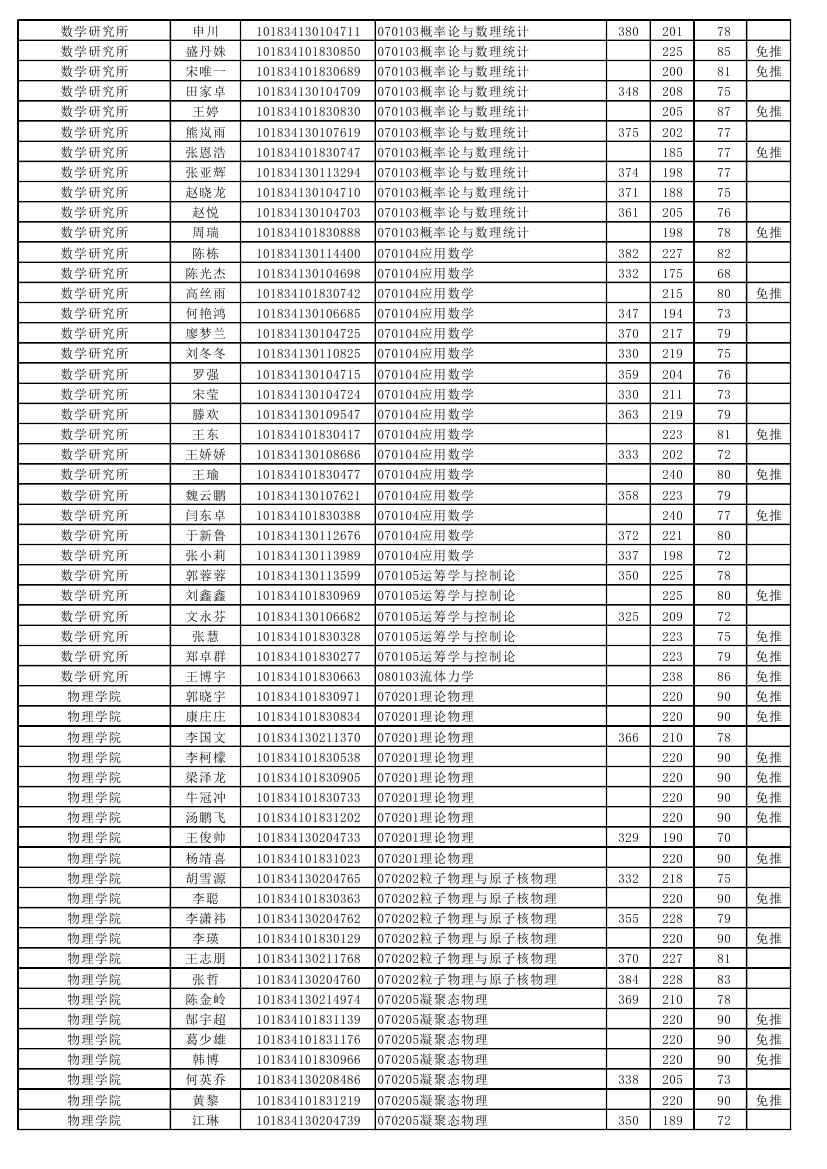
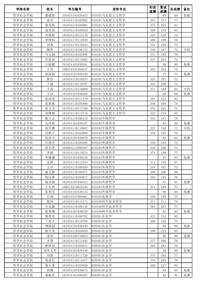
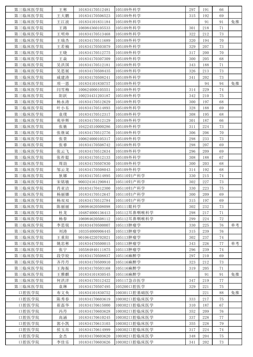
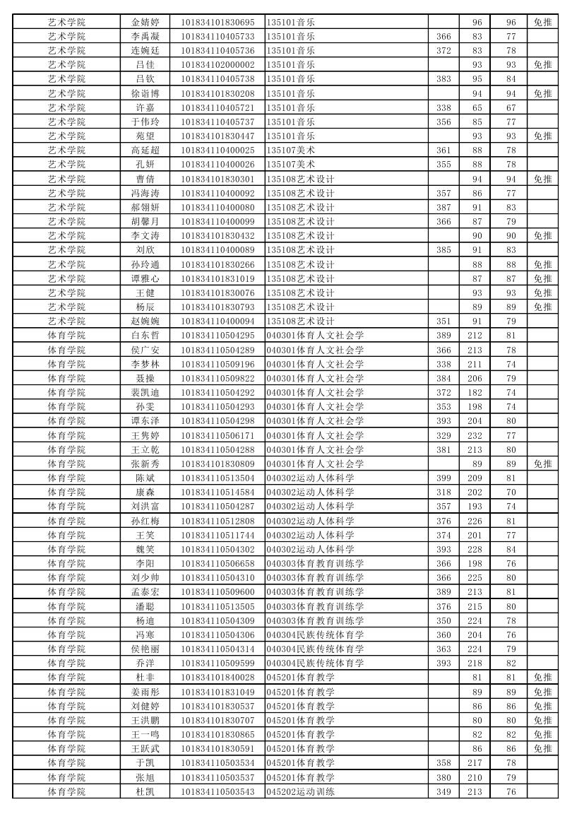
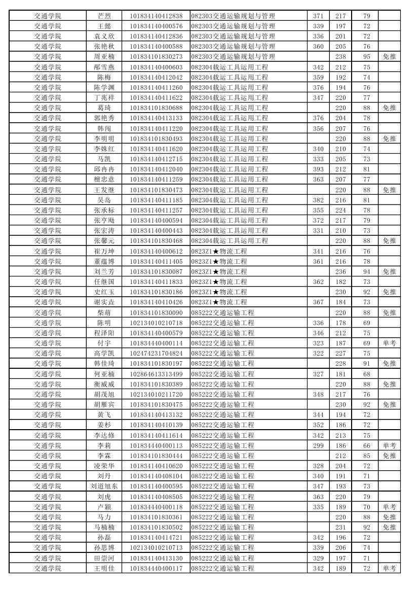
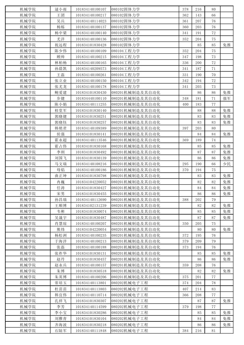
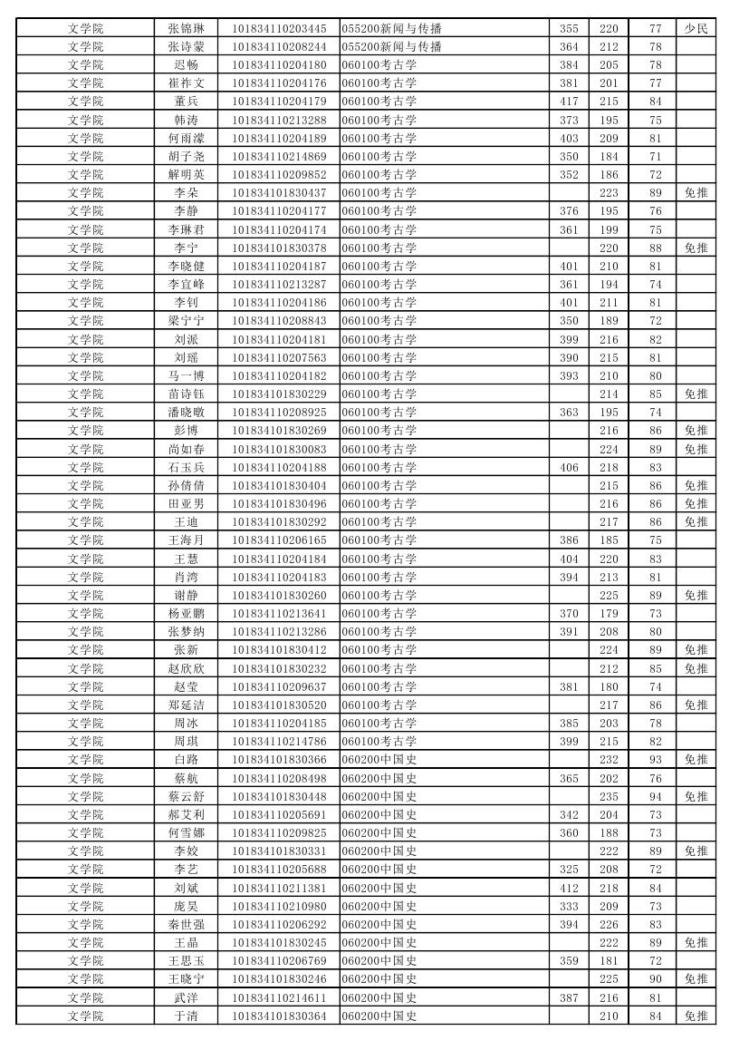
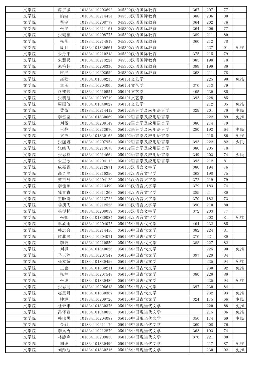
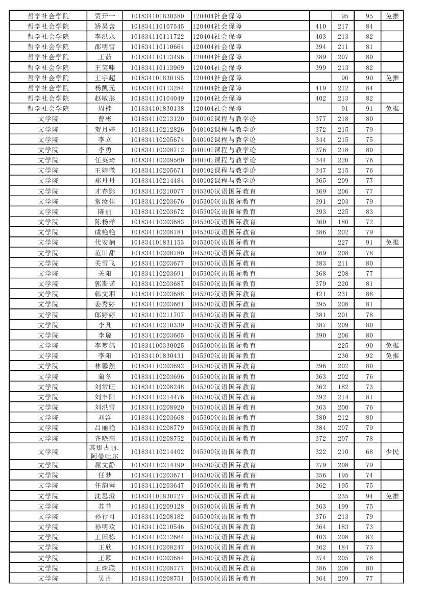
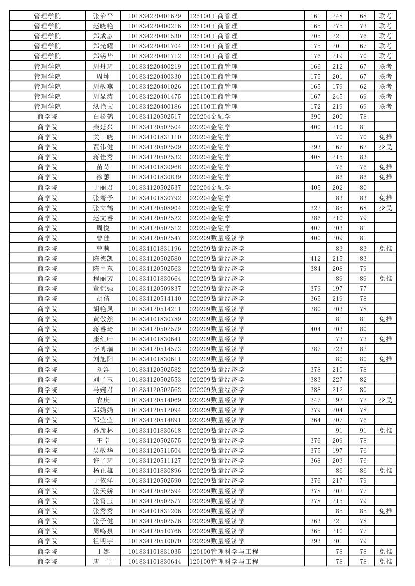
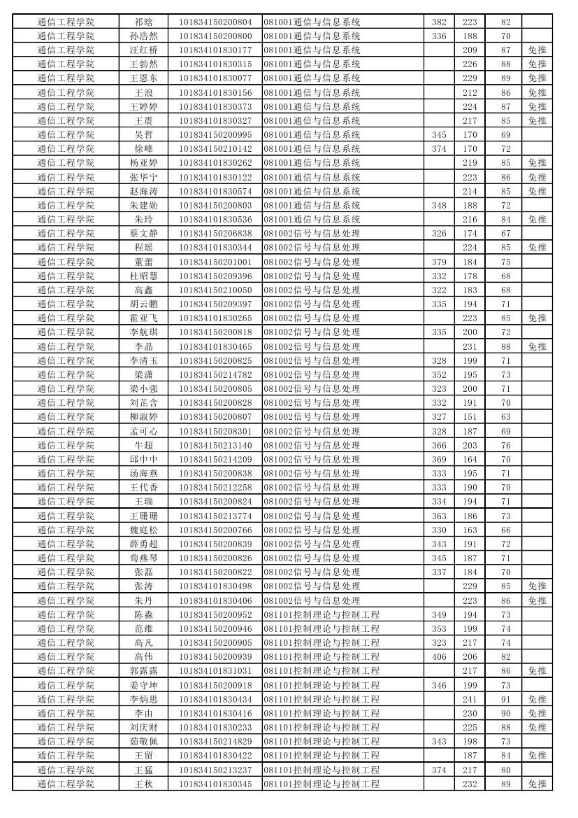
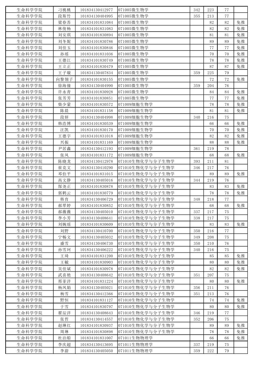
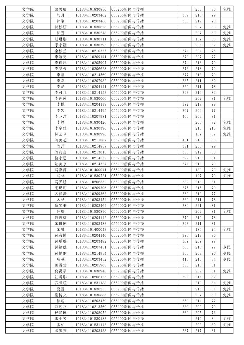
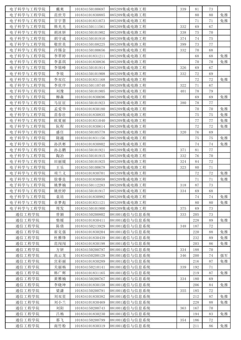
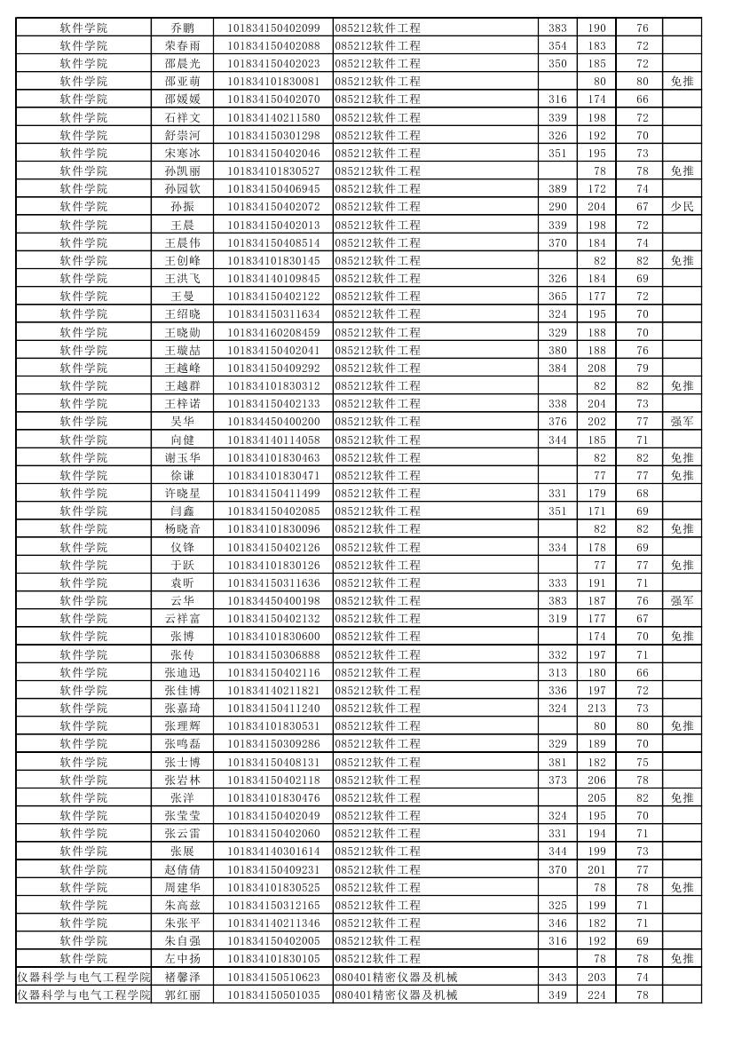
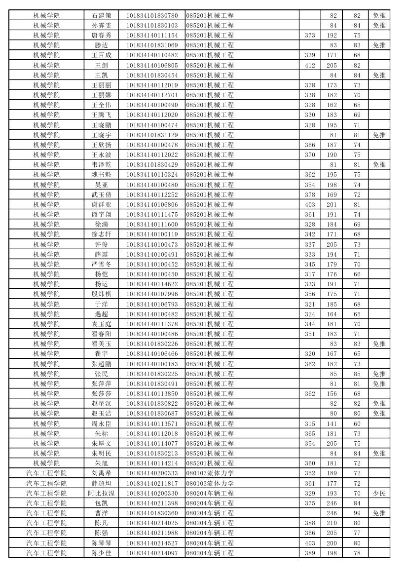
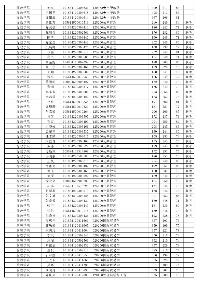
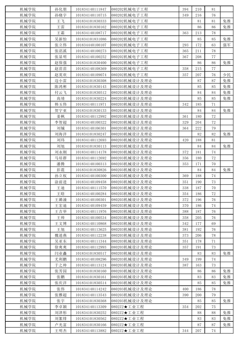
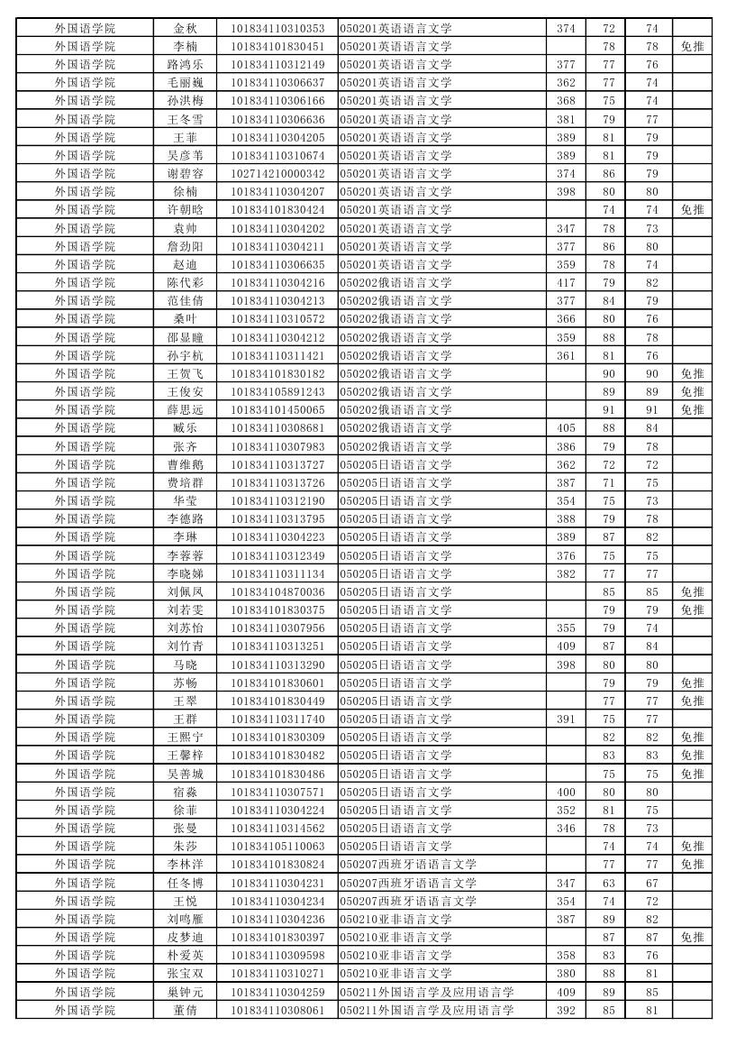
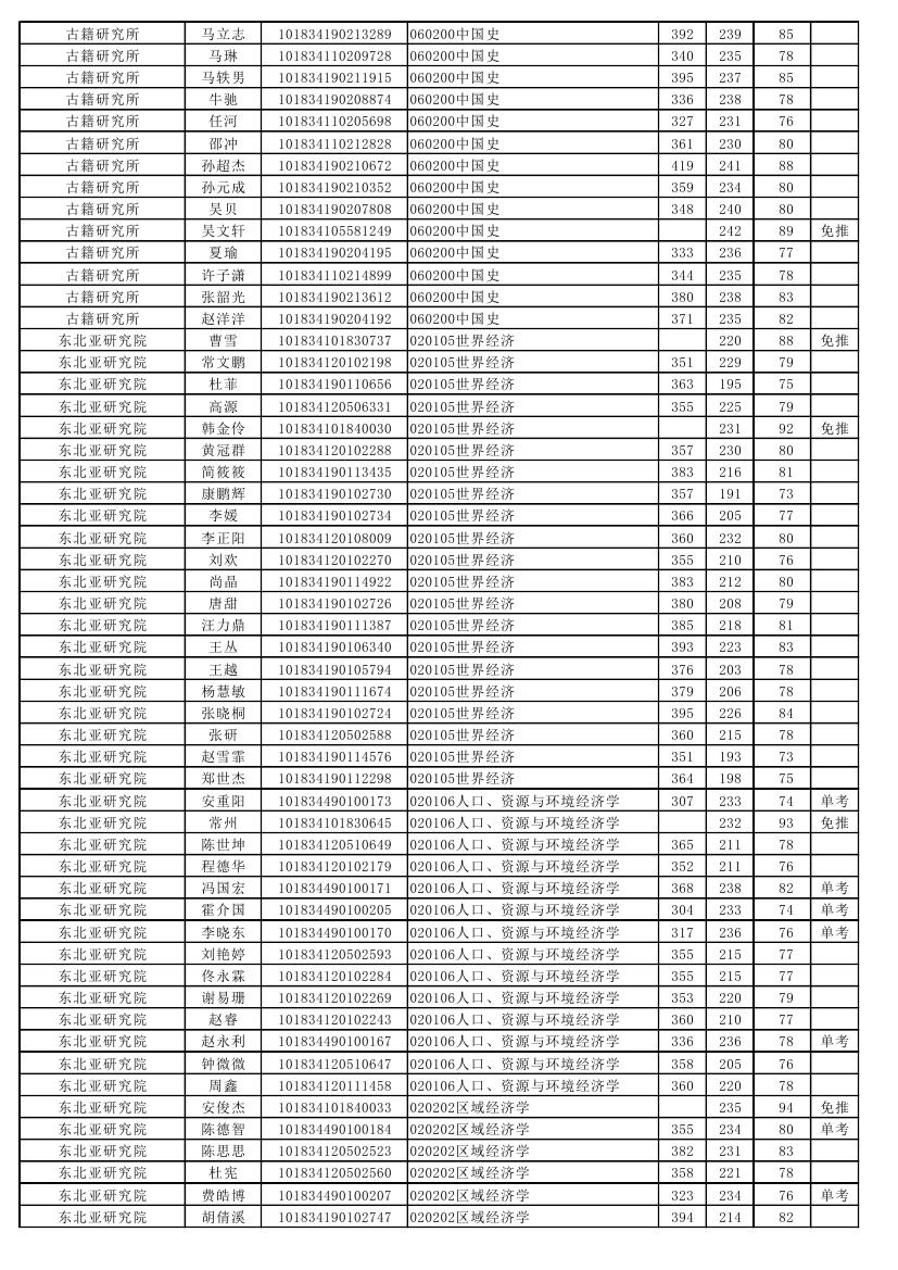
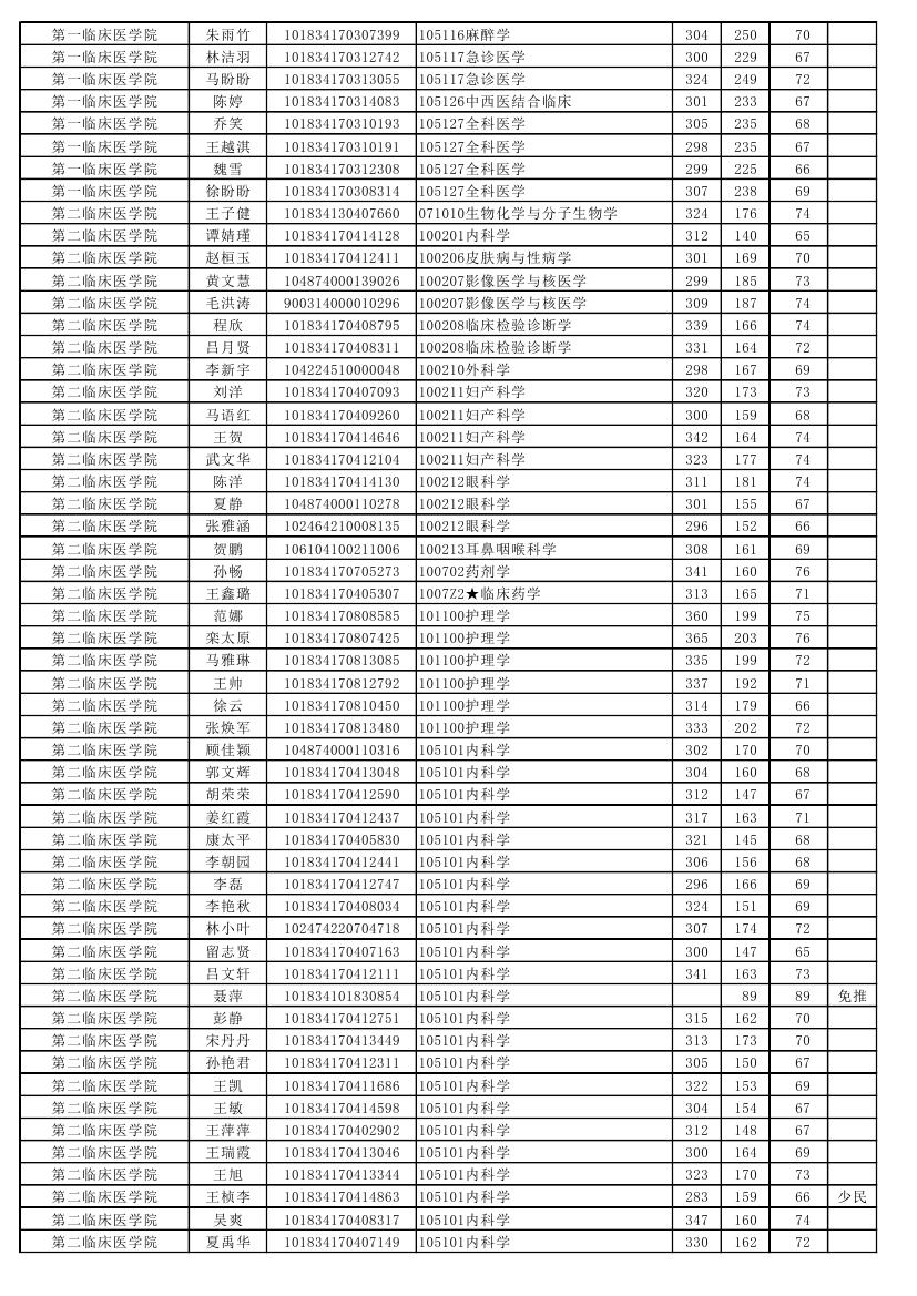
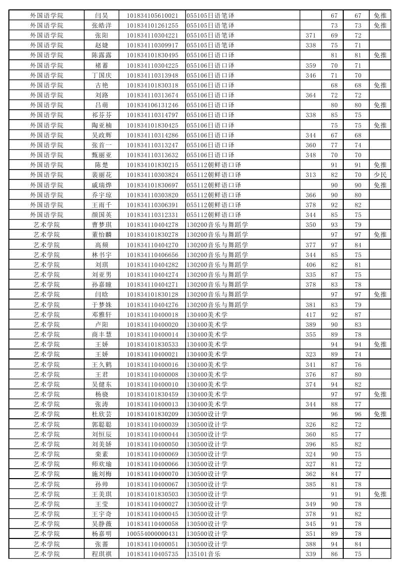
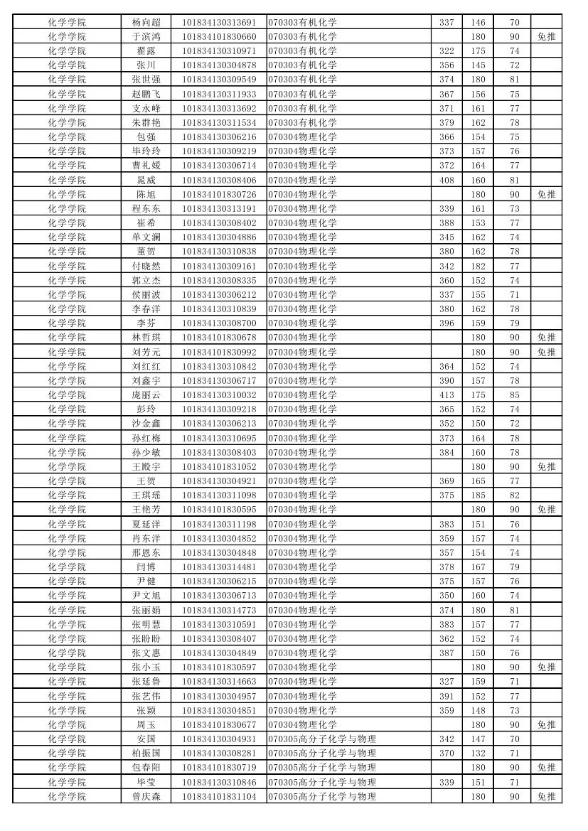
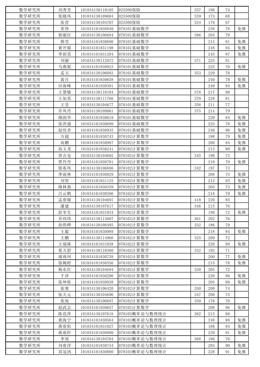
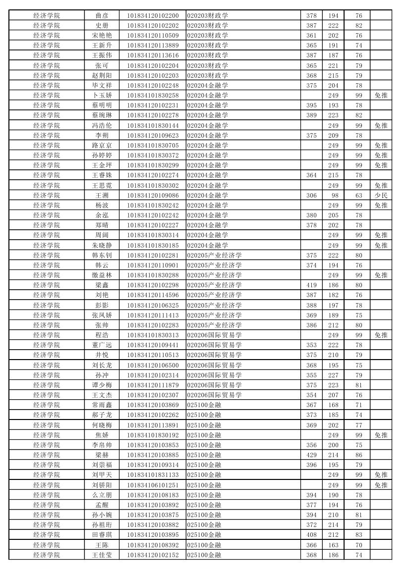
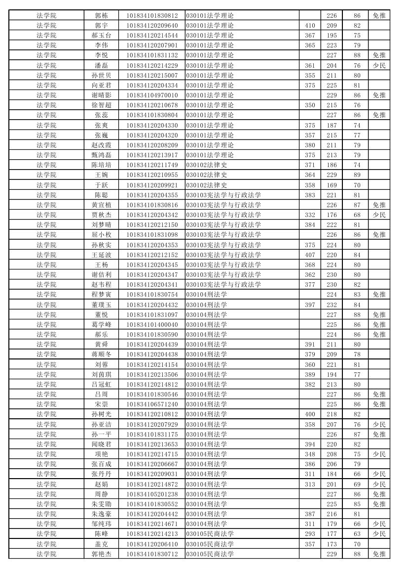
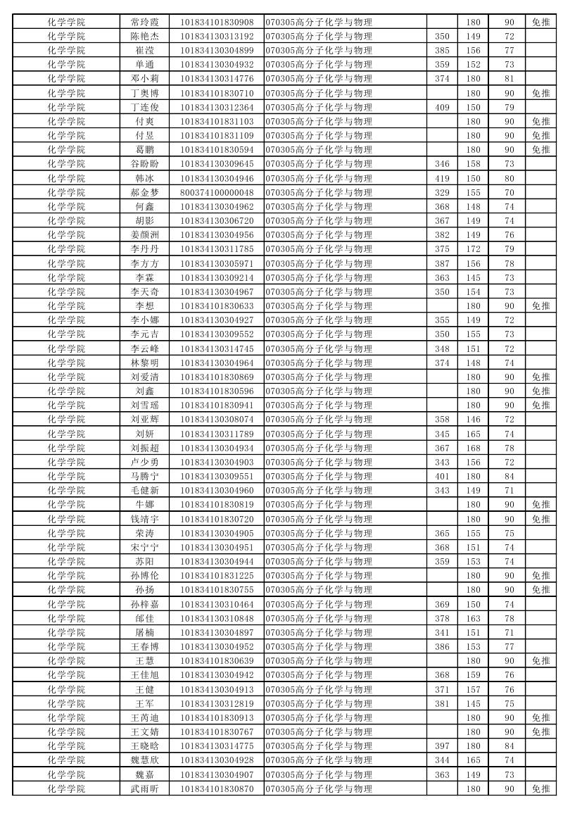
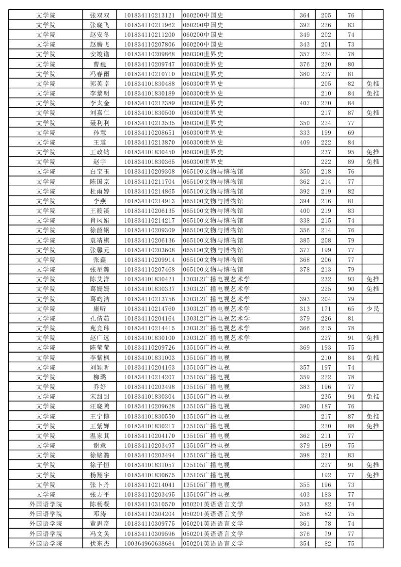
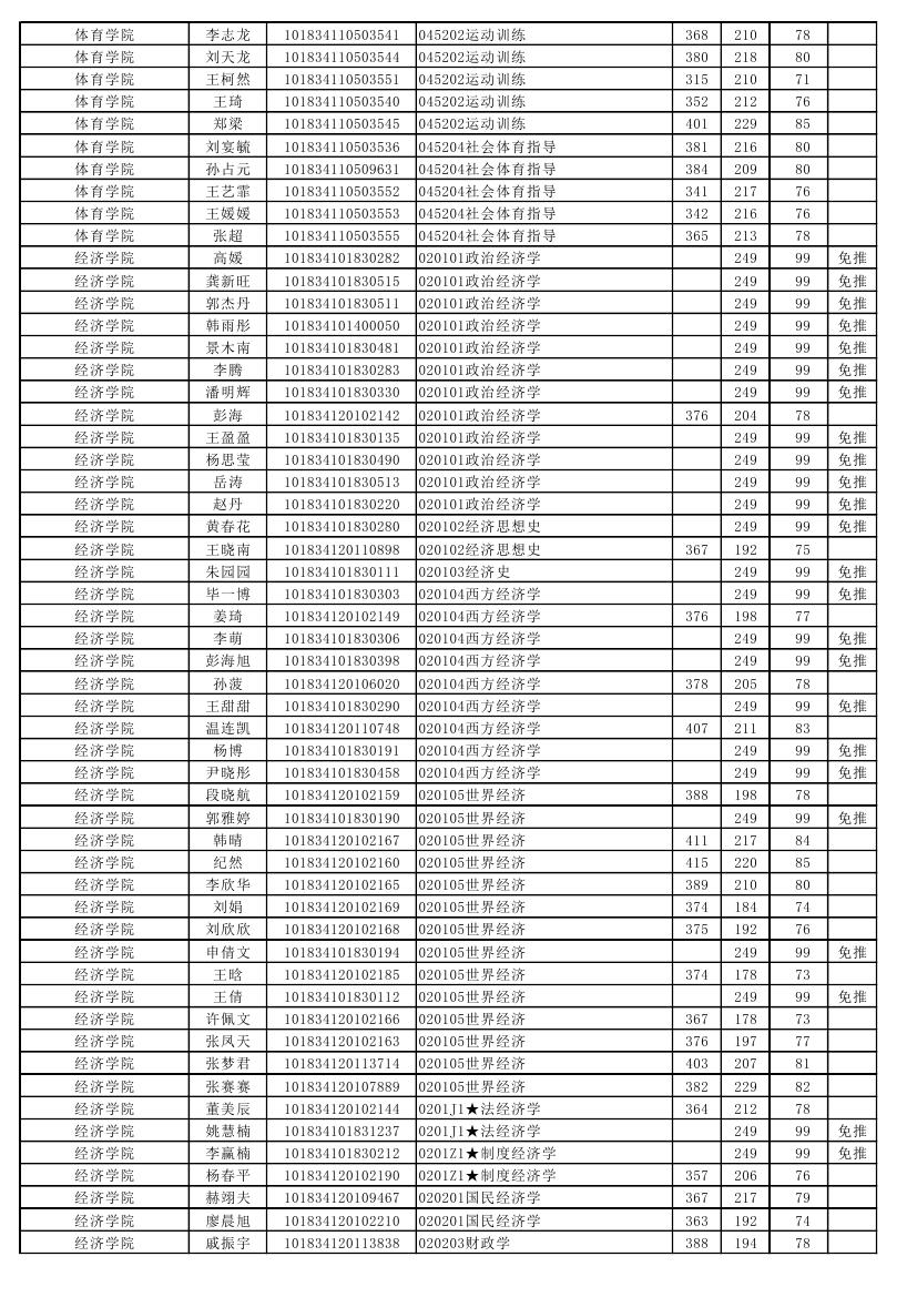
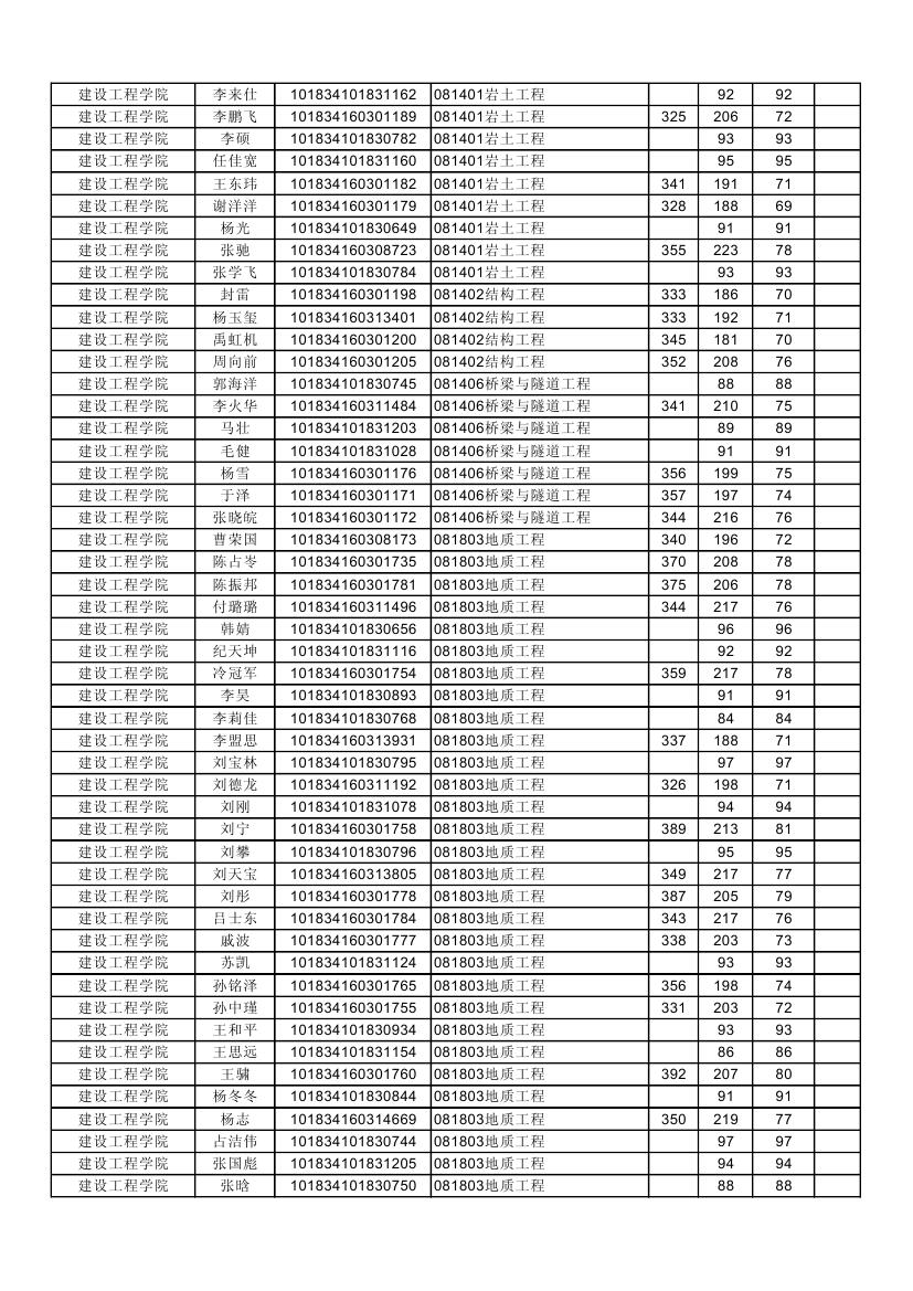
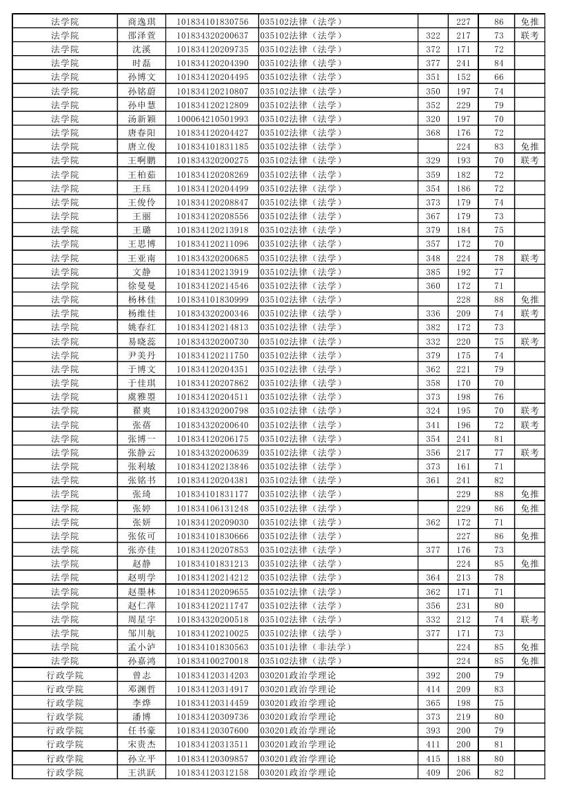
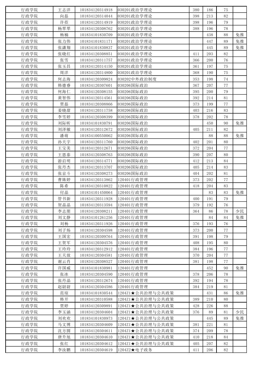
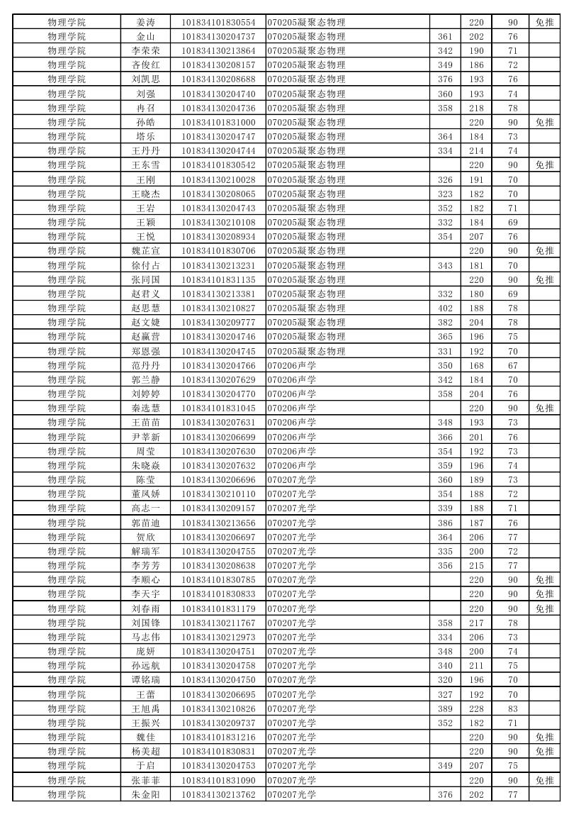
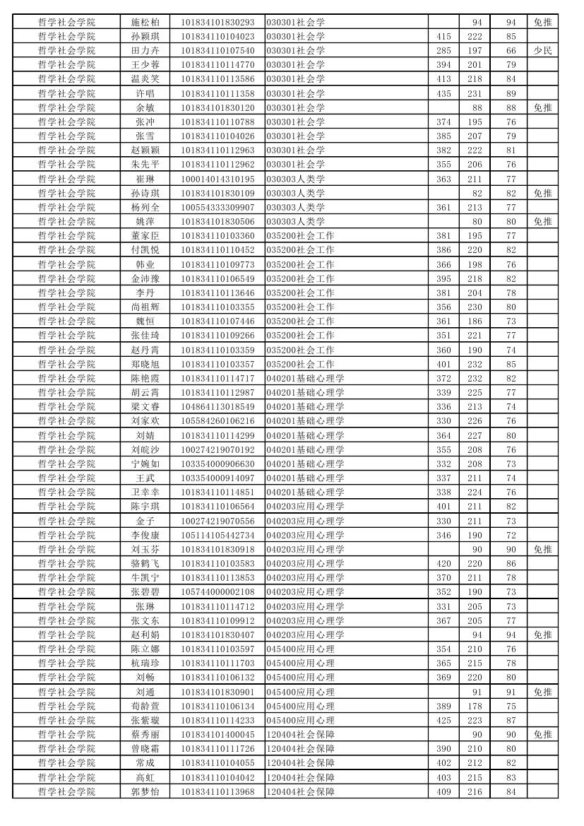
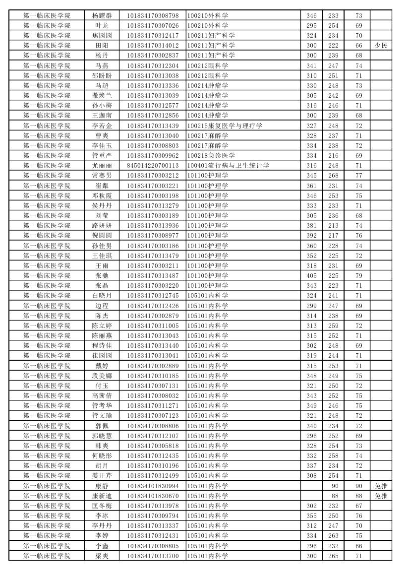
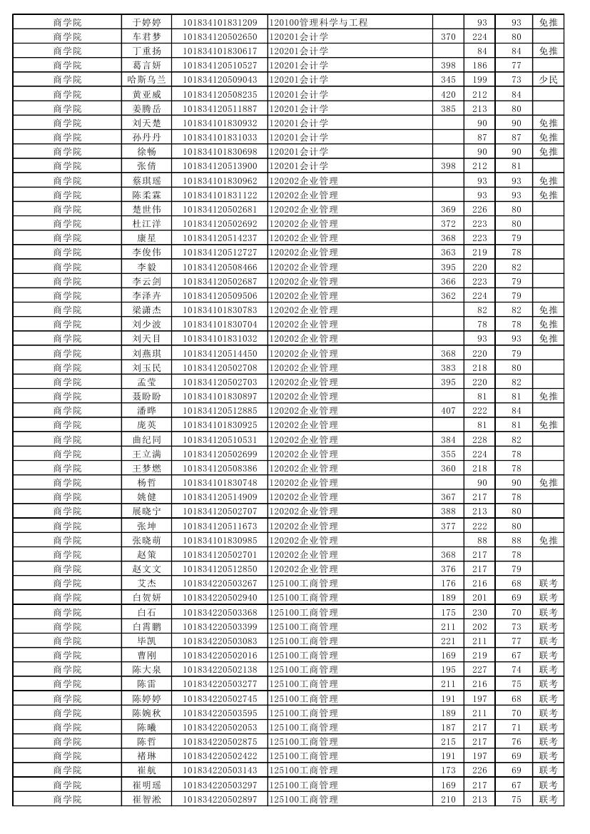
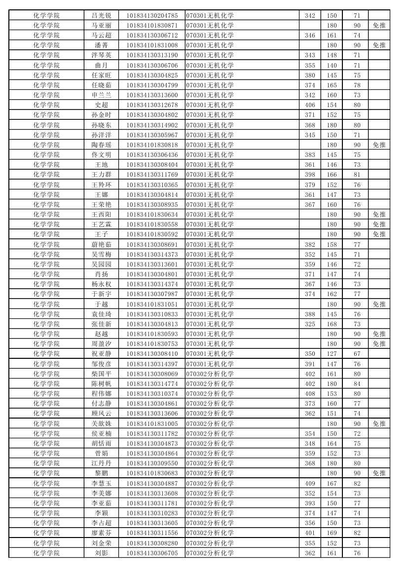
参加研究生复试的考生成绩

吉林大学2014年拟录取硕士研究生公示说明

发布日期:2014-04-24 浏览量:

         根据上级有关文件及《吉林大学关于做好2014年招收硕士研究生复试、录取工作的意见》要求,经初试、复试和院(所)公示,现学校予以集中公示。

         若有异议,请在4月28日前,实名向学校招生办公室反映情况。电话:0431-85166371。

                                                                                                                                   吉林大学招生办公室

                                                                                                                                       2014年4月24日

 

 

 

 

 

 

 

 

 

 

 

 

 

 

 

 

 

 

 

 

 

 

 

 

 

 

 

 

 

 

 

 

 

 

 

 

 

 

 

 

 

 

 

 

 

 

 

 

 

 

 

 

 

 

 

 

 

 

 

 

 

 

 

  

 

 

 

 

 

 

 

 

 

 

 

 

 

 

 

 

  

 

 

 

 

 

 

 

 

 

 

 

 

 

 

 

 

 


  • 微信公众号
  • 教育培训中心